banner
leaf

leaf

It is better to manage the army than to manage the people. And the enemy.
follow
substack
tg_channel

诺贝尔奖5

萨缪尔森传 —— 现代经济学奠基者的一生・#

保罗・萨缪尔森(Paul A. Samuelson)(1915-2009),美国首位诺贝尔经济学奖获得者,凯恩斯主义的集大成者,将凯恩斯的经济理论与新古典主义经济学融合后创立了新古典综合学派,首次把数学方法系统地引入经济学,开创了数理经济新时代。他研究的内容十分广泛,涉及经济学的各个领域,是全世界范围内罕见的全能学者。他的经典著作《经济学》被称为 “经济学圣经”,至今仍是全世界众多经济学院校的必选教材。

image

  • 1915 年 5 月 15 日出生于美国印第安纳州的加里城。

  • 1935 年和 1936 年分别获得芝加哥大学文学学士学位和文学硕士学位。

  • 1941 年分别获哈佛大学文学硕士学位和哲学博士学位。博士论文获得哈佛大学大卫・威尔兹经济学奖(David A. Wells prize)。在哈佛就读期间,师从熊彼特、华西里・列昂惕夫、阿尔文・汉森演技经济学。

  • 1940 年萨缪尔森加入麻省理工学院担任助理教授,1944 升任副教授。

  • 1945 年到美国战时生产局和战时动员重建办公室任职,并担任美国财政部经济顾问。

  • 1947 年发表《经济分析基础》,为经济学理论提供了数理分析的方向、框架和工具,推动经济学研究从规范经济学转为实证经济学,并在 23 年后为他带来了诺贝尔经济学奖。

  • 1948 年发表代表著作《经济学》,被称为 “经济学圣经”。

  • 1958 年与索罗和多夫曼合著《线性规划与经济分析》为新诞生的计量经济学做出了卓越贡献。

  • 1959-1960 年被任命为美国总统事务委员会调查咨询小组的顾问,并于 1960 年担任总统调查咨询顾问和美国国家计划局经济顾问。

  • 1965 年被任命为美国联邦储备银行经济咨询委员会顾问,并出任美国国际经济学会会长。

  • 1970 年获得第二届诺贝尔经济学奖,成为美国首位诺贝尔经济学奖获得者。

关于读书,个人觉得先读传记和案例再读理论书为好,否则就容易教条,也吃不透理论,先有故事底子,再学理论的过程就容易串联引申,比较容易产生效果。所以我一向是建议别人先学史再学哲的。

—— 冯柳

西方经济学派源流简表

image

image

① 本图表有助于我们快速认识 17 世纪至 20 世纪西方经济学流派的发展脉络。

② 经济学家的流派划定,依据其理论观点、所采纳的分析方法以及所推行的政策主张这 3 个方面进行综合评考。

③ 本图表介绍了各个经济学流派的地位与特点,同时也提供了每一位经济学家的国籍、代表作、所作贡献、获奖情况等相关信息。

④ 本图表中的红框代表该经济学家是经济学历史上影响深远的代表人物。

⑤ 本图表中的 “诺” 字标识代表该经济学家曾获诺贝尔经济学奖。

如果你是经济学专业出身或系统地学习过经济学,那么你肯定对这个名字不陌生。

如果你目前从事或未来想要从事经济领域的工作,但却对他不太熟悉或者根本不认识,那么今天这篇文章可能会帮你大忙,因为在经济学领域,谁人不认识萨缪尔森呢?如果和同行谈论起来,连萨缪尔森都不知晓,那可能会让人感觉你的专业水平还没有达到入门的阶段。

如果你从事经济学工作,又酷爱钻研经济学问题,那下面的内容会很大程度地帮助你更加热爱自己的工作,了解现代经济学的进化与轮回,和一个天才少年一路飙升为经济学泰斗的神级成长之路。

萨缪尔森可以算是经济学领域一位标志性人物。他在经济学领域中的贡献与影响几乎无处不在,甚至被人们称为经济学界的最后一个 “通才”。

20 世纪 50 年代之前,经济学的大本营在英国剑桥,20 世纪下半叶则转移到了美国,而这个历史性大转移完成的标志就是萨缪尔森的涌现。

保罗・萨缪尔森(Paul A. Samuelson,1915 年 5 月 15 日 —2009 年 12 月 13 日),美国著名经济学家,1970 年 诺贝尔经济学奖得主,美国麻省理工学院经济学教授。萨缪尔森是凯恩斯主义在美国的主要代表人物,也融合了新古典主义经济学,创立了新古典综合学派(Neoclassical Synthesis)。1970 年,55 岁的萨缪尔森成为第一个获得诺贝尔经济学奖的美国人。

人物成就#

萨缪尔森被称为 “最后一个百科全书似的经济学家”,他几乎 “染指” 了经济学的每一块领域。瑞典皇家科学院在 1970 年为他颁发诺贝尔奖的公告中,也称赞他的著作 “几乎涉及了当代西方经济学的所有领域”。美联社在总结其一生主要成就时说:“他将数学分析方法引入经济学,帮助经济困境中上台的肯尼迪政府制定了著名的肯尼迪减税方案,并且写出了一部被数百万大学生奉为经典的教科书。”

将数学引入了经济学#

萨缪尔森在 1985 年 2 月的一次演讲中说:“1932 年我开始在芝加哥大学攻读经济学时,经济学还只是文字的经济学。” 当时,数学还没有加入到经济学科当中来。后来,他在哈佛期间逐渐形成了以数理方法分析经济学的思维模式,将数学作为工具去分析研究经济学问题,这在当时的哈佛无人能出其右。他运用这种研究方法完成的博士学位论文《经济理论的运营意义》,荣获当年哈佛大学威尔斯奖。

  • 1947 年,在离开哈佛 7 年后,萨缪尔森又以这篇获奖的博士论文为基础,通过更加透彻的研究,完成并出版《经济分析的基础》一书,在书中,他以数理演绎和系统分析的范式一改传统的马歇尔经济学语言。这也让他获得了美国经济学会专门为 40 岁以下的年轻经济学者所设立的美国克拉克奖章,而萨缪尔森成为这项奖励的第一届获得者。
    肯尼迪减税方案

  • 1961 年 1 月,肯尼迪就任总统时所发表的第一个国情咨文中就悲观地宣布:“目前的经济状况是令人不安的。我们是在经历 7 个月的衰退、3 年半的萧条、7 年的经济增长速度降低、9 年的农业收入下降之后就任的。” 早在 1960 年,萨缪尔森就在马萨诸塞州的一片海滩上给肯尼迪上了一堂 40 分钟的经济学课程,他告诉他的学生,“暂时减少个人所得税税率可以成为应对衰退的强大武器”。肯尼迪采纳了萨缪尔森的建议,实行了著名的 “肯尼迪减税政策”,减税增加了消费支出,扩大了总需求,并增加了经济的生产与就业。实际上当肯尼迪提出的减税政策在 1964 年实施时,它促成了一个经济增长的时期。萨缪尔森也成为白宫中不可缺少的高参。

经典教材《经济学》

  • 20 世纪 40 年代末的一天,雾气重重,美国麦格芬・希尔教育出版公司的一位销售代表拜访麻省理工学院,正当他一无所获灰心丧气之际,一个年轻的助教对他说:“我刚刚写完一本经济学教科书,不知贵公司是否有意出版”。这位销售代表带着侥幸心理,将拿回的书稿交给编辑部门审阅,于是一本影响几代人的经典教科书《经济学》由此在 “无心插柳” 中横空出世,这位年轻的麻省理工助教就是萨缪尔森。

  • 《经济学》是一部综合了自威廉・配第

  • (1623-1687)以来所有经济学的系统理论著作,萨缪尔森将凯恩斯理论与新古典经济学的微观经济学、微观静态分析与宏观动态分析结合起来,把经济学的争论化解于统一的体系内,从而形成了新古典综合学说。这本教材自问世以来,就以宏观的视野奠定了其在经济学史上第三代教科书的地位,成了现代经济学和传统经济学的分水岭。此书堪称现代各种经济学教科书的鼻祖,目前的各种经济学教科书所使用的分析框架及分析方法多采用《经济学》中结合宏观经济学和传统微观经济学而成的 “新古典综合学派” 理论框架。它的持久影响力令人震惊,深刻影响了数代人。在萨缪尔森去世的时候,这本书已出版了 19 版,在全球被翻译成 40 多种语言,销量超过了 400 万册,很多经济学者从该书中获得了良好的经济学思维,可以毫不夸张地说,所有经济学人士都是萨缪尔森的学生。

天才教授曲折的一生#

  • 萨缪尔森于 1915 年出生于美国印第安纳州的加里城的一个犹太人家庭。犹太血统,也许往往是睿智的象征,但在当时的大环境里,也往往意味着曲折。

  • 哈佛大学当年的学术传统应该说还是比较保守的,萨缪尔森的犹太血统(也许还有其他因素)最终还是不能为该校传统权威们所包容。

*1940 年博士毕业后,萨缪尔森不得不去了一家与哈佛遥相呼应的学府 —— 麻省理工学院。哈佛大学当年没有挽留萨缪尔森,也许令他终身难以释怀,为此他更为踌躇满志、锐意进取,很快将麻省理工学院的经济系搞得火遍全国、誉满全球,大有超越哈佛之势。

萨缪尔森的《经济学》教科书一直长盛不衰。在这本领潮流的畅销书的背后,究竟又发生过什么呢?

Important

在美国国会参议员约瑟夫・麦卡锡当朝弄权的年代,教堂和教室里谴责激进主义的声浪甚嚣尘上,萨缪尔森的教科书也在遭受非难之列。麻省理工学院一名保守派校友警告校长康普顿说,如果还允许萨缪尔森出书为 “混合经济学” 辩护的话,那么他作为校长的荣誉将会受到玷污。在当时萨缪尔森作为一个公立大学的教师,在许多流行的教科书都被扣上了 “颠覆势力” 的帽子的岁月里,上述故事可绝对不只是开个玩笑而已。一本比萨缪尔森早一年出版的很出色的教科书,影响还未传开,就因被指控为 “马克思主义” 而遭到封杀。上世纪 60 年代美国校园中 “行动主义” 沸沸扬扬、甚嚣尘上,萨缪尔森也曾被勾画成一个自由放任大鱼吃小鱼的市场制度的卫道士、十足的资本主义走狗。尽管如此,由于一直能全面而精心地处理主流经济学中的不同派别,萨缪尔森的《经济学》得以保持了它在经济学参考书目中的代表地位。

0.1 萨缪尔森的早年生活#

  • 出生与教育:保罗・萨缪尔森于 1915 年出生在印第安纳州的盖瑞市,后在芝加哥长大。他在芝加哥大学接受了本科教育,并于 1935 年获得学位,随后进入哈佛大学攻读经济学博士学位。

  • 经济学的启蒙:萨缪尔森在芝加哥大学的学习经历对他产生了深远影响,他在此期间意识到数学在经济理论中的重要性,这一认识促使他在后来的研究中广泛应用数学工具。

0.2 学术生涯#

  • 麻省理工学院:萨缪尔森在麻省理工学院(MIT)任教,并成为该校经济学系的核心人物。他的教学和研究影响了几代经济学家,使他在经济学界树立了权威地位。

  • 《经济学》教科书:1948 年,萨缪尔森出版了《经济学:入门分析》,这本书迅速成为全球最畅销的经济学教材之一,累计发行超过 400 万本,并被翻译成 40 多种语言。该书的成功不仅在于其内容的深度和广度,还在于其易于理解的写作风格。

0.3 理论贡献#

  • 凯恩斯主义与新古典综合:萨缪尔森是凯恩斯主义的主要传播者之一,他提出的新古典综合理论将凯恩斯主义与新古典经济学结合,推动了经济学理论的发展。

  • 数学经济学的奠基:他在经济学中引入数学分析,提升了经济学的科学性和严谨性,使其成为一门更为精确的学科。

0.4 个人生活与影响#

  • 家庭与个人:萨缪尔森的个人生活相对低调,他与妻子共同生活,直到她去世。他的生活几乎完全围绕着经济学,参与政府咨询、撰写经济评论等活动。

  • 遗产与影响:萨缪尔森被誉为现代经济学的奠基者之一,他的理论和教材对全球经济学教育产生了深远影响,许多经济学家都视他为自己的导师。

image

保罗・萨缪尔

森瑞典中央银行纪念阿尔弗雷德・诺贝尔经济学奖 1970

出生日期:1915 年 5 月 15 日,美国印第安纳州加里

逝世日期:2009 年 12 月 13 日,美国马萨诸塞州贝尔蒙特

获奖时的所属机构:美国马萨诸塞州剑桥市麻省理工学院 (MIT)

获奖理由:“表彰他在科学工作中发展了静态和动态经济理论,并为提高经济科学分析水平做出了积极贡献”

奖金份额:1/1

生活
保罗・萨缪尔森出生于印第安纳州一个从波兰移民过来的犹太家庭。1923 年,他搬到了芝加哥,16 岁时开始在大学学习经济学。他的才华很快得到认可,1941 年他在哈佛大学提交了博士论文。大萧条时期的成长经历影响了他的经济和政治观点。他曾担任约翰・肯尼迪和林登・约翰逊的顾问。他 1948 年的作品《经济学》是为了养活六个孩子而写的,如今已成为世界上最畅销的经济学教科书。

工作
拉格纳・弗里施和扬・丁伯根早期专注于统计和实证数据,而保罗・萨缪尔森则致力于经济学的理论方法和分析。他利用数学形式化经济学研究,他的工作影响了现代经济学的几乎所有分支。他认为自己是日益专业化的经济学家中的最后一位通才,也是新凯恩斯学派的先驱创新者之一,该学派将凯恩斯的思想与市场理论相结合。

1915 年 5 月 15 日 - 2009 年 12 月 13 日

个人简介#

诺贝尔奖得主、经济学、数学和运筹学交叉领域的开创性人物保罗・安东尼・萨缪尔森出生于印第安纳州加里。第一次世界大战后不久,他和家人搬到了芝加哥。十六岁时,萨缪尔森进入芝加哥大学学习,并对经济学产生了浓厚的兴趣。获得学士学位后,他进入哈佛大学学习,并获得了硕士和博士学位。他的博士论文《经济分析基础》由哈佛大学出版社出版,由约瑟夫・熊彼特指导。这本书为数理经济学领域奠定了基础。

研究生毕业后,萨缪尔森接受了麻省理工学院的职位,并加入了由经济学界最聪明的人才组成的教职团队,期间他曾短暂进入麻省理工学院的辐射实验室和塔夫茨大学的弗莱彻法律与外交学院。1947 年,他出版了有史以来最畅销的经济学教科书之一:《经济学:入门分析》。

萨缪尔森著作中一个普遍的主题是约束优化的数学在经济理论中的应用。因此在四十年代末和五十年代,他与麻省理工学院教授、1987 年诺贝尔奖获得者罗伯特・索洛一起对线性规划产生了兴趣。1949 年至 1958 年间,他发表了许多关于这个主题的文章,并触及了其在经济应用方面的潜力。正是在这一时期,萨缪尔森将勒夏特列均衡原理改编为经济学和线性规划的一般原理。萨缪尔森在考尔斯委员会会议上发表了他的一篇论文,该会议的论文集《生产和分配活动分析》(1951 年)是第一本涉及线性规划的一般出版物。

萨缪尔森与索洛和罗伯特・多夫曼共同出版了他对运筹学做出的最大贡献 《线性规划与经济分析》(1958 年)。这本书是首批将计量经济学与线性规划结合起来的书籍之一,将理论应用带到了专业行业。

20 世纪 60 年代,萨缪尔森担任约翰・肯尼迪和林登・贝恩斯・约翰逊总统政府的经济顾问。在此期间,他担任美国财政部、预算局和经济顾问委员会的顾问。他的一篇论文还被收录在阿尔弗雷德・N・佩奇的《效用理论:一本阅读书》中 。1970 年,萨缪尔森成为第一位获得诺贝尔经济学奖的美国人。他因 “通过科学工作发展了静态和动态经济理论,并为提高经济科学分析水平做出了积极贡献” 而受到称赞。

萨缪尔森被认为是新凯恩斯主义经济学的创始人之一,并在《新闻周刊》上撰写了一篇与货币主义观点代表米尔顿・弗里德曼对立的专栏文章。萨缪尔森获得了麻省理工学院教授的职位,这是麻省理工学院教员可以担任的最高和最光荣的职位之一。在他的职业生涯中,他教过无数学生,这些学生后来为经济学做出了有意义的贡献,并获得了诺贝尔奖。他在 2009 年因短暂患病而去世。

《经济分析基础》是萨缪尔森的巨作,它比任何其他一本书都更能传播经济学中的数学革命。这本书以萨缪尔森的哈佛博士论文为基础,展示了几乎所有的经济行为都可以理解为在约束条件下最大化或最小化。约翰・R・希克斯在 1939 年出版的《价值与资本》一书中也做了类似的事情。但希克斯将数学归入附录,而 “萨缪尔森”,萨缪尔森的前学生斯坦利・费希尔写道,“在正文中炫耀他的数学知识。” 萨缪尔森的数学技术为经济学带来了新的严谨性。正如诺贝尔奖得主罗伯特・卢卡斯所说,“他会把这些无法理解的、没完没了的口头辩论结束,然后以一种可以回答的方式提出问题,然后得到答案。”

萨缪尔森是经济学界最后一批在多个领域都卓有建树的通才之一。他在消费者理论和福利经济学、国际贸易、金融理论、资本理论、动态和一般均衡以及宏观经济学方面都做出了重要贡献。

瑞典经济学家贝蒂尔・奥林曾认为,国际贸易将使生产要素的价格趋于均等。例如,印度和美国之间的贸易将缩小两国之间的工资率差距。萨缪尔森利用数学工具,展示了在何种条件下,这种差距会趋于零。他所证明的定理被称为要素价格均等化定理。

在 50 岁时开始研究的金融理论方面,萨缪尔森做了一些初步工作,表明正确预期的期货价格应该随机波动。萨缪尔森在资本理论方面也做出了开创性的工作,但他的贡献过于复杂,无法用几句话来描述。

经济学家长期以来一直认为,有些商品私营部门无法提供,因为很难向受益者收取费用。国防就是这类商品的最好例子之一。萨缪尔森在 1954 年的一篇文章中首次尝试对公共物品进行严格的定义。

在宏观经济学中,萨缪尔森展示了如何将投资加速器理论与凯恩斯主义收入决定模型相结合来解释商业周期的周期性。他还引入了新古典综合理论的概念 —— 旧新古典主义微观经济学与新(20 世纪 50 年代)凯恩斯主义宏观经济学的综合。根据萨缪尔森的说法,实现充分就业需要政府通过财政和货币政策进行干预。在充分就业的情况下,市场运作良好,除了提供公共物品和处理外部性问题。詹姆斯・托宾称新古典综合理论是萨缪尔森对经济学最伟大的贡献之一。

在《线性规划和经济分析》中,萨缪尔森与合著者罗伯特・多夫曼和罗伯特・索洛将优化技术应用于价格理论和增长理论,从而整合了这些以前相互隔离的领域。

萨缪尔森是一位多产的作家,五十多年来,他平均每月发表一篇技术论文。他的 338 篇文章被收录在五卷本的《科学论文集》(1966-1986 年)中。自 1948 年以来,他几乎每三年就会修订一次他广受欢迎的教科书《经济学》,这本书已被翻译成多种语言。萨缪尔森曾说过:“如果我能编写教科书,就让那些制定国家法律的人来编写吧。”

  • 1970 年,保罗・萨缪尔森成为第一位获得诺贝尔经济学奖的美国人。该奖项旨在表彰他 “通过科学工作发展了静态和动态经济理论,并为提高经济科学分析水平做出了积极贡献”。

  • 1940 年,26 岁的萨缪尔森开始在麻省理工学院任教,六年后成为全职教授。截至本文撰写时(2006 年),他仍在那里任教。除了获得诺贝尔奖外,萨缪尔森还于 1947 年获得约翰・贝茨・克拉克奖 —— 该奖项旨在表彰 40 岁以下经济学家做出的最杰出贡献。1961 年,他担任美国经济协会会长。

萨缪尔森出生于印第安纳州加里市。16 岁时,他进入芝加哥大学学习,师从弗兰克・奈特、雅各布・维纳等大人物,并与当时还是研究生的新兴经济学家米尔顿・弗里德曼和乔治・斯蒂格勒一起学习。萨缪尔森后来在哈佛大学继续攻读研究生。

萨缪尔森和弗里德曼一样,在 1966 年至 1981 年期间在《新闻周刊》开设专栏。但与弗里德曼不同的是,他过去和现在都不热衷于自由市场,或者更确切地说,不热衷于政府干预市场。他的乐趣似乎来自于提师从弗兰克・奈特、雅各布・维纳等大人物,并与当时还是研究生的新兴经济学家米尔顿・弗里德曼和乔治・斯蒂格勒一起学习。萨缪尔森后来在哈佛大学继续攻读研究生。

萨缪尔森和弗里德曼一样,在 1966 年至 1981 年期间在《新闻周刊》开设专栏。但与弗里德曼不同的是,他过去和现在都不热衷于自由市场,或者更确切地说,不热衷于政府干预市场。他的乐趣似乎来自于提供新的证据、展示技术技巧和巧妙的措辞。

萨缪尔森本人曾说过:“有一次我问我的朋友统计学家哈罗德・弗里曼,‘哈罗德,如果魔鬼来找你,用你不朽的灵魂换取你一个绝妙的定理,你会答应吗?’‘不会,’他回答说,‘但我会为一个不等式而答应。’我喜欢这个答案。”

对《保罗・萨缪尔森小传》的笔记 (6) 1、家庭背景

  • (1)萨缪尔森将自己的家庭背景描述为中产阶级(P14)
  • [第 15 页 第一章 萨缪尔森的青年时代]#

    1、家庭背景
    (1)萨缪尔森将自己的家庭背景描述为中产阶级(P14)

    通常当你是一个优秀学者时,你往往会有比较深厚的家庭背景。我不知道我的祖上有什么丰功伟绩,我母亲总是对自己家世抱有太多幻想,但是据我所知,事实并非如此,可能只有他祖父的经历不寻常。内战前她祖父随着淘金潮来到这个国家,赚了一些钱使得全家处在社会的较高阶层,后来因对形势的错误估计,他回到了欧洲的波兰,波兰是德国的邻居。
    引自 第一章 萨缪尔森的青年时代

    (2)父母的价值观(P15)

    萨缪尔森的父母都是自由主义者。萨缪尔森回忆说:“我过去经常阅读家里书架上的书,那些书估计是父亲在大学时在芝加哥旧书店买的,例如克拉伦斯・达罗(Clarence Darrow)关于和平和宗教的书,等等。” 看到父亲对达罗这样的左倾人物比较感兴趣,萨缪尔森总结道:“在新政出现前我会合理地倾向于支持新政策。”
    引自 第一章 萨缪尔森的青年时代

    (3)P16

    我父亲曾就读于医学院,他最后的愿望是三个儿子中至少有一个能成为药剂师。
    引自 第一章 萨缪尔森的青年时代

    (4)祖辈生命有限,萨缪尔森活了 94 岁(P25)

    萨缪尔森写道:“我是个性急的年轻人,祖辈有限的生命给了我警示。” 萨缪尔森 23 岁时父亲去世,这一不幸加剧了他的紧迫感。
    引自 第一章 萨缪尔森的青年时代

    (5)生育情况(与 Marion Crawford)(P26)

    Alan Brown 曾告诉我们关于萨缪尔森的轶闻,当萨缪尔森被问及有多少孩子时,据说,他的反应是:“第一次我们得到一个,第二次两个,第三次三个,然后我们就害怕了。
    引自 第一章 萨缪尔森的青年时代

    2、本科阶段
    (1)经济学启蒙老师(P16)

    作为一名大一新生,萨缪尔森学习了亚伦・蒂瑞克特(Aaron Director)教授的经济学入门课程。
    引自 第一章 萨缪尔森的青年时代

    (2)Jacob Viner 的 “三垒出局” 原则(P18):

    如果你不能正确回答雅各布・瓦伊纳提出的三个问题,你将被开除出这个教室。
    引自 第一章 萨缪尔森的青年时代

    (3)萨缪尔森的优秀表现(P18)

    年仅 19 岁的萨缪尔森,虽然他并不真正属于这个课堂,但是却取得很第一名的成绩。他当时只是名本科生,雅各布・瓦伊纳又出了名的严厉,想来萨缪尔森在课堂上应该是默默无闻的。但是恰恰相反,据传萨缪尔森性情急躁,他由于修正了雅各布・瓦伊纳在黑板上的错误而声名鹊起。作为年轻人,萨缪尔森的行为随着时间的流逝而逐渐演变成神话:他成为正确回答瓦伊纳教授问题最多的人。“傻瓜跑入了天使们都不敢进入的地狱,” 萨缪尔森自嘲地说,“因此在课堂上只有唯一的本科生能指出教授偶尔出现的小偏差。”
    引自 第一章 萨缪尔森的青年时代

    (4)导师的赞扬(P19)

    难怪萨缪尔森的导师之一 —— 保罗・道格拉斯感到他非常有必要劝慰一下其他学经济的学生,“你们没有必要觉得不如萨缪尔森优秀就不能接触经济学”。
    引自 第一章 萨缪尔森的青年时代
    image

    (5)本科同学中的诺奖(P20):斯蒂格勒、弗里德曼、Herbert Simon(这段时间在芝大学习)

image

资料来源:萨缪尔森专访:http://129.3.20.41/eps/mhet/papers/0405/0405006.pdf
P528-529,提到他的经济学启蒙老师

资料来源:The Hesitant Hand: Taming Self-Interest in the History of Economic Ideas



3、硕士阶段
(1)里昂惕夫的影响(P22)

里昂惕夫教了一个学期的数理经济学——这是一门很有价值的理论课程。萨缪尔森这样评价这门课:“正是这门课程将我引上毕生所从事的事业。”
引自 第一章 萨缪尔森的青年时代


(2)Alvin Hansen的影响(P23)

萨缪尔森称为是“美国的凯恩斯”。
引自 第一章 萨缪尔森的青年时代


(3)Edwin Bidwell Wilson(P23)

对于威尔逊,萨缪尔森写道:“我也许是他唯一的追随者。”威尔逊对“用人云亦云的方法来研究精密科学的社会科学家”非常蔑视。
引自 第一章 萨缪尔森的青年时代


4、博士阶段
(1)博士毕业五年的原因(P24-25)

1936年,萨缪尔森获得硕士学位,26岁即1941年获得博士学位。由于他在1937年加入哈佛大学的“学者协会”,萨缪尔森获得硕士和博士学位之间隔了五年的时间。按照萨缪尔森对自己的高标准、严要求,这是不寻常的。学者协会作为哈佛博士项目的补充,给学生提供了探索任何让他们感兴趣的研究课题的机会,期限为三年,条件是这期间禁止写博士论文。创建者之一是担任哈佛校长至1933年的Abbott Lawrence Lowell,他认为博士学位“在一系列限制条件下,压抑了创造力”。另一位创建者,Lawrence J. Henderson解释了成立该协会的目的是“提供一条更利于培养稀缺的、独立的天才的可选择途径”。具有讽刺意味的是,萨缪尔森却说他的博士论文只是“大学新生的水平”。萨缪尔森参加这个社团获益菲浅,称其为“真正的天堂”。正是在这段时期,他出版了几篇重要的学术论文。
引自 第一章 萨缪尔森的青年时代


(2)博士论文写作的选择(P25-26):

与萨缪尔森同协会的数位同学都遵循了协会成立的目的,没有写博士学位论文。这些人后来成为各自学术领域中重要的领导者,其中包括创立了数学格论的George Birhoff。萨缪尔森写道:“这些同学在哈佛的事业并未因为没有博士学位而受到影响。”但是萨缪尔森已故的妻子马琳·克劳福德·萨缪尔森鼓励他完成博士论文,萨缪尔森用很短的时间完成了博士论文的撰写。
引自 第一章 萨缪尔森的青年时代


(3)博士论文的意义
a 熊彼特的幽默(P26)

当萨缪尔森完成博士论文答辩的时候,委员会的一位成员熊彼特转向另一位成员里昂惕夫说:“我们通过了吗?”(论文答辩时,萨缪尔森精彩的答辩和挑战,使得答辩委员会成员紧张到恍惚以为自己才是答辩人)。
引自 第一章 萨缪尔森的青年时代

插曲(P28)

熊彼特曾追求萨缪尔森的妻子马林·克劳福德。尽管熊彼特声称自己不仅是最出色的经济学家,还是最好的骑手和爱人,但无论从哪个方面来看,萨缪尔森显然更胜一筹。
引自 第一章 萨缪尔森的青年时代

b David A. Wells Prize(P26),博士论文The operatonal significance of economic theory,是1947年纪念凯恩斯逝世一周年发表的Foundations of Economic Analysis的雏形,该书对经济学家思考经济学领域的方式有革命性意义。
c Tomas Schelling的经历,证明了该博士论文的权威性(P27-28)

1946年我参加了熊彼特在哈佛开设的“高级理论”课程。当学期过了一半的时候,熊彼特问谢林是否在班里。我举手表示我在听课,接下来熊彼特提出了一个让我尴尬的要求,他希望我能指出他在授课过程中曾经出现的错误。班里的每个人都困惑地看着我,包括我自己。下课后,我去办公室询问熊彼特教授到底是怎么回事。他说我在几周前的一次考试中表现得非常专业,超越了其他人的水准,他希望我可以帮助他纠正教学中的错误。我不知道他是否是认真的。他问我为什么懂得如此多的关于动态均衡的条件。我说是因为曾经读过萨缪尔森的博士论文。他说:“噢,原来如此。”
引自 第一章 萨缪尔森的青年时代

评论:卢卡斯曾经通过读萨缪尔森的博士论文,成功的解决了从历史学转到经济学专业后的思考方式和研究工具。
d 萨缪尔森后来的评论(萨氏在学者协会时,称自己的博士论文只有“大学新生水平”)P27

为他赢得诺贝尔经济学奖的是在基础理论中所做的研究——这对一份博士论文来说是了不起的成就!
引自 第一章 萨缪尔森的青年时代

2012-05-06 16:06:54 1 人推荐 4 人喜欢 [回应](https://book.douban.com/annotation/18161001/#add_comment)
  • [第 31 页 第一章 萨缪尔森的青年时代]#

    1、斯蒂格利茨对萨缪尔森的评论(P31-32)

    我经常把保罗看做一个活模型,他学识之广博、涉猎之广泛以及他的创造力和聪明才智都是世所罕见的。他的写作能力是如此的强大,他的论文写得如此行云流水。
    引自 第一章 萨缪尔森的青年时代

    评论:话说萨缪尔森最厉害的时候能一天写三篇论文(赖建诚,经济思想史的趣味)

    2、萨缪尔森对麻省理工的意义(P37)

    带来了新鲜的空气,因为萨缪尔森的学术理念是 “不要停留在别人已经做了什么,而要努力把所研究领域的疆界向前推进”。
    引自 第一章 萨缪尔森的青年时代

    3、学术环境对学术产出的意义(P37)

    没有几个伟大的经济学家能够在远离经济思想中心的地方独立做出成就。那些自认为具有很强独立创造性的人往往最终也将止步于自以为是。
    引自 第一章 萨缪尔森的青年时代

    4、优秀的研究助手(P38)

    他的三个研究生助手 Lawrence Klein、Robert Merton、Joseph Stiglitz 和他的学生 George Akerloff 陆续获得了诺贝尔经济学奖,这足以说明萨缪尔森的影响力。
    引自 第一章 萨缪尔森的青年时代

    评论:学术研究有家学之说,这里的 Robert C. Merton 好象是社会学理论大家 Robert K. Merton 的儿子;波兰尼兄弟不但有名,其孩子还获得了诺奖;peter temin 的兄弟 Howard Temin 获得医学奖(http://en.wikipedia.org/wiki/Peter_Temin);阿罗的学生也有很多获诺奖(http://www.douban.com/note/145766171/);奈特的学生有五名获诺奖;/@江天一览景: 我平生对话过的最聪明的人,没有之一,第二是塔洛克。而且他是一位杰出的教育家,带出了一堆炸药奖和图灵奖,等等,多了

  • 第 47 页 第二章 萨缪尔森的哲学理想#

    1、萨缪尔森如何产生对经济学的兴趣(P47)

    是什么让萨缪尔森对经济学产生了兴趣,而不是对科学、数学或者是体育?是什么远大的目标让他一直保持对经济学的兴趣?萨缪尔森对经济学的狂热最初是为了满足自身的好奇心。但他确实非常擅长经济分析。他说:“我能成为经济学家纯属偶然,主要是因为经济分析是如此得简单和有趣。
    引自 第二章 萨缪尔森的哲学理想

    评论:Luck? Yes. And all my life I have been at the right place at the right time.Always, I have been overpaid to do what has been pure fun. (PA Samuelson How I Became an Economist:http://t.cn/zOQVtxs)

    2、萨缪尔森对经济学的定位(P50)

    一系列价值判断和精密科学之间,承认 “我们的心灵确实经常蒙蔽思想和眼睛”。
    引自 第二章 萨缪尔森的哲学理想

    3、萨缪尔森自我对经济思想贡献的评价(P66)

    我很荣幸有足够多的难题要解决。许多艺术家和作家在提出突破性思想之前,都经历了较长的停滞期。幸运的是,我没有遇到这个问题。
    引自 第二章 萨缪尔森的哲学理想

    4、萨缪尔森和弗里德曼之间惺惺相惜(P80-81)
    (1)1976 年,萨缪尔森在弗里德曼获得诺贝尔经济学奖之后这样说:

    “事实上,尽管我们的政策和学术观点不同,但我们 40 多年来却一直都是好朋友,我依然认为政治经济学是一门科学。”
    引自 第二章 萨缪尔森的哲学理想

    (2)弗里德曼对萨缪尔森的评价:

    尽管保罗和我经常就公共政策等方面的问题激烈争论,但是我们私下感情非常好,互相尊重彼此在经济领域的地位和做出的贡献。1995 年 12 月 8 日保罗在一封信中对此这要描述:“尽管我们在许多方面军意见都有分岐,但我们理解分歧的根源在哪,而且我们都很善于维持友谊并尊重对方。”
    引自 第二章 萨缪尔森的哲学理想

    (3)弗里德曼对萨缪尔森共同教育背景的评论

    保罗和我在芝加哥大学接受了非常相似的学术影响。我们同受 Jacb Viner、Frank Knight、Henry Simons 的影响,保罗还深受 Araon 老师的影响,Araon 老师是罗斯的哥哥,是保罗本科生期间的老师。
    引自 第二章 萨缪尔森的哲学理想

  • [第 92 页 第三章 萨缪尔森的研究方法]#

    1、数学与经济学(数学是语言)
    (1)数学符号能比文字在更短的时间内表达更多的内容(P92)
    (2)任何假设都应明确,论证严密,数学减少了很多经济学思想中的 “随意性”(P93)
    (3)经济学家里众多的数学模型和理论可以选择,以用于他或她正试图解决的特定经济学问题(P93)
    (4)仅仅用一张图片来描述这么多因素之间的相互影响显然是不可能的,而运用数学方程式就可以描述大量的,甚至是无限个因素间的相互影响(P94)

    2、经济学家 Robert Dorfman 的观点(P95-96)

    我认为数学是用来表达经济现象内在规律的重要技术工具,通过构建复杂经济现象下的数学模型、利用已有知识发掘模型中体现的该经济现象的特点和规律,最终揭示未来可能的现象和走势。这种研究步骤的优势在于它巨大的经济性。
    引自 第三章 萨缪尔森的研究方法

    3、萨缪尔森对马歇尔的批判(P96)
    (1)在《经济分析基础》的引言当中,萨缪尔森引用了马歇尔曾说过的一句话:“对于人们来说,是否值得花时间去阅读经济学理论中大量篇幅的数学推导是个疑问。”
    (2)虽然萨缪尔森在写作之初也 “曾想只做非技术性规范研究探讨,但很快发现这样会大幅增加写作篇幅”
    (3)艰辛的文字工作不但在推动科学进步上收效甚微,而且体现出来的是智力运动的衰退。数学模型能够简洁明了地说明问题,这也是现代经济理论的重要特征

    4、Frank Hahn 的评论(P98)

    萨缪尔森不仅是我见过的最聪明、最多才多艺的经济学家,他还能把诸多的思想融会贯通。他教会我作为伟大的经济学家最重要的一门艺术,在于懂得把杂乱而困难的问题化繁为简。
    引自 第三章 萨缪尔森的研究方法

    5、萨缪尔森对学生问题的解答(P101)
    (1)学生问:

    老师,我对经济理论感兴趣,但是我懂的数学知识很少。发我翻阅期刊时,感到非常困扰。难道我必须放弃成为理论家的梦想吗?难道我必须学习数学吗?如果上是这样,那我要学多少?我已经 21 岁了,难道我要重回过去吗?
    引自 第三章 萨缪尔森的研究方法

    (2)萨缪尔森回答:

    无论是现在还是过去,都有一些著名的经济理论家对数学一窍不通。还有一些著名的经济理论家只懂得少许数学知识。很显然,即使不懂数学,你依然可以成为一名伟大的理论家。但客观地说,你需要有超人的聪明和睿智。
    引自 第三章 萨缪尔森的研究方法

    6、Stephen Hauking 关于好理论的两个要素(P103):

    首先要能用一个简单的只包含少数要素的模型全面描述大量数据;第二要能对未来数据的变化趋势给出准确的预测。
    引自 第三章 萨缪尔森的研究方法

    7、萨缪尔森对计量经济学的评价
    (1)起初对计量经济学非常痴迷,后期不感兴趣(P107)

    当我 20 岁时,我认为计量经济学方法能带来很大进步。虽然没有预见到计算机时代的来临,但随着人工计算量的减少,我预料到新的计量经济学将能够据此检验和拒绝虚假理论,也将能够推出新的有效的理论。但是令人苦恼的是,我所期待的这一切从未真正实现过…… 我没有忽视计量经济学的研究,但是令人沮丧的经历让我不相信它能产生多大的效果。
    引自 第三章 萨缪尔森的研究方法

    (2)萨缪尔森 “令人沮丧的经历”(P107)

    可能是指他 1944 年的一个实证预测,他在《新共和杂志》上预测:第二次世界大战结束后将会了现居高不下的失业率。后来证明这个预测是错误的。萨缪尔森把这个事情描述为 “一个巨大的、低级的预测错误”。萨缪尔森的这个故事让我想起著名小提琴演奏家内森・米尔斯专坦,他曾经被一个仰慕者要求故意演奏错一个音符,以表明他也是正常人。
    引自 第三章 萨缪尔森的研究方法

    8、萨缪尔森对经济学的最大贡献(P112)

    萨缪尔森毕生致力于研究如何利用数学模型来提高我们对现实世界的理解,而这才是他对经济学最大的贡献。
    引自 第三章 萨缪尔森的研究方法

    9、萨缪尔森和弗里德曼的方法论分岐(经济学界的重要问题:如何评价一个理论模型,P78)
    (1)费里德曼(P78):模型假设不需要真实,只要模型在该假设下可得到 “好的近似值”

    应该把预测能力作为评价一个模型好坏的标准,检验模型有效性的唯一标准就是该模型预测的精确程度。
    引自 第三章 萨缪尔森的研究方法

    (2)萨缪尔森认为弗里德曼的逻辑定义为 “F— 扭曲”(P78)

    如果某理论的结果在有效区间内无限接近于近似值,那么该理论就是可证明的;理论本身或者假设条件的真实与否与它的有效性和有效值无关。
    引自 第三章 萨缪尔森的研究方法

    (3)萨缪尔森认为弗里德曼的方法存在短板效应(P79):

    说明 F— 扭曲包括了理论本身的错误和实验验证错误的可以被包容的非现实程度。事实上没有东西是完全精确的,经济学拥有或者没有的命题不应该成为放松评判实证有效性标准的借口。
    引自 第三章 萨缪尔森的研究方法

  • [第 122 页 第 4 章 萨缪尔森的成就]#

    评论:有人指责钱颖一将萨缪尔森《经济学》引入中国,而没有将更优秀的艾智仁的《university economics》引入中国,他们不知道的是钱颖一个导师科尔奈以萨氏教材进入西方经济学研究领域

    1、《Economics》写作的初衷(P122-123)

    萨缪尔森回忆了麻省理工学院经济学院主任拉尔夫・弗里曼(Ralph Freeman)是如何恳请萨缪尔森写一本经济学教科书的。当时,弗里曼面临一个问题:经济学对麻省理工学院大三的学生来说是必修课。主任叹息说:“学生们讨厌这门课程,我们竭尽所能,但仍然无法扭转这一现象。” 并且他给萨缪尔森提了一个无法拒绝的建议:“保罗,你能不能用半个或一个学期的时间来写一本学生们喜欢的书。如果他们喜欢,就证明这是一本优秀的经济学教科书。忽视你的喜好,尽可能的全面和简短。你做出的任何努力都将极大地改善我们目前的处境。” 萨缪尔森接受了这项工作并且认真对待。三年后,“在夜以继日的辛勤工作、暑假无休和翻阅无数资料后”,书稿写好并准备出版了。
    引自 第 4 章 萨缪尔森的成就

    2、《Economics》为什么选择麦格劳 — 希尔出版商(P123-124)

    第一,麦格劳 — 希尔到目前为止还没有出版过畅销教科书,其他的大型出版商都已经出版过了;第二,该出版社已经出版了我哈佛大学老师约瑟夫・熊彼特的两卷关于商业周期的论文以及十五卷麻省理工学院放射实验室的著作,而我在战争时期曾在这个实验室学习。
    引自 第 4 章 萨缪尔森的成就

    3、稿费预付款(P125)

    萨缪尔森从未收到过稿费预付款 —— 这在今天大多数教科书作者看来是荒谬的。例如,哈佛经济学教授 Gegory Mankiw,2003 年他被选为经济咨询委员会主席,1997 年收到了 140 万美元《经济学原理》的预付稿费,现在该书已出版到第 6 版。当萨缪尔森决定接受国际英文版更低的版税时,他解释说:“和赚稿费相比,我对影响人们的思想更感兴趣。”
    引自 第 4 章 萨缪尔森的成就

  • 第 148 页 第 5 章 学生们对萨缪尔森的回忆#

    1、Avinash Dixit 对萨缪尔森的回忆(P148-149)
    (1)

    我从萨缪尔森身上学到的最重要、贯穿我整个学术生涯的一件事是什么呢?就是关于经济学的统一认识以及把数学方法用到经济学分析当中。我学着利用选择、均衡和动态等各种数学方法和概念来构建通用的分析框架,尝试解决所有经济学领域存在的疑难问题。
    引自 第 5 章 学生们对萨缪尔森的回忆

    (2)

    萨缪尔森通过他的研究和教学,成功地向我们展示了数学语言对经济学研究是多么得便捷、有效,通过数学语言可以描述不同要素之间的因果联系和相互关联的随机性。
    引自 第 5 章 学生们对萨缪尔森的回忆

    2、Lawrence R.Klein(1980 年诺贝尔经济学奖)讲述关于萨缪尔森访问芝加哥大学的轶闻

    他们比较关注我用哪些书作为基础经济学的教材,我说我用的是阿尔弗雷德・马歇尔的《经济学原理》,令人吃惊的是,芝加哥人对我的质疑立马就停止了。
    引自 第 5 章 学生们对萨缪尔森的回忆

    评价:有另一件轶闻,萨缪尔森也曾经表示过对艾智仁价格理论的敬仰

保罗・萨缪尔森 (Paul A. Samuelson) 或许比其他任何人都更能代表 20 世纪下半叶的主流经济学。保罗・萨缪尔森是有史以来最成功的经济学原理教科书 (1948 年) 的作者,他被认为是经济学 “权威” 的化身,这一点并不为_过_ - 因此,他几乎因经济学的所有正确和错误而受到赞扬和诋毁。

萨缪尔森最著名的著作_《经济分析基础》 (1947 年),是帮助复兴_新古典经济学并开启经济学数学化时代的巨著之一。萨缪尔森是战后时期微观经济学中帕累托复兴   和宏观经济学中新凯恩斯主义综合 的先驱之一。

保罗・安东尼・萨缪尔森 (Paul Anthony Samuelson) 出生于印第安纳州加里,在芝加哥长大,1932 年进入 芝加哥大学学习,并于 1935 年获得学士学位。后来,他进入哈佛大学学习,并于 1936 年获得硕士学位,1941 年获得博士学位。他的论文成为_《经济分析基础》_ (1947 年)。

萨缪尔森是 20 世纪 30 年代哈佛一代的_神童_,师从约瑟夫・熊彼特、瓦西里・列昂节夫、戈特弗里德・ 哈伯勒、阿尔文・汉森和(他的数学导师)埃德温・比德韦尔・威尔逊。萨缪尔森对经济理论的掌握非常精湛,这已成为传奇(据传,在萨缪尔森的论文答辩结束时,熊彼特转向列昂节夫问道:“瓦西里,我们通过了吗?”)。出于不明原因,萨缪尔森没有得到哈佛大学的录取,因此他于 1940 年转学到麻省理工学院 ,从此再也没有回头。当时,麻省理工学院在经济学方面相对落后。萨缪尔森后来以自己为中心建立了本世纪最强大的经济学系之一。不久,罗伯特・索洛(Robert M. Solow)也加入了他的行列,索洛后来成为萨缪尔森的合著者和犯罪伙伴。

萨缪尔森对经济学的具体贡献太多了,无法在此一一列举 —— 他是经济学界最多产的作家之一。萨缪尔森的标志性经济理论方法(见《经济学_基础》_(1947 年))似乎遵循两条规则,这两条规则也可以说是自那以后新古典经济学的主要特征:对于每个经济问题 (1) 减少变量数量,只保留一组最少的简单经济关系;(2) 如果可能,将其重写为约束优化问题。

在微观经济学中,他提出了显示偏好理论(1938 年、1947 年)。这一理论以及他在效用测量和可积性问题上的相关努力(1937 年、1950 年)为德布鲁、 乔治斯库 - 罗根乌扎瓦后来的发展开辟了道路。他还通过 “对应原理”(1947 年)引入了比较静态和动态的使用,这一原理在他对 一般均衡的动态稳定性的贡献中得到了卓有成效的应用(1941 年、1944 年)。他还开发了现在被称为 “柏格森 - 萨缪尔森社会福利函数”(1947 年、1950 年、1956 年),同样著名的是,萨缪尔森将 “公共物品” 引入了新古典理论(1954 年、1955 年、1958 年)。

萨缪尔森在建立现代生产理论方面也发挥了重要作用。他的_《基础》_ (1947 年)提出了包络定理和成本函数的完整特征。他还对技术进步理论做出了重要贡献(1972 年)。他的资本理论工作也广为人知,尽管存在争议。他证明了第一个引人注目的 “非替代” 定理(1951 年),并在他与索洛的著名论文(1953 年)中开创了动态列昂节夫系统的分析。这项工作在他与罗伯特・多夫曼和罗伯特・索洛于 1958 年合作的关于线性规划的著名论文中得到了重申,其中我们还找到了对线性冯・诺依曼系统的 “收费公路” 猜想的清晰介绍。萨缪尔森也是琼・罗宾逊在剑桥资本论战中的主要对手 —— 他引入了 “替代” 生产函数(1962 年),随后(并慷慨地)让步(1966 年)。

在国际贸易理论方面,他提出了斯托尔珀 - 萨缪尔森定理(1941 年)和独立于勒纳提出的要素价格均等化定理(1948 年、1949 年、1953 年),并(最终)解决了与贸易条件和资本流动有关的古老的 “转移问题” 以及马克思的转型问题(1971 年)和古典经济学 中的其他问题(1957 年、1978 年)。

在宏观经济学中,萨缪尔森的乘数 - 加速器宏观动力学模型(1939 年)名声显赫,他向世人展示了菲利普斯曲线(1960 年)。他还因推广阿莱的 “世代重叠” 模型而闻名,该模型后来在宏观经济学和货币理论中得到广泛应用。从许多方面来看,他关于投机价格的研究(1965 年)有效地预见了金融理论中的有效市场假说。他关于多元化(1967 年)和 “终身投资组合”(1969 年)的研究也广为人知。

保罗・萨缪尔森对新古典经济理论的诸多贡献获得了 1970 年的诺贝尔奖

萨缪尔森的学术成就
萨缪尔森一生中的著作主要包括《经济学》、《经济分析的基础》、《线性规划与经济分析》、《中间道路经济学》以及《萨缪尔森科学论文集》。
───
萨缪尔森的师友们

任何大家学术成就的取得与其学习和工作环境是分不开的,好的师友的指导、砥砺助推了一个人的成就。萨缪尔森获得诺贝尔经济学奖后,有记者问他,获得诺贝尔奖的秘诀是什么?萨缪尔森当即回答,去找一个好老师。
萨缪尔森的师从

IMG_20241210_122609
熊彼特
美籍奥国(原奥匈帝国)经济学家,以 “创新理论” 和 “经济周期理论” 闻名西方经济学界。

IMG_20241210_122709
里昂惕夫
投入产出分析方法的创始人,并因此而于 1973 年获得诺贝尔经济学奖。

IMG_20241210_122752
阿尔文・汉森
即萨缪尔森所称的 “好老师”,美国最早的凯恩斯主义者、新古典综合派的奠基人。
萨缪尔森的同窗

IMG_20241210_122837
詹姆斯・托宾
美国经济学家,1981 年获诺贝尔经济学奖,在经济学方法、风险理论、金融市场理论等方面均卓有建树。

IMG_20241210_122929
艾伦・梅尔泽
美国经济学家,政治经济学教授,在货币政策的发展和应用方面是世界认可的顶尖学者之一。

数学
萨氏分析的主要工具
数学使经济学变得更为周密,也更为科学。数学在萨缪尔森解决经济问题的过程中起到了不可低估的作用。

在经济学的分析中,人们有时会对含糊不清的文字产生谬误。为了解决这一问题,萨缪尔森在《经济分析的基础》一书中,通过基本一致的数学形式,对新古典经济学的主要成就进行了总结。这不仅标志着以微积分为基础的边际主义时代的结束,而且标志着西方核心经济理论的分析方式已经演变为以数学和推理为主,而不再是简单的图形和文字的说明。

萨缪尔森推崇数学在经济学中的应用主要原因有三点:

  • 第一,数学是一门语言。数学符号和几何图形与文字语言一样具有严格的逻辑性。

  • 第二,数学具有简洁明了的优点。它能将复杂的经济学关系用简单的符号来描述,而且很少涉及定性问题。所以,只要给出正确的前提,数学推理导致的逻辑错误是很少的。

  • 第三,经验表明,很多伟大的经济学家在数学方面都有很深的造诣。不懂数学的人最终可能会被迫离开经济领域的研究。

由于数学是一门语言,即使是天才,他学习语言也需要时间。因此,让人们接受这一崭新的分析方法不是一蹴而就的事情。萨缪尔森使用的这种新方法曾遭到人们的许多批判,他们认为,数学符号也许会将不正确的经济理论掩盖;数学方法所具有的严密性与经济学不相适应,实验方法也不可靠。显然,萨缪尔森的数学分析方式会使那些没有过硬数学功底的经济学家面临 “下岗” 的问题。

面对指责,萨缪尔森曾诙谐地说过:“这是我到闪着金光的天堂门口时必须说明的罪过之一。”“如果我是只跑出羊圈的小羊,要向上帝和他的仆人证明,在经济学中使用数学是令人痛恨的错误,那么我将面临严酷的判决。然而,即使我能说出顺应别人的话语,我也会像伽利略一样在心中念叨:‘数学确实是有很大用处的’。”“如果对简单的数学概念进行烦琐的文字解释,不仅对促进科学进步毫无裨益,而且是特别乏味的精神操练。”
由此我们可以看出,萨缪尔森对数学分析方式有着怎样的执著。
───
数学的研究方法在经济学领域的运用
数理经济学是运用数学方法对经济学理论进行陈述和研究的一个分支学科,它与传统的以图片和文字性的经济学研究方法相比,更为精确,避免了含糊不清的表达。

数理经济学的发展历程
IMG_20241210_123149

折中主义大胆的经济哲学#

经济哲学是指经济学者在理论分析中所体现出来的哲学思想,具有很高的抽象性。萨缪尔森所推崇的经济哲学是折中主义。

什么是折中主义?#

折中主义源于希腊语,原义是指将各种不同的,甚至根本对立的观点无原则地拼凑在一起。作为一个哲学概念,它最早由法国哲学家库辛提出来。说萨缪尔森是折中主义的忠实信徒,这一点可以从他的经济学著作中反映出来。
他曾经说过:“左派和右派的思想家们都喜欢用极端对立的方式思考问题。这不是我的作风。研究经济史的经验,还有 50 年来所学习和发展的经济理论,都迫使我不得不成为一个折中主义者。” 在经济理论上,他将新古典微观经济学与凯恩斯宏观经济学结合在一起,并且吸收了货币主义、供给学派和理性预期学派等主流理论的精华,将原有体系整合为 “现代主流经济学的新综合”;在经济制度上,他倡导私有经济和政府控制的互相混合;在经济政策上,他主张财政政策和货币政策的松紧结合。萨缪尔森直言不讳地讲道:“折中的理论尽管让人乏味,但是希望从现实出发的学者必须坚持。”
为什么理性的萨缪尔森如此热衷于折中主义呢?
这是因为他经常强调经济学不是一门精确的科学。既然不精确,就没有必要冒险去做精确的选择。萨缪尔森认为,自己应该做的就是努力不犯错误。令萨缪尔森尤其感到安慰的是,历史上许多大家也信奉折中主义,如穆勒、斯密和威克塞尔。这更加坚定了他对于折中主义的信念。
当然,萨缪尔森的折中主义曾经受到了不少学者的批判。布朗芬布伦纳就是其中之一。他指出,折中主义存在于音乐、艺术、文学和烹调方面是一件很好的事情,但在经济学领域就是问题,最大的问题在于矛盾的存在。经济学力争处于科学状态,因此用方法论作为防范愚昧的措施对于学者来说是不应该的,这就如同天下没有任何免费的午餐一样,任何事情都是需要付出代价的。
针对这样的批判,萨缪尔森也大力回击,他指出,经济学家不应该是个瘸子,因为一条腿走路的经济学家信奉的教条有两种,要么极 “左”,要么极 “右”。经济学家需要两条腿走路,只有采取折中主义,才能对经济进行正确的裁决。
───
萨缪尔森的 “折中主义”
折中主义是萨缪尔森的经济哲学,他尽量避免左派和右派思想家们极端对立的思考方式,所谓折中,其实也就是一种综合。这一经济哲学受到了布朗芬布伦纳等学者的质疑。
折中主义的综合思想

IMG_20241210_123350
对折中主义的质疑

IMG_20241210_123516
4 萨氏代表的新古典综合

凯恩斯主义的出路#

萨缪尔森是新古典综合的总建筑师,他将凯恩斯的宏观经济理论与马歇尔和瓦尔拉斯的微观经济理论成功地融为一体。

创立新古典综合经济学理论的背景#

托宾认为,萨缪尔森对西方宏观经济学的最大贡献在于他是新古典综合的总建筑师,他在构建和传播新古典综合方面起到了巨大的作用。时事造就英雄,在那个时代,萨缪尔森提出新古典综合有其必要性。
首先,“二战” 后,凯恩斯用以解决经济萧条的理论已经不再适用经济迅速发展的美国,而微观经济学理论主张的自由放任经济与现实相差甚远。各国政府迫切需要既能够保持经济长期繁荣,又主张政府干预政策的经济理论出现。
其次,凯恩斯强调宏观分析,而马歇尔和瓦尔拉斯强调微观分析,现实经济需要能够填平宏观经济和微观经济 “鸿沟” 的理论。
最后,“二战” 后,美国出现了私人经济与国民经济并存的特征,这就需要一种理论能够将 “两只手” 有机地结合起来。
由于萨缪尔森不仅对凯恩斯的《通论》熟烂于心,他还对马歇尔和瓦尔拉斯的新古典微观经济理论很有研究。因此,一个经济学通才,在现实需求的呼唤下创立了新古典综合经济学理论。

新古典综合经济学理论的价值#

  • 新古典综合从理论上弥补了总量宏观经济学与传统微观经济学之间的鸿沟,完成了新古典的经济 “均衡” 理论与凯恩斯的经济 “不均衡” 论的对接。在经济政策方面,有些凯恩斯的追随者认为,“货币没有多大的重要性或者根本没有重要性”,萨缪尔森认为这种财政主义观点是一种极端主义观点;
  • 另一方面,货币主义学派认为,为了控制宏观经济总量 —— 通货膨胀的缺口、萧条和经济成长的迟缓,应该做的事情几乎只有单独地通过控制货币供给才能做到。萨缪尔森同样认为,它是另一种极端主义观点。奉行折中主义的萨缪尔森提出,政府在干预宏观经济时应将财政政策和货币政策有机地结合起来,他主张逆经济风向而动的财政货币政策。这正是新古典综合经济理论的精髓所在。总之,新古典综合的最终目的在于运用凯恩斯所提出的宏观经济理论和政策,使资本主义经济免受周期性危机和失业的困扰,从而实现微观经济理论所说的市场经济这一美妙机器的正常运转。
    ───
    新古典综合
    萨缪尔森对西方宏观经济学的最大贡献在于他是新古典综合的总建筑师,他在构建和传播新古典综合方面起到了巨大的作用,而这也是现实环境变化而引发的理论发展的要求决定的。
    新古典综合产生的背景

IMG_20241210_123725
货币调控的态度

IMG_20241210_123852
5 应对滞胀

萨氏与现代主流经济的新综合#

面对经济滞胀的肆虐,新古典综合经济理论显得苍白无力。因此,萨缪尔森汲取了各种主流学派经济理论的精华,提出了现代主流经济的新综合。

滞胀 —— 经济的 “温疫”#

滞胀是指经济同时处于高失业和高通货膨胀的状态。英国经济学家菲利普斯曾经提出,失业与通货膨胀之间是存在替代关系的,即如果一个国家愿意以较高的通货膨胀率为代价,那么它就可以获得较低水平的失业率,而且这一关系无论在长期还是短期都是成立的。然而,滞胀的出现使得通货膨胀和失业两者之间的替代关系不复存在。萨缪尔森坦率地承认,面对滞胀的残酷事实,新古典综合的经济政策陷入严重的两难境地。可以说,滞胀撼动了新古典综合学派的主流地位。

新古典综合学派日益衰落,西方经济中出现了很多派别,其中影响较大的有货币主义学派、供给学派和理性预期学派。这三个学派以滞胀为突破口,从不同角度对新古典综合理论进行了严厉的批判,力图扩大自身理论和政策的影响,争夺主流经济学的宝座。以萨缪尔森为代表的新古典综合派也不断地对上述学派的批判进行反驳和还击。
萨氏理论应对滞胀
三个学派的日益强大,使得新古典综合学派面对着严峻的挑战。因此,萨缪尔森又一次采取了折中的办法,将不同学派的观点纳入到新古典综合经济理论中,提出了现代主流经济的新综合。新的综合与新古典综合的主要区别在于以下几点:

  • 1.将总供给和总需求方法加以综合,对国民总产值和价格的总体变动进行分析。

  • 2.将货币主义理论与新古典综合理论加以综合,构成总需求理论。

  • 3.将供给学派与新古典宏观经济学加以综合,构成总供给理论。

  • 4.在失业和通货膨胀的问题上进行了新的综合分析。

萨缪尔森为医治滞胀这个 “瘟疫”,将当时具有影响力的所有经济理论加以综合,旨在巩固新古典综合派的主流地位。但事实证明,萨缪尔森新古典综合和现代主流经济学的新综合,甚至后来受美国和其他西方国家政府青睐的货币主义和供给学派的理论,都不是灵丹妙药。经济滞胀成为让西方经济学家头痛的 “痼疾”。
然而,正是这样神秘的经济学研究,使成千上万的人为其赴汤蹈火。
───
解决 “滞胀” 的方案
20 世纪 70 年代,滞胀逐渐成为长期困扰美国乃至世界的经济问题,同时也撼动了新古典综合学派的主流地位,加之其他经济理论学派的兴起,使新古典综合派不得不进行一次革命。

什么是滞胀#

IMG_20241210_124123

新古典综合理论的新综合

IMG_20241210_124223
萨缪尔森的经济政策主张
宏观需求的管理
萨缪尔森的新古典综合经济理论基本上延续了凯恩斯的宏观需求管理政策,但具体形式有所变化。

认识财政政策与货币政策的作用#

萨缪尔森放弃了凯恩斯追随者所提出的财政政策极端和货币主义提出的货币政策极端。他认为,财政政策和货币政策在数量和性质方面,对于经济的调节可能具有不同的作用。因此,经济学家们必须将两种政策灵活地组合起来,从而使得给定的宏观经济形势达到令人满意的结果。

在 1955 年出版的《经济学》教科书中,萨缪尔森明确地提出,为了实现较高的投资率和较低的消费,只有紧缩性财政政策和扩张性货币政策的相结合才能生成充分就业的经济

萨缪尔森告诫他的学生:“一方面,新古典综合能够消除节约无法推行的矛盾,并能在这个意义上使有关资本形成和生产率的古典观念有效。另一方面,现代社会当然实行财政和货币政策 —— 这些政策塑造了随之产生的高水平就业的消费和投资方案。” 我们可以明显看出,萨缪尔森对两种政策在完成充分就业目标的共同作用上给予了充分的肯定。
1956 年,萨缪尔森对财政政策和货币政策最优组合的具体方式进行了详细的论述。他认为,为了更快地实现资本积累和技术进步,政府必须通过扩张性的货币政策使人们更加容易地获得资金进行投资,但这将会造成通货膨胀的压力。为了缓解这个压力,政府还必须采取紧缩性的财政政策抵消它。萨缪尔森断言:“在合适的财政和货币政策下,我们的经济能够实现充分就业,并且达到资本积累和增长所需要的任何速度。”
针对 20 世纪 60 年代初期美国的失业大军,萨缪尔森认为,政府应不惜以巨额赤字为代价将失业率控制在 8%以下。伴随着谨慎的预算赤字,政府应采取扩张性的货币政策。
总的说来,萨缪尔森在 20 世纪 50 年代主张的 “逆经济风向” 而行的、收缩与扩张相互结合的财政货币政策对经济的调节起到了很大的作用。该种政策使美国 20 世纪 50 年代的经济实现了稳定增长。
但是,在 20 世纪 60 年代和 70 年代,萨缪尔森的政策组合主张却面临了滞胀的严峻挑战。为此,他提出现代主流经济的新综合,对古典经济学综合进行了修正。
───
萨缪尔森折中主义的经济政策
萨缪尔森不主张走凯恩斯追随者所提出的财政政策极端和货币主义提出的货币政策极端,认为将两种政策工具灵活地结合起来才能使宏观经济形成良好态势。

财政政策与货币政策#

IMG_20241210_124525
萨缪尔森与马克思主义政治经济学
经济学大争论
每当西方经济学软弱无力时,马克思主义政治经济学就会迎来春天。西方经济学家对其总是采取狂轰滥炸的态度,萨缪尔森也不例外。

萨缪尔森眼里的马克思主义经济学#

马克思主义经济学对于西方经济学家来说如同挥之不去的阴霾。20 世纪 30 年代,美国出现了最严重的经济大萧条,很多经济学家认为资本主义走到了尽头。因此,出现了马克思主义政治经济学研究的热潮。20 世纪 70 年代出现石油危机时也是如此。以萨缪尔森为代表的西方经济学家们产生了极大的恐慌。
萨缪尔森是批判马克思主义政治经济学理论的代表之一。20 世纪 50 年代到 70 年,他代发表了无数篇有影响的论文,对马克思的劳动价值论、剩余价值论、转形理论以及经济危机理论等进行了攻击。
劳动价值论是马克思主义理论的基石,萨缪尔森称其为 “不必要的弯路”。他将英国古典劳动价值论与马克思科学劳动价值理论混淆起来,以抹杀马克思的科学贡献。他认为,如同在生育子女的问题上不能说母亲重要还是父亲重要一样,马克思也不能认为劳动这个生产要素比其他生产要素重要。萨缪尔森还认为,劳动价值论只适用于土地无限供给的 “黄金时代”,一旦土地的供给受到了限制,该理论便不再适用。

对于剩余价值理论,萨缪尔森认为这个概念无法用于推测英国或美国的失业大军在 1867 年或 1967 年究竟占劳动力总数的多少;也不能推测资本主义的实际工资究竟是按年平均率-5%变化还是按 3%的数值进行变动。他认为,马克思声称的各种规律并不能令人信服地从他自己的概念体系中推导出来。
转形问题是《资本论》中关于价值转化为生产价格、剩余价值转化为平均利润的论证问题。西方学者一直将批判的焦点放在这个问题之上。萨缪尔森也认为,《资本论》中的第一卷和第三卷对于这个问题的阐述存在自相矛盾,并且这个矛盾没有得到很好的解释。
关于经济危机理论,马克思曾预言:“最终一次灾难性的萧条将敲响资本主义的丧钟。”30 年的大萧条验证了这句预言。萨缪尔森指出,马克思没有想到凯恩斯的《通论》挽救了资本主义。
───
萨缪尔森对马克思主义政治经济学的质疑
马克思主义政治经济学是以一种经济理性来颠覆资本主义制度的;而作为对资本主义制度持 “改良” 和 “修正” 的经济学者,萨缪尔森对马克思的相关理论进行了质疑和攻击。

IMG_20241210_124730
政府调控

IMG_20241210_124943

宏观经济的稳定发展,离不开政府对市场的调控和监管,灵活的财政和货币政策是市场机制的必要补充。图为美联储前任主席格林斯潘与欧洲中央银行行长在一起。

1 经济学研究的主题#

稀缺和效率 —— 天下没有免费的午餐
经济学是一门很有意思的学科,它的两大核心思想包括稀缺性和效率。人们承认其稀缺性的存在,在此基础之上有效率地分配有限的资源。
经济学是一门成长中的学科,30 年来它覆盖了很多主题。经济学到底是研究什么?经过千锤百炼,各种主题的 PK,以萨缪尔森为代表的经济学家们认为重要的经济学定义包括以下几大方面:
研究如何在经济活动中确定劳动、资本和土地;考查收入分配,以及在不损害经济运行的前提下提高穷人的生活水平;考查政府支出、税收、预算赤字对经济增长的影响;研究经济周期;考查各国贸易;研究发展中国家的发展。
经济学研究的是社会如何利用稀缺的资源以生产有价值的商品,并将它们分配给不同的人。其思想是:稀缺性、效率。

  • 稀缺性
    我们生活的世界不是伊甸园,也不是乌托邦,不能对于物质取之不尽、用之不竭。天下没有免费的午餐,任何东西都是稀缺的,不是无限供给的。粮食、石油、工作机会等,都不是无限供给的。需求无限和资源有限,构成了物质的稀缺性,有限的物质无法满足人类无限的欲望。
  • 效率
    欲望无限,资源有限,这样一来,我们就得有效率地分配资源。效率就是在不使其他人的境况变坏的前提条件下,一项经济活动不再有可能增进任何人的经济福利,该经济活动就是有效率的。比如,将 1 美元分配给拾荒者而不是给世界首富。
    因此,经济学的精髓在于,承认稀缺性的存在,研究一个社会如何组织,从而最有效地利用资源。
    ───
    经济学研究什么
    经济学的研究范畴一般说来分为六大部分,而其核心只有五个字 —— 稀缺性、效率。

IMG_20241210_125202

2 微观经济学和宏观经济学#

个体与总体的和谐
经济学分为宏观经济学和微观经济学,两者紧密相连、相辅相成,却又有各自的魅力,各有侧重。
微观经济学
“微观” 是从希腊文 “μικρο” 意译过来的,原意是 “小”。顾名思义,微观经济学研究的就是单个实体的市场、企业、家庭的行为。
18 世纪,英国诞生了一位伟大的经济学家,人们称其为微观经济学的创始人 —— 亚当・斯密。他写了一本流传千古的微观经济学宝典 ——《国富论》。
在这本宝典中,斯密考查了如何确定单个价格以及土地、劳动和资本的定价问题,并研究了市场机制的优势和劣势。最重要的是,他指出,个人的自利行为产生经济利益。也就是说,每个个体经济参与者都是力图使自己的利益最大化的,正是这样的个体行为,导致了有效率的经济活动。这么多年以来,经过后人的潜心研究,微观经济学的内容已经相当广泛,主要包括:均衡价格理论、消费者行为理论、生产者行为理论、分配理论、一般均衡理论与福利经济学、市场失灵与微观经济政策。

  • 宏观经济学

宏观经济学研究的是经济的总体运行。水滴汇成了大海,微观中的经济个体汇成了宏观经济学的研究对象 —— 总体经济。

出生于英国的凯恩斯,成了宏观经济学的鼻祖。他写了一本具有革命性的巨著《就业、利息与货币通论》,简称为《通论》。这本书被后人所推崇,成为宏观经济学的真经。时代造就英雄,19 世纪 30 年代,英美处于大萧条时期,凯恩斯在其伟大的著作《通论》中分析了失业增加、经济下降的原因,消费与投资的决定,中央银行货币和利率的管理等问题。他还指出,政府在熨平商业周期波动方面所发挥的重要作用。随着时间的流逝,人们将宏观经济学理论分为几方面内容:国民收入决定理论、消费函数理论、投资理论、货币理论、失业与通货膨胀理论、经济周期理论、经济增长理论、开发经济理论。
虽然微观和宏观有着你中有我,我中有你的密切联系,但是两者的研究对象、解决的问题、研究方法、基本假设和中心理论还是有所不同的,不能一概而论。
───
西方经济学的奠定者
一般地,人们认为西方经济学始于亚当・斯密,阿尔弗雷德・马歇尔和约翰・凯恩斯这一对师生分别在真正意义上奠定了微观经济学和宏观经济学。

IMG_20241210_125416
3 市场经济与指令经济
我们的经济谁做主
在现实世界中存在着两种本质不同的资源配置方式:市场经济和指令经济。

市场经济#

纯粹的市场经济是一种极端的经济体系,政府在这种自由放任的经济中不施加任何政策影响,没有一个大佬站出来告诉某个人或者企业,该做什么、不该做什么,整个市场从诞生起就像是《黑客帝国》中的程序一样,自我运行着,价格、市场、盈亏、刺激与奖励的一整套系统解决了生产什么、如何生产和为谁生产的问题。在这个过程中,消费者的钱花的最舒心、生产者的利润最让人开心,整个社会处于一种其乐融融的景象中。90 年代以后上初中的人都应该听说过 “看不见的手” 这个词,即使上课时间你是在梦中度过的,老师无数遍的强调至少在你的脑海里会留有一点痕迹。没错,这个 “看不见的手” 就是市场的价值规律。整个市场正是默默地遵循着这个规则在运行着,而政府不干涉任何事情。

指令经济

指令经济,也称为计划经济,它是在政府的操控下进行经济活动的。政府不仅拥有大部分的生产资料,还会指导企业如何生产,产品如何分配等一系列经济活动。在指令经济中,政府通过其对资源的所有权解决基本经济问题。也就是说,国家通过各种计划,企图对整个社会资源进行最佳配置,同时控制企业的全部活动。例如,在新中国成立初期,我国曾经实行过指令经济。那时,资源极其短缺,不能满足大多数人的需求,人们手里可以买东西的不是钱,而是各种 “票证”,比如,粮票、油票、煤票、布票、肉票、工业票等。如果一个馋嘴的哥们把这个月的肉票用完了,纵使他有再多的钞票也没用,只能眼巴巴地盼着下个月的肉票发下来了。在这个时期会有一家人轮换穿一条新裤子的现象,没办法,计划经济只能发给家里有限的布票,做个差不多的裤子,大家一起穿,矮个儿的拉拉裤腿,高个儿的当个七分裤,穿起来也都挺美的。
市场经济和指令经济各有利弊,没有一个是完美的。因此,在当今社会中,没有一个社会完全属于上面两种极端中的一个,而是将两种经济有机地结合在一起,发挥各自的优势,这样相互结合的经济,经济学家们称其为混合经济。
───
寻求最佳的资源配置方式
纯粹的市场经济与指令经济,是两种极端的资源配置方式;而在实际生活中,各个国家采用的经济体制多为两者的结合 —— 混合经济。

IMG_20241210_125642

4 生产要素

财富之源#

土地、劳动、资本和企业家的才能,构成了基本的生产要素。
相对于人类的需求而言,物品是稀缺的,这就需要聪明的人类来决定如何利用有限的资源。

  • 此时此刻,我们面临三个主要问题:生产什么?如何生产?为谁生产?
  • 要解决这三个问题,首先应该搞清楚什么是投入和产出。投入,生产商品和劳务过程中所用的商品和劳务。
  • 产出,被生产出来的商品和劳务。很多人都钟爱麦当劳,制作让人馋涎欲滴的麦辣鸡腿汉堡需要鸡腿、盐、食用油、辣椒、铁锅、火炉和拥有娴熟技术的厨师,这些食材和厨师的娴熟劳动就是投入,放在我们嘴里的美味汉堡当然就是产出了。经济学家们给投入赋予了另一个名字,即生产要素。
  • 生产要素一般被分为三种:土地、劳动和资本。
    土地
    土地,是大自然给予我们的礼物,也是我们进行经济活动的基础。而我们却一点一滴地侵蚀着她,这其实是自断生路。经济学中所指的土地不仅包括自然资源,还包括各种能源,如石油、天然气等;矿物质等非能源资源,如铜矿、铁矿等。在今天这个人潮拥挤的世界上,环境资源 —— 清新的空气和饮用水也被纳入到土地当中。
    劳动
    劳动对于我们来说并不陌生,它指的就是人类在生产过程中所付出的时间和精力,因为美味的汉堡是不可能自己从天上掉到餐桌上的,这期间需要厨师的劳动。
    资本
    资本就是为了生产其他物品而被制造出来的耐用品,比如制作汉堡时所用的铁锅和火炉。专业化的资本积累是经济发展过程中必不可少的要素。
    企业家才能
    随着社会的发展,人力资本在生产过程中所发挥的作用不可估量。《天下无贼》中的黎叔说得很对:21 世纪最需要的是什么,人才。虽然萨氏《经济学》教材中没有提到这一点,我们不得不注意到企业家才能这一生产要素,因为它确实发挥着不可估量的作用。比如,现在的大型公司都会雇用具有专业知识的高管对公司的日常经营进行管理。
    ───
    什么是生产要素
    生产要素解决的是生产投入的问题,也是经济活动的起点。一般认为土地、劳动和资本构成了生产要素,但当今社会,企业家才能也被归入其中。

IMG_20241210_125903
5 生产可能性边界
遇难者的选择
生产可能性边界上的点是最大化利用资源的点,既不多,也不少。

生产可能性边界(PPF)
小米非常喜欢探险。有一次,他在山林里迷了路,并且在短时间内无法得到救援,小米只能靠自己的技能和知识进行生产自救。假设小米一天有 8 小时的工作时间,或者用于爬树摘野果,或者用于抓兔子。
小米可以将 8 小时全部用于抓兔子,如下面图表中的 B 点;也可以将 8 小时全部用于摘野果,如图中的 A 点。这是小米的生产可能性边界的两个极点。除了这两点以外,小米还有许多其他的选择:将一部分时间用于摘野果,另一部分时间用于抓兔子,这又会有很多种组合。将这些点都画出来,就得到了一条曲线,这条曲线就是小米的生产可能性边界。
───
生产可能性边界
生产可能性边界是指在既定的技术水平和有限资源的条件下,一个经济体所能得到的最大产量。而在这条边界曲线上的点,则是对不同资源利用的取舍。
生产可能性边界示例

IMG_20241210_130023
国家经济生产的可能性边界

IMG_20241210_130112

一个国家经济生产可能性边界在满足公民私人品消费和公共品(如环保、医疗保健等)
消费之间面临选择。

  • 通过观察,我们发现这是一条向右下方倾斜并凸离原点的曲线。向右下方倾斜表明小米在现有资源条件下要想多抓兔子就得少摘野果,也就是说,野果和兔子之间存在着此消彼长的关系。

  • 当小米拥有很多野果的时候,摘采野果的效率几本上是发挥殆尽了,这时一定量的劳动通过转换,用于多抓一只兔子,只需要放弃较少的野果。但是随着调整的进行,当野果的数量变少时,野果的生产效率反而会回到较高的状态。这是由边际生产力递减规律所决定的,正是这个原因造成了可能性边界凸离原点。

  • 不管怎么转换,只要是沿着生产可能性边界运动,小米的生产就总是有效率的。当小米的生产选择沿着生产可能性边界运动时,他要多抓一只兔子,就必须少摘一些野果。如果小米的选择不在生产可能性边界上,而是处于生产可能性边界的内部,如图中的 C 点。这就说明小米的生产窝了工,他没有利用劳动获得了最多的野果和兔子。如果小米选择可图中的 D 点,当然可以得到更多的兔子和野果,但由于位于生产可能性边界之外,这是小米在现有的资源和技术条件下不可能达到的。

通过上面的这个故事,我们得到,生产可能性边界是指在既定的技术水平和有限的资源条件下,一个经济体所能得到的最大产量,并且,生产可能性边界上的点是最有效率的。

市场与政府的博弈#

1 关于 “看不见的手”
上帝的礼物一只神秘的、看不见的手指挥着市场,使其可以良好地运行着,从而实现最佳的社会福利状态。

看不见的手和完全竞争
一只 “看不见的手”,怎么会有这么大的魔力?可以引导整个市场的这只 “看不见的手” 是经济学家亚当・斯密在《国富论》中提出的一个原理,该原理表达的是这样一个意思:从事经济活动的人是自私的,他总是疯狂地追求自身的利益;但是,在这个过程当中,他被一只 “看不见的手” 引导着,实现了公众的最佳利益。

  • 斯密认为,在 “看不见的手” 指挥下的市场是最好的,没有政府的干预,是完全自由的,经济学家给这类市场冠名为 “完全竞争市场”。也就是说,在完全竞争的市场中,只有这只 “看不见的手” 在冥冥之中指引着人们,而政府不干预任何事情。

市场失灵
很遗憾的是,这只强大的手也有力不能及的地方,使得市场不能够良好地自我运行,经济学家们称之为市场失灵。市场失灵的表现有四种:垄断、外部性、信息不对称和公共物品。
垄断 石油行业和电力行业是典型的垄断,供给者定出很高的价格,如果你不接受这个价格,下场只有一个:汽车别跑、全家断电。
外部性 如果企业在追求利润最大化的道路上给环境带来了污染,这是负的外部性,最大化的利润便不那么有含金量了,人们不能够傻到面带微笑的在臭水沟里数钱吧!
信息不对称 在二手车市场中,次品车会将好车逐出市场,这是个 “柠檬问题”。
公共物品 如马路边上的健身器材,因为它不会给提供者带来太多好处,因而就不会有人愿意供给此类设施,这便出现了公共物品问题。
───
市场失灵
纯粹的市场经济并不能解决所有问题。市场失灵的存在,导致资源的浪费,一些需求得不到有效地满足。垄断、外部性、信息不对称和公共物品,是市场失灵的几种表现。
外部性

IMG_20241210_130533
什么是 “柠檬问题”

“柠檬问题”,又称 “柠檬原理”,该原理认为在次品市场(如二手车市场等)上,由于交易双方对质量信息的获取不对称,买者只愿意根据他所知道的平均质量来决定支付的价格,这导致质量高的卖者退出市场。

IMG_20241210_130648
2 市场均衡
完美均衡
市场中存在着买卖双方,商品以及商品的价格、数量,在人们无数次的交易中,最终市场会达到均衡。萨缪尔森认为,市场均衡代表了不同的买者和卖者之间的一种平衡。

市场
市场均衡是市场运行过程中的一种理想状态。可是,市场到底是怎么一回事?一说到市场,一些人在脑海中会立刻反射出这样一个景象:

  • 人头攒动的某个地方,大家互相拥挤着,叫喊着讨价还价;鱼腥味,烂菜帮子味扑面而来;鸡毛、鸭毛满天飞,热闹非凡。这就是我们最初的市场。
  • 大家聚集到一个地点,面对面地进行商品交易。随着社会的发展和人们的需要,后来出现了很多种类的市场,如小麦和玉米在芝加哥期货交易所的期货市场,我们现代人所钟爱的网络交易等。但是,这些所谓的市场都有一个关键的特征是:将买者和卖者联系到一起,共同决定商品的价格和成交的数量。
    价格在人们交易的过程中是非常重要的。任何东西都有价格,这是买者和卖者愿意进行商品交易的条件。其实,价格对于市场来说,还有另一个重要的角色,那就是信号作用。如果最近盛行去海南旅游了,人们需要飞往海南的机票数量增加,这会催生机票价格的上调;如果海南挂起了台风,人们对其望而却步,航空公司则会降低飞往海南机票的价格。

市场均衡#

我们这些无名的小消费者,最害怕的就是物价撒了欢儿地上涨,这样我们会选择宅在家中,唯恐出门会花掉大把从牙缝儿里挤出来的几毛钱;而生产者却相反,他们希望商品能够价格高些,自己好狠狠地捞上一笔。从这些现象中我们可以看出,较高的价格抑制消费,刺激生产;较低的价格促进消费,抑制生产。这样,价格会不断地进行调整,最终达到某个时刻、某个价格,所有的消费者心甘情愿地以这个价格来购买,而所有的生产者愿意以此价格销售商品。天时,地利,人和俱备,最伟大的时刻到来了,市场达到了均衡。此时的价格称为均衡价格,此价格同时满足了消费者和生产者,既不高,也不低。此时的商品数量称为均衡数量,既不多,也不少,需求和供给达到平衡。
───
市场与市场均衡
市场为买者和卖者提供了交易的平台,市场均衡则代表了不同的买者和卖者之间的一种平衡。
关于市场

IMG_20241210_130847
图为 17 世纪阿姆斯特丹股票交易大厅,它为股票这种特殊的商品提供了交易的平台。
关于市场均衡

IMG_20241210_131008

市场通过供需来影响价格,从而使供给与需求达到一种平衡,即市场均衡。此时的商品数量称为均衡数量。

贸易、货币与资本#

一个也不能少
自亚当・斯密时代以来,市场经济已经有了巨大的发展。发达的经济体均具有三个显著的特征:贸易分工、货币和资本。
贸易、专业化和劳动分工
全能的超人和蝙蝠侠只有在影片中会出现,没有一个人或者国家可以大包大揽地完成所有商品的生产,他们只需要发挥自己的特殊技能和资源优势,集中精力完成一系列特定的任务就可以了。这要求我们的劳动必须专业化。

  • 比如,有两个拥有不同手艺的人,一个擅长做衣服,另一个擅长养猪,那么我们就让其发挥自己的特长,各自生产衣服和猪肉。过新年了,两个人可以交换华丽的衣服和美味的猪肉。对于一个国家也是一样的道理。法国盛产葡萄酒而不是可可,那法国人酿好葡萄酒就行了,可可完全可以从非洲友人那里购买!这种专业化的劳动分工产生了十分给力的生产效率,从而在人们之间和国家之间形成了复杂的贸易网。贸易生财思想是经济学的核心见解之一。

Important

货币:交换的润滑剂
货币,又称为钱,大家都不陌生。它在我们买卖商品的过程中起着媒介的作用,它是一种能够便利交换的润滑剂。如果没有货币这种东西存在,那中国人想买美国的大片进行娱乐可就费劲了。也许,美国卖大片的人就喜欢吃猪肉,那我们也不能抱着一头猪跨过重洋去换一部大片呀!最简单的办法就是,给他钱,想吃野猪还是花猪,任何一种猪的肉都可以在那边自己买到。俗话说得好:“钱不是万能的,没有钱是万万不能的。”
[!IMPORTANT]
资本
在前面我们曾经提到过资本,它是一种被生产出来的耐用品,如公路、房子和炒菜锅等。
资本是有限的,它可以在当前和未来之间进行分配。例如,高储蓄率和高投资率可以帮助我们解释中国内地和亚洲其他国家和地区经济在过去 30 年的快速增长。现在的家长想方设法让自己的宝贝孩子接受最好的教育也是在为未来储备资本。许多经济活动都涉及放弃当前消费从而增加资本,人们每次的当前投入都是在提高我们经济的未来生产率,进而增加我们未来的消费。
贸易分工、货币和资本在经济发展的过程中一个也不能少。
───
发达经济体的三个特征
贸易分工及专业化、货币和资本是一个国家或地区经济得以发达的原因,也成为其经济发达程度的重要特征。

IMG_20241210_131343

为什么需要政府#

效率、公平、宏观经济的增长和稳定

在包罗万象的政府职能中,政府对于市场经济主要存在三种职能:提高效率、增进平等和促进宏观经济的稳定与增长。

我们很多时候会抱怨政府如何不称人心意,但是,有些事情,只有它才能摆平。
效率
在前面我们曾经提到过,市场会出现失灵,垄断、外部性和公共品等,这些都是无效率的。面对这种无效率状态,政府会伸出一只 “看得见的手” 进行调节。

不完全竞争 有些垄断行业会制定离谱的消费价格,如地方性的水供应、通信和电力等,政府为了保证人民的利益,会采取各种管制措施来控制价格。此外,政府还会制定法律来约束垄断行为。

  • 外部性 在生产的过程中,会造成负的外部性,如废气、污水、噪音等,我们不能整天漫步于这样的城市中。
  • 如果是这样,政府部门的电话会被打爆,门槛会被踏平。此时,政府必须发挥其职能,对这些产生负外部性的企业说 “不”。

公共品 公共品是这样一种物品,人们享用该物品的成本为零,并且任何人均可享用。有人会问,哪有这种好事呀?的确存在,比如,国防。个人是无法提供这些只有付出没有收益的物品的,这些物品都是政府大显身手的领域。

公平
我们相信真理,人生来平等。但是,我们也相信,市场并不能带来完全公平的收入分配,这会使得收入水平和消费水平产生巨大的差异。在我们的现实生活中,确实有人光脚,有人开 BMW;有人是蚁族,有人住着过亿豪宅。为了缩小这种差距,政府会重新分配人们的收入。比如,工资高的人,缴纳的个人所得税就越高;向低保户发放生活补贴等。这些都需要政府利用其职能来实施。
宏观的经济增长和稳定
在经济运行的过程中,会出现通货膨胀和萧条的困扰。凯恩斯学派贡献的思想使我们知道如何控制商业周期的剧烈波动。在控制宏观经济方面,政府会有自己的一套武器:财政政策和货币政策。通过这两种基本的经济工具,政府可以影响总支出、产出、失业率和物价水平等。
───
政府的作用
提高效率、增进平等和促进宏观经济的稳定与增长,政府这三方面的职能,是对市场经济的重要补充和调整。

政府的三大职能

IMG_20241210_131601

供给与需求#

1 需求曲线和供给曲线
市场的基本博弈体
在本节中,我们主要了解一下需求曲线、影响需求的各种因素,以及供给曲线、影响供给的各种因素等。

需求曲线
通过常识和观察表明,人们购买某种商品的数量取决于该种商品的价格。即存在这样一种现象,在相同的条件下,某种商品的价格越低,人们购买的数量越多;该种商品的价格越高,人们购买的数量越少。需求曲线就是刻画了这样一种现象。
比如,北京的冬天,蔬菜的种类比较少,大家都爱储藏些大白菜,好在漫长的冬季里沾点绿色。如果菜市场门口写着:明天白菜大减价啦!那些大爷大妈肯定要起个大早,排队买白菜。为什么呢?很简单,因为它便宜。
通过下面图表描绘的图形我们发现,汽车的价格 P 和数量 Q 呈反比关系。经济学们家将这个重要的性质称为 “需求向下倾斜规律”。这个规律的内容为:在其他条件保持不变的前提下,当一种商品的价格上升时,购买者会购买较少数量的商品;反之亦然。
───
需求曲线
需求曲线表明的是商品价格与需求数量之间的关系,它不是固定不变的,有许多因素都会影响此曲线的变化。
价格与需求

IMG_20241210_131837

需求曲线的移动

IMG_20241210_131927

当决定市场需求曲线的因素发生变化时,需求曲线就会发生移动。如图从 DD 平移至 D'D',表明人们对汽车的需求增加(比如因为收入水平的上升或油价的降低)。
───
影响需求的因素
决定市场需求曲线的因素很多,包括平均收入水平、人口因素、相关物品的价格和可获得性、个人偏好和特殊因素。
平均收入水平 比如,有一个人很爱吃猪肉香肠,但是他每天就赚 10 元钱,这样一来,他一个月才肯狠下心来吃一根猪肉香肠。但如果收入提高到每日 100 元钱,那么他每天就可以享受猪肉香肠美味了。
相关物品的价格 替代品(相关物品)就是具有相同功能的物品。比如,对于一个人来说,在冬天吃白菜或者萝卜没有区别,则白菜和萝卜就是替代品。既然没有区别,如果萝卜降价了,人们会增加萝卜的购买数量,减少白菜的需求量;反之亦然。
人口因素 人口大省河南需要的粮食数量是其他省份无法匹敌的。
个人偏好 偏好对于商品的需求也有重要影响。比如,有些民族会食用苍蝇虫子之类的所谓高蛋白食品,而这些东西对于另外的民族来说是让人作呕的。
特殊因素 对于生活在沙漠里的人,对于雨伞的需求是微乎其微的。
供给曲线
供给曲线刻画的是这样一种现象,在其他条件不变时,某种商品的市场价格与生产者愿意生产和销售的数量之间的关系。比如,卖香肠的厂商看自己的香肠能卖到不菲的价格,他们会多生产些香肠。结果,加工厂会没日没夜地生产高价格的香肠。如果香肠的价格一降再降,厂商便会少生产些香肠,供给自然会减少。这就是供给曲线要讲的问题,这些现象使得供给曲线是向右上方倾斜的曲线。
从下面供给曲线表可以看出,单个物品的供给曲线是向上倾斜的。供给曲线向上倾斜的一个重要原因是收益递减规律(这点会在后面详细地说明)。
───
供给曲线
供给曲线描述的是某种商品的市场价格与生产者愿意生产和销售的数量之间的关系,这是条向右上方倾斜的曲线。
供给曲线示例

IMG_20241210_132025

影响供给的因素
IMG_20241210_132121
投入品的价格
作为投入品,生猪市场的波动,会对猪肉香肠的供给产生影响。

特殊因素
对于农产品来讲,气候等特殊因素会对产出及供给形成直接的影响。
───
影响供给的因素
厂商提供商品是为了获得利润,而不是做慈善事业。因此,商品的价格变成了影响供给的重要因素。但是,商品的价格并不是唯一的因素,还有包括其他因素,如技术因素、投入品价格因素、相关物品价格因素、政府政策、特殊因素等。
投入品价格和技术 就拿生产猪肉香肠的厂商来说,如果猪肉价钱很贵,使得厂商的生产成本急剧上升,则厂商便会减少香肠的供给量。如果技术飞速发展,以前一天产 1 吨,现在产 10 吨,厂商会增加香肠的供给,从而获得更多的利润。
相关物品的价格 比如,香肠厂商不仅产猪肉肠,还生产鱼肉肠。如果鱼肉肠的价格上升了,厂商会减少猪肉香肠的供给,多供给些鱼肉香肠,从而获得更多利润。
政策因素 在世界倡导低碳生活的大环境下,电动自行车发展迅速;同时,政府对于其环保无污染的特性大加赞扬,从而会给生产电动车的厂商一些优惠政策,这便会刺激厂商提供更多的电动车而不是提供燃油的摩托车。
特殊因素 如旱灾会使得玉米的供给减少等。
供给与需求的均衡
完美的市场状态
当供给和需求的力量相互作用而产生均衡价格和均衡数量时,我们称之为市场均衡,此时也达到了供给与需求的均衡。

供给曲线与需求曲线的均衡
在上一节中,我们分别了解了需求曲线和供给曲线,现在,将它们放在同一个坐标系中,我们会发现两者有一个交点,这个点就是均衡点。下面,我们用一个例子来说明供给和需求的均衡。
我们讲述一个关于豆沙馅面包的故事。如下图第一个图表所示,供给曲线和需求曲线交于 E 点。此时,在 3 元的价格,企业愿意供给的面包数量与消费者愿意购买的数量相等。这时,供给和需求便达到了均衡。如果豆沙馅面包的价格定为 5 元,供给者愿意出售的面包数量大于人们愿意购买的数量,有些人因为面包价格过高选择了吃馒头,结果出现了图中所显示的 “过剩”。如果豆沙馅面包的价格定为 2 元,那些吃馒头的消费者会蜂拥而至购买面包的,结果出现了图中所显示的 “短缺”。因此,只有在 E 点,即供给曲线和需求曲线的交点,供给和需求才会达到均衡。在均衡点,市场上便不存在短缺或过剩。
───
完美的市场状态
以下图表分别阐述了供求曲线的均衡点及均衡点的移动问题。纵轴 P 代表面包(商品)价格,单位:元/包;横轴 Q 代表每年面包的供给量,单位:百万包/年。SS 代表供给曲线,DD 代表需求曲线。
供求曲线的均衡

IMG_20241210_132253
E 为供求相适的均衡点,3 元/包即是均衡价格,在此之上,会导致生产过剩,在其下则为物资短缺。
供求变动影响均衡

IMG_20241210_132352
由于小麦歉收,面包供给曲线 SS 向左移至 S'S',形成新的均衡点 C',新的均衡价格高于原均衡价格,新的均衡数量少于原均衡数量。
供、需曲线的移动
一般来说,技术的改进、人们收入的变化等因素都会使得供给曲线和需求曲线移动,萨缪尔森将这些情况做了如下的总结:

IMG_20241210_132504
供给或需求的变动对均衡的影响
通过供给和需求的分析,我们得到了均衡价格和均衡数量,这仅仅是冰山一角。这种分析还可以起到预测经济的作用。比如,干旱的气候横扫了今年的小麦,收成惨不忍睹,这使得小麦的价格一路飙升,结果面包由于其原料价格的上涨使得供给曲线向左移动了,如上图第二个图表所示,供给曲线的这一动不要紧,大大地提高了面包的价格,狠狠地降低了面包的供给。价格上升了,有些人买不起豆沙馅面包了,需求的面包数量会减少,最终会重新达到一个均衡,如图中的 C' 点。我们的可以看到,新的均衡价格高于原均衡价格,新的均衡数量少于原均衡数量。这就是农业歉收造成的后果。

风险与博弈论#

1 投机与套利
疯狂的大蒜
经济生活充满了不确定性,商品的价格波动让人心惊胆战,但是有人会因此获得高额利润。

投机和套利
投机是指利用市场的价格波动获得利润;套利是指在一个市场上买入商品,而在另一个市场上以较高的价格卖出商品,从而在差价中获得利润。
投机与不同时间的价格行为
人们一般认为投机是种不好的行为。2010 年,我国市场上大蒜的价格疯狂上涨,正是由于有人囤积不售,这就是一种投机行为。
投机会在不同的时间和空间表现出一定的价格形式。以玉米为例,它一年只收获一次,为了避免缺货,玉米需要保持一年的储量。投机者赚取利润的活动可以使得玉米形成有效的定价,并且使其产量维持一整年。
如果在玉米饱和的秋季将玉米抛向市场,售价会很低,无利可图。然而,投机商是通过:(1)在秋季以低价买进玉米;(2)将其储藏起来;(3)当价格上扬时把玉米卖掉。他们的一系列行为将秋季的玉米价格提高了,春季的玉米供给量增加了,这却是投机者给市场带来的益处:将各种商品从数量丰富的时期 “运送” 至稀缺的时期。
通过套期保值分摊风险
套期保值是通过对所拥有的一种商品做对冲交易来降低风险。如果投资者不想承担价格风险,他就可以通过套期保值来实现。也就是说,当他买进玉米时,立即卖出,而不是等到 6 个月以后再出卖。也就是进行远期交易,并且通过协议将玉米的价格定在使他获得适当利益的水平,这就可以避免玉米价格波动对他的造成损失。套期保值分摊了一些人的风险,但是最终会有人为这些风险埋单的。
───
套利的两种模式
套利、投机的前提在于有利差,而此利差的一部分足以弥补套利成本。而造成这种利差的原因有空间因素,也有时间因素。
空间
古时利用驼队贩运,穿越茫茫大漠,向外地出卖本地的稀缺商品。

  • 国际分工与贸易,使得商品在世界范围内的稀缺程度有差异。
    时间

  • 在商品供给旺季,也是价格低廉时,大规模地收购商品。

  • 到商品供给淡季,也是价格高扬之时,卖出商品,完成套利

    投机的经济影响
    提高经济效率的偏方
    投机倒把,在过去大多数人的眼里是贬义词。但是,萨缪尔森等经济学家认为,理想的投机可以提高总体效用和分配的效率。

投机的影响
在前面,我们曾经提到过,投机者为了规避风险,会将购买的玉米进行远期交易。但是,谁会来购买呢?这正是投机者和投机市场大显身手的机会:投机商同意现在购买谷物以便将来出售。也许会有人费解,他是不是傻呀?其实不然。也许投机商认为谷物的价格在未来会上涨,他能在本次的投资中获得超常利润;也许他会再向别人出售远期合同;还有可能他将谷物卖给那些将谷物作为投资组合一部分的投资者。总之,会有某个人在某个地方,有经济动力去承担谷物价格波动的风险。
投机市场不仅从时间和空间上改善了价格及配置的形式,还有助于风险的转移。这些任务都是由那些想从价格变动中获利的投机商完成的。而且,我们有理由认为,理想的投机市场可以提高经济效率。
比如说,某一群偏好相同的消费者的效用计划在每年都是相互独立的。我们假设,消费者在两年当中的一年取得了好收成,比如,每人得到 3 个单位的粮食;而在第二年,由于收获量少了,每人只得到 1 个单位的粮食。如果有位高人可以预见这种短缺,那么应该如何分配两年总共 4 个单位的粮食呢?假如不考虑储蓄、利息和保险成本,那么只有当每年的消费量相等时,两年的总效用才会达到最大。我们用图形来说明这个道理(如下面图表)。
───
投机的经济效益
投机在我国长期来讲,是一个更近于贬义的词汇;而事实上理想的投机是有助于提高总体效用和分配效率的。

IMG_20241210_133052
投机的经济效益示例
图表 AI (转移前)

IMG_20241210_133208

图表 AII (转移后)

IMG_20241210_133248

───
我们用每一元来表示同一数量的边际效用,则风险商品的需求曲线为图中的 DD 曲线。图表 AI 中的两条曲线表明,如果没有供给量的发生,第一年的均衡点为 B1 ,而第二年的均衡点为 B2 。我们将阴影部分相加,得到的总效用为(4+3+2)+4=13 元。如果投机商将一单位的最优量转移到第二年,如图表 AII 所示,两年的均衡点为 E1 、E2 。此时得到的总效用为(4+3)+(4+3)=14 元。至此,我们可以看出,两年相等的消费量达到了最大效用。原因就在于相同的消费品在不同消费时段的效用不同。
理想的投机对于减少消费量的变化有着重要的作用。而且,在每个人都表现出边际效用递减的情况下,投机可以提高总体效用和分配的效率。
博弈论是什么
男生该向女孩表白吗?
艾维纳什・迪克西和巴里・纳勒巴夫曾经说过,战略性思维就是在了解对手在做与你相同的事时战胜对手的一门艺术。

什么是博弈论?
首先,我们讲一个大家熟知的故事 —— 田忌赛马。齐国的大将田忌和齐威王约定,要进行一场赛马。他们商量好,把各自的马分成上、中、下三等。比赛的时候,上马对上马,中马对中马,下马对下马。由于齐威王每个等级的马都比田忌的马强得多,所以赛了几次,田忌都失败了。他正准备离开,这时,田忌的好朋友孙膑告诉他,他有办法取得比赛的胜利,并且不用换一匹马。田忌在孙膑的陪同下要求齐威王再进行一场比赛,齐威王正沉浸在胜利的喜悦中,欣然接受了。一声锣响,比赛又开始了。
孙膑先以下等马对齐威王的上等马,第一局输了。齐威王站起来说:“想不到赫赫有名的孙膑先生竟然想出这样拙劣的对策。” 孙膑不去理他。接着进行第二场比赛。孙膑拿上等马对齐威王的中等马,获胜了一局。齐威王有点心慌意乱了。第三局比赛,孙膑拿中等马对齐威王的下等马,又战胜了一局。这下,齐威王目瞪口呆了。比赛的结果是三局两胜,当然是田忌赢了齐威王。还是同样的马匹,由于调换一下比赛的出场顺序,就得到了转败为胜的结果。
还有一个故事,在《美丽心灵》的影片中有这样一幕。酒吧里,几个男孩正商量着怎样去向一位美女表白,旁边的纳什却在喃喃自语:“如果你们全去追求那个漂亮女生,那她肯定会摆足架子,谁也不会接受。之后再去追其他的女孩子,别人也不会理睬,因为没人愿意当‘劣等品’。如果你们先去追其他的女孩子,那么漂亮女生就会感到孤独,这时再去跟她搭讪就容易得多了。”
上面的两个故事都涉及了博弈论。博弈论分析的就是两个或者两个以上的比赛者或参与者能够共同影响每一参加者的行动或战略的方式。这在经济活动中具有重要的意义。比如,两个打价格战的电影院,它们都会在对手做出降价举动之后采取应对措施,从而使自己的利益最大化。
你注意到了吗?我们在小摊上买东西时的砍价过程也是一种博弈。
───
什么是博弈论
博弈论分析的就是两个或者两个以上的比赛者或参与者能够共同影响每一参加者的行动或战略的方式。博弈在我们的日常生活中是很常见的行为。
赛马博弈

生活中的博弈

砍价
买卖双方要根据对方的出价猜测对方的心理价位,可视为一种博弈过程。

追求美女
追求美女能否成功,要取决于自己对自身、美女条件的判断和美女对自身条件及对追求者条件的衡量。
占优策略
个个都是聪明人
博弈论的指导思想是:假设你的对手在研究你的策略并追求自己最大利益时,你如何选择最有效的策略。

占优策略
占优策略是最简单的一种战略选择,即无论其他博弈者采用何种战略,该博弈者的战略总是最好的。
我们用一个简单的支付矩阵来说明占优策略。如下面 “合作还是不合作” 图表:
───
占优策略
占优策略是最简单的一种战略选择,即无论其他博弈者采用何种战略,该博弈者的战略总是最好的。可是双方都运用占优策略的话,效用就会达到最大吗?
合作还是不合作

IMG_20241210_133525

囚徒困境

IMG_20241210_133606

───
我们称该表格为参与者的支付矩阵,它包括了博弈的三个基本要素:参与者、策略和支付。假定甲、乙两个企业是某地区的电影院,每家电影院都有两个可选择的战略,即合作与不合作。在图中,每一个格子表示对应于甲、乙的一个策略组合的支付组合,格子里的第一个数字表示甲的报酬,第二个数字表示乙的报酬。
下面我们开始分析两家电影院的策略选择。首先分析参与者甲。我们可以从支付矩阵中看到,当乙选择合作策略时,甲会选择不合作策略,因为如果甲选择了合作策略,他得到的报酬只有 10;而如果甲选择不合作策略,他可以得到的报酬是 12。如果乙选择的策略是不合作,则甲也会选择不合作,因为如果他选择合作,得到的报酬是 6,选择不合作得到的报酬是 8。于是,无论乙怎样选择,甲都会选择不合作策略,则不合作策略就是甲的占优策略。类似的分析对于乙也是适用的。因为,无论甲选择合作策略还是不合作策略,乙都会选择不合作策略,所以,不合作策略也是乙的占优策略。
由此,我们可以看出,如果某一个参与者具有占优策略,那么,无论其他参与者选择什么策略,该参与者确定自己所选择的策略就是最优的。
博弈均衡就是指博弈中的参与者都不想改变自己的策略的这样一种相对静止的状态。在上面的例子中,(不合作,不合作)这个策略组合就是甲、乙这两个参与者的占优策略均衡。

纳什均衡
美丽心灵
还记得 2001 年轰动全世界的那部影片《美丽心灵》吗?这部影片讲的就是著名经济学家、数学家小约翰・福布斯・纳什的传奇故事。

纳什简介
纳什于 1928 年 6 月 13 日出生于西弗吉尼亚布卢菲尔德。同所有的天才儿童一样,儿时的纳什是一个性格孤僻、成天着迷于做各种实验的孩子。大学时代,纳什就读于卡内基理工学院,那时,就有一位教授将纳什称为 “高斯第二”,以此来形容这个学生的数学才能。在此期间,纳什选修了一门国际经济学课程,正是这门课引发了纳什对经济学命题的兴趣,并写下了《讨价还价问题》一文,这篇文章被发表在大名鼎鼎的《计量经济学》杂志上。
后来,他在普林斯顿大学攻读博士学位。纳什被认为是一位数学天才,他在 21 岁时就提出了纳什均衡理论,后来成为博弈论的两大基础之一。他的名字早已被写进数学和经济学的教科书,但 30 岁后,他不幸出现了精神分裂,从学术界消失。在他的妻子艾丽西亚的照料下,纳什 30 年后又逐渐恢复了健康,并于 1994 年获得了诺贝尔经济学奖。
纳什均衡
随机应变,是我们所推崇的战略战术。我们知道,在下棋时,每个人都会有自己的最佳策略。这种策略是建立在对手策略的基础之上的。纳什发现,在很多情况下,存在这么一种情况,这时每个博弈参与者都确信,在了解了其他人的策略后,他所选择的策略对自己是最优的。由于参与博弈的各方都是理性的,最后他们都会陷入一种僵局:只要别人不去选择其他策略,他们每个人都没有兴趣去改变自己的策略。因为,此时如果他们改变策略,他们所得的结果会更差。因此,博弈论存在这样一条基本准则:即把自己的战略建立在假定对手会按其最佳利益行动的基础上。
有这样一个故事:
一位农户在杀鸡前一天晚上喂鸡,不经意地说:“快吃吧,这是你的最后一顿!”
第二日,见鸡已躺倒并留遗书:爷已吃老鼠药,你们别想吃爷了,爷也不是好惹的。显然,对于鸡来说,服毒自杀是在它知道自己要被农户吃掉的最优策略。
总之,纳什均衡就是指在其他博弈者的战略给定时,没有一方还能改善自己的获利状况。
───
纳什均衡
1950 年,约翰・纳什获得美国普林斯顿高等研究院的博士学位,他那篇仅仅 27 页的博士论文中有一个重要发现,这就是后来被称为 “纳什均衡” 的博弈理论,即非合作博弈论。

IMG_20241210_133723
1 生产要素的需求和供给
消费者也是生产要素
生产要素的价格是由不同的需求和供给之间的相互作用决定的,要素价格理论在经济学中又被称为 “分配” 理论。

要素需求的性质
●派生需求:消费者为了直接满足自身的吃、穿、住、行等需要而购买商品,这是 “直接需求”。然而,企业对于生产要素的需求不是为了自己使用,而是用这些生产要素进行生产,以获得利润。这样的需求不再是直接需求,而是间接需求。企业对于生产要素的需求是从消费者对产品的需求中派生出来的,因此称之为 “派生需求”。
●要素需求相互依赖:有一句话说得好:“巧妇难为无米之炊。” 只有能干的妇女而没有大米是做不成一顿饭的。我们说,某种要素的单独投入是无法创造产出的,产出是由不同要素的相互作用所致。
边际收益产品
在分配理论中,有一个核心的概念:边际收益产品(MRP)。萨缪尔森等经济学家将边际收益产品定义为:增加一单位投入所能增加产出的货币价值。用公式表示如下:
MRP=MR×MP(MR:边际收益;MP:边际产品)
在完全竞争市场中,MR=P(价格),所以上式可以写成:MRP=P×MP。
生产要素的需求
企业为了获得最大化利润,该如何选择其最优的投入组合呢?
假设你是一个农场主,可以在当地每年花费 20,000 美元雇用所需要的农场工人。为了获得最大化的利润,你会控制一个恰当的农场工人数量。一个工人时,你的边际收益产品是 60,000 美元,由于工人的边际成本是 20,000,此时的利润是 40,000;第二个工人带来的边际收益产品是 30,000 美元,带来的利润为 10,000;雇佣第三个工人的边际收益产品是 15,000,而他的成本是 20,000 美元,因此,第三个工人已经无利可图。
因此,我们可以得到生产要素最优组合为:当要素的边际产品收益等于投入的边际成本时,企业利润达到最大化。
───
生产要素的需求
与普通商品不同,生产要素商品具有其独特的性质,而当要素的边际产品收益等于投入的边际成本时,生产要素得到最优组合。

IMG_20241210_133916

生产要素最优组合

IMG_20241210_134002

由于边际效益递减效应,只有当要素的边际产品收益等于投入的边际成本时,企业利润达到最大化,也才形成生产要素最优的组合。
───
要素需求曲线
为了达到利润最大化,企业会使其要素的边际产品收益等于边际成本,也就是要素的价格。当要素价格变化时,企业需要的要素数量也会发生变化,将这些不同的价格和数量描绘下来就是生产要素的需求曲线。
生产要素的供给
劳动的供给是由许多经济和非经济的因素决定的,重要的决定因素有劳动的价格(工资率)和人口特征,如年龄、性别、教育和家庭结构。比如,雇用童工是违法的,雇用 80 岁的老人是不现实的。
土地和其他自然资源的数量是由地理状况决定的,虽然土地数量也会受到水土保持、开垦方式和改良措施等因素的影响,但是土地的数量不可能有大的改变,我们排除那些大规模灾难的意外。
资本的供给依赖于历史,也就是企业、家庭和政府过去的投资。短期内的资本存量是固定的,中彩票的个例我们排除在外;长期的资本供给对于风险和回报率这样的经济因素非常敏感。
投入要素的供给弹性是怎样的呢?相对于需求来说,供给曲线的形状可谓丰富多彩,向上倾斜或垂直,甚至斜率可以为负。对于大多数要素而言,在长期内供给和要素价格之间是一种正相关关系,也就是供给曲线向右上方倾斜。对于土地而言,它的供给是不受价格影响的,其供给曲线是垂直的,完全没有弹性。还有一种特殊的要素,它们的供给数量会随着价格的上升而下降,劳动就是其中一种。这一点我们会在后面详细说明的。
供给和需求决定要素价格
我们将每个厂商的单个需求加总就可以得到整个市场的需求。那么,我们怎么找到整个市场的均衡呢?如下面下方图表所示。
───
生产要素的供给
各种生产要素的供给要受到各个方面的影响,其供给弹性正是赖于此。
生产要素的供给弹性

IMG_20241210_134057

IMG_20241210_134126

整体市场的均衡

IMG_20241210_134216

───
一种要素的派生需求曲线与供给曲线在 E 点相交,只有在这种价格时,要素所有者愿意供给的数量与买方愿意购买的数量达到平衡。
对劳动的需求
从石器时代走到今天
劳动不是抽象的生产要素,劳动市场更是利益争端、社会冲突和政治骚动的源泉。

对劳动的需求
当今的世界,为什么比尔・盖茨可以住进价值上亿美元的豪宅而有些人只能蜗居?为什么明星可以挎着几十万元的皮包逛街而有些却破衣烂衫地在街上打扫卫生?人们的收入差距怎么会如此之大?这要涉及边际生产率的问题。
在给定时间和给定技术状态下,在劳动的投入和产出之间有一种联系。根据收益递减规律,每单位追加的劳动投入所带来的产出越来越少。那么,边际产品的背后又是什么呢?或者说影响工人工资的真正因素是什么呢?萨缪尔森认为,生产技术和工人所接受的教育和培训水平是影响收入的最重要因素。
技术进步 美国和其他发达国家的工资水平高是因为这些国家积累了大量资本,比如密集的公路、铁路和通信网、大量的工厂、人均设备很多、配件存货充足,给劳动者带来了很好的资本品,使得工资水平有了很大提高。但是,最重要的是人类生产技术的进步。人类从石器时代走来,一路经历了蒸汽时代、电力时代,到今天的信息时代,技术的巨大进步大大地提高了边际生产率。
教育和培训 知识可以改变命运,这并不是一句空谈。据统计,1997 年美国的劳动力比 1897 年要强得多。能设计精密仪器的工程师、能成功做脑部手术的医生等,都需要多年的教育和培训。总体来说,完成大学教育的成人比例有了很大提高,这种人力资源的积累对劳动生产率的提高有极大的推动作用。
国际的比较
不比不知道,一比吓一跳!美国的工资福利是墨西哥的 10 倍还多。为什么两个国家领土相邻,工资水平的差距却如此之大呢?根本原因是,墨西哥的劳动边际生产率比美国低得多。因为与美国相比,像墨西哥这样的国家可以使用的资本比较少:很多道路没有修整,很少使用计算机,尤其是教育水平与美国相差甚远,所有这些原因导致了边际生产率的低下。
正是因为认识到了技术和教育的重要性,我国提出了科技兴国、教育兴国的发展之路。
───
边际生产率的差异
边际生产率的差异,决定了工资收入的高下。而技术进步、教育和培训成为这种差异的主要成因,甚至还是一个国家是先进还是落后的根源。
边际生产率的差异

IMG_20241210_134351

边际产品的背后

IMG_20241210_134459
3 劳动的供给
物极必反
人们愿意将有限的生命全部投入到高薪酬的工作当中吗?YES or NO?

供给的决定因素
劳动的供给是指在可以得到报酬的情况下人们愿意工作的小时数。影响劳动供给的三个主要因素有:工作时间、劳动力参与程度和移民。
工作时间 首先,我们来看一下白领小杨的劳动供给。小杨是一家外企职员,他刚参加工作时的工资较低。这时,公司一旦有加班的机会,他就主动申请,因为加班可以获得更高的工资,小杨的工作时间随着工资的增长而延长。但是,这种情况并没有一直持续下去,当公司给小杨开出更高工资的时候,小杨却拒绝了延长工作时间。此时,再高的工资也无法吸引小杨提供更多的劳动时间了。这是由劳动替代效用和收入效用的相互作用导致的。
我们将工资看做劳动的相反面闲暇的价格。如果工资上升,闲暇的价格会上升,人们会选择工作来替代休息,所以劳动的供给增加。但是,此时由于收入效应的影响,工资上升说明你的收入增多,那你会购买衣服,还想拥有更多的闲暇去休息、陪伴家人等。当人们的收入水平较低时,替代效应大于收入效应,劳动的供给曲线向右上方倾斜;当收入高到某一点时,收入效应大于替代效应,劳动的供给曲线出现了向后弯现象,如下面图表所示。
───
劳动的供给
劳动的供给是指在可以得到报酬的情况下人们愿意工作的小时数。影响劳动供给的三个主要因素有:工作时间、劳动力参与程度和移民。
工作时间

IMG_20241210_134625

如图所示,在 C 点以上,越高的工资反而会使劳动供给减少,此时工人负担得起更多的闲暇,收入效应超过了替代效应。
劳动力参与

随着社会的发展,妇女开始大量加入到劳动大军中。图为在军工厂工作的俊美的女工。
移民

移民是美国最有争议性的问题之一,对于产出高达 300 亿美元的美国农业来说,这些非法移民提供的廉价劳动力至关重要。
───
劳动力参与 随着社会的发展,妇女不只是待在家里哄孩子、做饭,而是开始大量加入到劳动大军中。美国妇女的参与率由 1950 年的 34%跃升到现在的 60%。一方面,这是由于工资对于妇女的吸引力,更重要的是变化中的社会对于妇女作为母亲、家庭主妇和劳工等角色的态度变化。
移民 移民是美国最有争议性的问题之一。有人认为,移民挽救了美国经济;但是也有人说,移民给美国社会和经济带来了灾难。那么,移民究竟对美国经济产生了什么样的影响呢?据统计,美国的 200 万名农场工人当中,至少有一半是非法移民。对于产出高达 300 亿美元的美国农业来说,这些非法移民提供的廉价劳动力至关重要。但是,近年的移民与早年移民相比,工作熟练程度和教育程度要低很多。
劳动的供给不是单一方面的原因造成的,而是受到了各种因素的影响。

土地租金#

疯狂的地王
威尔・罗杰斯曾经说过这样一句话:“土地是一宗好投资,因为人们不可能再将它多创造那么一丁点。”

2009 年 7 月,长沙一块土地以 92 亿元的价格成交,创下了中国土地公开出让市场上单宗土地的最高价;2010 年 3 月 15 日,中信地产以 52.4 亿元的总价竞得大兴区亦庄住宅及商业项目,创下北京拍地最高总价。
为何 “地王” 频频出现,创造出寸土寸金的童话?这得从土地的租金谈起。
固定要素的租金
土地有一个基本特征是,数量固定,对价格毫无弹性。如果你想在土地上经营公司,就必须租用土地。为了在一定时期内使用土地而支付的价格称为土地租金,也称为纯经济租金。租金的概念不仅使用于土地,还使用于各种供给固定的要素。例如,达・芬奇的肖像画《蒙娜・丽莎》独一无二,如果你想在展览会上展览它,你就得支付租金。
既然土地的供给是固定的,那么它的供给曲线是完全没有弹性的,即供给曲线就是垂直的。如下面下表所示,土地的需求曲线与供给曲线相交于 E 点,也就是在 E 点达到了均衡。
───
固定要素的供给
土地有一个基本特征是,数量固定,对价格毫无弹性。不仅是土地,所有固定要素都具有相同的特征。
租金

土地
为了在一定时期内使用土地而支付的价格称为土地租金,也称为纯经济租金。

IMG_20241210_153119

其他固定要素
租金的概念还使用于各种供给固定的要素。如果想在展览会上展览《蒙娜・丽莎》,你就得支付租金。
租金与土地的需求及供给
土地的供给缺乏弹性,它的价值是由其上的产品价值派生而来的。
───
如果租金高于均衡价格,会造成供给大于需求,土地所有者就会降低租金,以均衡价格将土地出租,从而获得最大利润。如果土地租金低于均衡价格,土地就会出现供小于求,企业争相租用的行为会导致土地价格重新回到均衡价格。
土地的供给缺乏弹性,无论其价格达到什么样的水平,土地都会一如既往地为人类所用。因此,它的价值是由其上的产品价值派生而来的。我们刚刚提到的地王现象就与此相关。

对土地征税#

土地供给数量不变,供给曲线完全没有弹性,如果对土地租金征税,那么土地所有者会承担全部税收,而土地的租用者却不用承担分毫。
对租金征税不会造成经济扭曲或导致非效率,因为价格没有改变,需求者不会受到影响。供给者虽然承担了全部税收,但是并不会减少土地的供给数量。所以,征税后的土地会同征税前一样运行 —— 土地税没有带来扭曲或非效率。

6 什么是资本品#

吃不完的蛋糕
有位无名氏曾经说过:“如果你把自己蛋糕出租收取利息,那么它会是个永远吃不完的蛋糕。”

1900 年,潜水员在希腊海底发现了一艘沉没的古代货船残骸,里面有大量珠宝和古代器具。然而他并不知道,真正有价值的是一个看起来毫不起眼的青铜机械装置。经过 100 多年的研究,科学家终于揭开了这个复杂机械装置中隐藏的秘密 —— 它不仅能做加减乘除等数学运算,还能精确地跟踪太阳、月亮以及其他行星的运行轨迹,是一台有 2100 年历史的超级 “天文计算机”!这台机器就是资本品之一。
资本品
资本品就是那些生产出来的耐用品,它们在进一步生产中作为生产性投入。资本品主要有三类:建筑(如工厂、住宅等)、设备(如汽车、计算机等)和产出的存货(如经销商推销过程中的汽车等)。
资本品的拥有者可以将其一次性卖出获得利润,或者将其出租获得租费。比如,我们常见的房东就是将他的房子出租获得收入的。
资本品的收益率
任何经济学中的企业或家庭的最重要的任务之一就是将其资本在各种可能的投入之间进行分配。
为了做出最佳投资决策,我们需要一种衡量资本报酬的标准。其中一个重要的标准就是资本收益率。它指的是每一单位货币资本投入一年能获得的净收益。经常坐地铁的人会注意到这样的广告,汽车出租。如果这家汽车出租公司以 150,000 元的价格购买一辆奔腾 B70,该公司这辆车的每年净租费是 1,500 元,则该辆车的收益率是每年 1%。如果你想权衡不同资本品的收益,可以比较它们的收益率。
金融资产和利率
那么,企业购买资本品的金融资金从哪里来呢?这就是我们平时经常做的一件事:存钱。当我们储蓄时,我们期望得到报酬,也就是利息。假如 1998 年的年利率是 5%,如果你 1998 年 1 月 1 日存入 1,000 元,在 1999 年 1 月 1 日你将得到 1,050 元,多出的 50 元就是利息,也就是金融资产的收益。
───
资本品
资本品就是那些生产出来的耐用品,它们在进一步生产中作为生产性投入。资本品主要有三类:建筑、设备和产出的存货。

IMG_20241210_153404

───

资产的现值#

苹果树到底值多少?
资本品是指能在一定时期内产生一种租金流或收入流的耐用资产。就像果园的主人每个季节都会从树上采摘果实一样。

有一位智者,他觉得自己年事已高,想把自己拥有的一棵极好的苹果树卖掉,于是就发布广告寻找买者。
第一个拜访者看到果树的木材还不错,想一次性付给智者 50 元人民币,智者摇了摇头。第二个拜访者是一个刚从商学院毕业的年轻人,他说:“我计算过了,您的果树至少还可以卖 15 年的苹果,如果每年卖 100 元,那么一共是 1500 元。因此,我愿意出 1500 元买下这棵果树。” 智者笑了笑说道:“年轻人,100 元在每年的价值是不同的,你这样做就亏得太厉害了。” 第三个拜访者是一位资深的股票经纪人。她提出,“您的果树至少可以再生产苹果 15 年,前 5 年每年可以获得 50 元现金利润,后 10 年每年可以获得 40 元现金利润,在第 15 年末,这棵果树可以当柴卖掉 20 元,由于时间价值的存在,按照折现率 15%来计算,我们将其折算到现在大概是 267 元,我就给你 270 元买下这棵果树吧!” 智者笑了笑,说:“好,就按这个价格成交。我从未说我要买到最高价,我等的是一个合理的价格。” 这位女士采用的方法正是考虑了资产的现值。
资产的现值
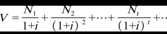
资产的现值就是指资本品在一个时期收入流现在的货币价值。计算方法如下:在当前的利息下,计算出需要多少货币才能产生该项资产的未来收入流。在上面的故事中,267 元就是这棵果树的现值。再比如,一个人想在 999 年后留给继承人 1000 亿元,根据现值的一般规则,现在这个人只需要支付 0.0000000000000052 元。
现值的一般公式如下:

IMG_20241210_153628

其中,i 为某期市场利率;Nt 为第 t 期的净收入。
实现现值最大化
一项资产的未来收入通常取决于经营决策。计算各种可能的决策所能带来的现值,按照使现值最大化的方案进行权衡。用这种方法,无论你在何时以何种方式花钱,你都会有更多的财富供自己消费。
───
资产的现值
资本品是指能在一定时期内产生一种租金流或收入流的耐用资产。就像果园的主人每个季节都会从树上采摘果实一样。对其现值的估算要充分考虑到利率的作用。

只有对现值进行准确估算,才能避免 “鸡生蛋,蛋生鸡” 此类对资本品价值的无限夸大的荒谬。

IMG_20241210_153726

古典资本理论#

需要占卜的投资
古典资本理论是由奥地利的巴维克、瑞典的维克赛尔和美国的费雪各自独立提出来的。

古典资本理论主要包括以下几个方面的内容:
迂回性

  • 砍柴要先制造斧子,因为用斧子可以比徒手获得更多的木柴。投资可以导致间接的或者迂回的生产。也就是说,我们可以牺牲现在的消费,将资本积累起来,使其在将来获得更多的消费。比如,有两个完全相同的小岛,每个小岛的劳动力和自然资源都相同。A 岛上的居民使用初级生产要素生产生活必需品,从来不使用它所生产出来的资本品。而 B 岛有个智者告诉大家,生活应该先苦后甜。于是,B 岛上的人们就比较节俭,他们牺牲了当前的消费,用余下来的资源生产出了资本品,如斧子、铁锹和织布机等农用工具。从长远的角度来看,B 岛拥有的未来消费多于 A 岛。由此可以看出,通过牺牲当前消费并将其用于资本品的生产,人们可以享有更多的未来消费。
    收益递减和资本需求
    如果一个社会将其资本大量地积累,收益递减规律将发挥作用。如果土地有限,积累了过多的农作物工具也是没有意义的,因为随着农作工具的增多,其最后一个工具所能获得收益是下降的,从而投资的收益率也是下降的。但是,在过去的很多年里,我们的资本存量增长了无数倍,为什么收益率没有大幅下降呢?这是技术革新的力量。创新和技术变革带来的新的赢利机会增长得十分迅速,从而抵消了资本收益递减的作用,如机械化的采棉机、收割机和播种机等。
    利率的决定和资本收益
    古典的资本理论可以很好的解释利息率是如何决定的。企业为了获得更多的利润,会扩大资本品、劳动、土地和其他资本的投入;而家庭通过牺牲消费和积累储蓄为投资提供资金。为了决定是否投资,以利润最大化为目标的企业总会比较投资的成本和收益。此处所指的投资成本是企业所借的债务,包括本金和利息。如果投资收益率高于所借资金的市场利率,企业就会进行投资;如果利息率高于收益率,企业就会放弃投资。
    ───
    古典资本理论
    古典资本理论是由奥地利的巴维克、瑞典的维克赛尔和美国的费雪各自独立提出来的。古典资本理论主要包括迂回性、收益递减和资本需求、利率的决定和资本收益等几个方面的内容。
    古典资本理论名家

IMG_20241210_153952

克纳特・维克塞尔
瑞典学派的创始人,1898 年出版《利息与价格》,提出累积过程理论与分配制度改革论。

IMG_20241210_154033

庞・巴维克
奥地利经济学家,主要著作有《资本与利息》,提出与马克思主义价值论相对立的 “时差利息说”。

IMG_20241210_154207

欧文・费雪
美国经济学家、数学家,经济计量学的先驱者之一,代表作《利息理论》。
古典资本理论

IMG_20241210_154253

───
在竞争的条件下,只有当利率等于投资收益率时,市场才会达到均衡。因为,如果投资收益率高于市场利率,企业之间对资金的需求竞争会使利率上升;反之亦然。
古典资本理论的应用
我们已经对古典利息和资本有了一定的认识,但是古典资本理论需要加入一些限制条件才能很好地解释现实经济生活中的重要特征。
税收和通货膨胀 每个企业在进行项目投资时,主要关心的是通货膨胀率和税后回报。如果经济社会中存在通货膨胀,企业在计算实际利率时就要考虑通胀的因素。因为,只有在剔除货币价值变动的效应之后,才能得到实际的收益率。同理,企业的一部分收入会以税收的形式转移给政府,用来支持公共物品和其他政府项目的建设。因此,投资者关注的是投资的税后回报率,而不是税前回报。
技术革新 技术的改变会使问题变的相对复杂。从历史的角度来看,发明和创新在提高了资本收益的同时也改变了均衡的利率。因为技术革命会抵消收益递减带来的损失。经济学家熊彼特曾经将投资过程与小提琴的拨弦相比。他认为,在没有技术变革的经济世界里,资本积累会降低资本收益,就像琴弦会逐渐停止振动一样。但在经济进入稳定状态之前,外部事件或者发明的出现将会拨动琴弦,使企业的投资活动重新活跃起来。
不确定性和预期 投资本身是存在风险的。在现实的经济活动中,投资者并不像巫师那样拥有可以占卜未来的水晶球,所有的投资收益都是建立在预期的基础之上的。因此,企业必须猜测投资项目的收益和成本。但是,总会存在一些天灾人祸是我们无法预料的。比如,战争爆发,设备提前报废,雷曼兄弟宣布破产,一场冰雹毁了所有的收成,等等。项目投资都会有不同程度的风险。
一般情况下,投资者都不愿意持有风险资产。为了引导投资者进行具有高风险的投资项目,就需要对其所承担的风险进行补偿,有必要让他们获得额外收益,也就是风险溢价。这是他们所能获得的确定收入与风险收入之间的差额。
综上所述,古典资本理论的主要限制包括:技术变迁改变资本生产率、投资者需要同时考虑税收和通货膨胀的影响、不完善的预测导致未来收益的高度不确定性。
───
古典资本理论的应用
只有当古典资本理论加入一些限制条件以后,才能很好地解释现实经济生活中的重要特征。
限制条件

税收和通货膨胀
企业只有在剔除货币价值变动的效应之后,才能得到实际的收益率。同样地,企业的一部分收入会以税收的形式转移给政府。图为 “一战” 后德国严重的通货膨胀。

技术革新
发明和创新在提高了资本收益的同时也改变了均衡的利率,因为技术革命会抵消收益递减带来的损失。通过革新,图中意大利菲亚特 500A 型小汽车成为真正大众化的产品。

不确定性和预期
为了引导投资者进行具有高风险的投资项目,就需要对其所承担的风险进行补偿,有必要让他们获得额外收益,也就是风险溢价。为股票市场崩溃后的华尔街。

一般均衡论
经济学家的乌托邦
一般均衡理论是由瓦尔拉斯提出的。他认为,整个经济体系处于均衡状态时,所有消费品和生产要素的价格将有一个确定的均衡值,它们的产出和供给也将有一个确定的均衡量。

一般均衡中所有市场的相互作用
以前我们曾经讨论过单个市场中商品的价格和数量、需求曲线、供给曲线、企业利润最大化生产原则和各种要素的价格和数量的决定。但是,这些都只涉及了部分市场,也就是在完全经济下的局部市场。我们即将讨论的对象是全部市场的一般均衡。
1979 年,伊朗政府的一项决定使得石油价格暴涨,严重影响了汽车的需求数量,从而造成了不计其数的钢铁工人下岗。1990 年,德国的统一导致了高利率的出现,引起了欧洲其他地区的经济滞胀,并导致了通货危机和欧洲货币体系的解体。这些不计其数的经济冲击都是各国经济中市场的相互作用。那么,这种现象的发生有顺序可言吗?谁先发生?谁后发生?显然,不存在这样的顺序,这些市场的相互作用是同时发生的,是相互依赖的,如下面图表所示。
───
全部市场的一般均衡
各种不同市场的相互作用是同时发生、相互依赖的,我们要探讨的正是全部市场如何取得了均衡的。

IMG_20241210_154448

此图给出了一般均衡的结构。外部的循环流转显示的是所有商品和要素的需求和供给。需求和供给的均衡决定了商品和要素的价格和数量。从图中可以看出,家庭通过要素供给获得收入,并用这些收入从企业那里购买商品;而企业用出售商品获得的收入购买要素,并将要素用于商品的生产。在这个过程中,家庭满足了效用最大化,而企业实现了利润最大化。

一般均衡的性质
一般均衡市场中的消费者追求效用最大化,企业追求利润最大化。对于消费者来说,任意两种商品边际效用的比率等于其价格的比率,即 MU1 /MU2 =P1 /P2 ;对于生产者来说,任意两种商品的边际成本的比率等于其价格的比率,即 MC1 /MC2 =P1 /P2 。并且,所有企业投入品的边际收益都等于投入品的相对价格。

瓦尔拉斯的一般均衡
在局部均衡中,一种商品的需求和供给被认为只取决于商品本身的价格,商品的供求曲线决定了它的价格和数量。与局部均衡分析类似的一个问题是:是否存在一组均衡价格,使所有商品的供给和需求都相等呢?也就是说,一般均衡是否存在呢?
法国经济学家瓦尔拉斯在经济学说史上最先充分地认识到一般均衡问题的重要性。他给出了数学模型,并试图解决一般均衡的存在性。瓦尔拉斯的一般均衡理论后来由帕累托、希克斯、诺伊曼、萨缪尔森、阿罗、德步鲁、麦肯齐等人加以改进和发展。经济学家利用集合论、拓扑学等数学方法证明:一般均衡体系存在着均衡解,而且这种均衡可以处于稳定状态,并同时满足经济效率的要求。但是,要求出瓦尔拉斯方程的解,需要很强的假设条件:任何企业都不存在规模报酬递增;任何消费者提供的原始生产要素都不能大于它的初始存量;消费者的欲望是无限的,并且其效用函数都是连续的,等等。实际上,这些条件是非常难满足的。
即使理论上存在着一般均衡状态,还有一个问题需要解决:实际经济是否会达到这个均衡状态呢?如果现行的价格不处于均衡水平上该怎么办?经济调节到均衡价格所需的时间是多少?为了避免这些问题,瓦尔拉斯给出了一般均衡的 “试探过程”。
瓦尔拉斯假设,在市场中存在一个有权威的 “拍卖者”。他的任务是寻找能使供求一致的均衡价格,并采取如下方法寻价:首先,他随意报出一组价格,消费者和企业根据价格报出需求和供给。如果此时的供求达到一致,则拍卖过程结束,消费者和企业在该价格下成交。如果供求不一致,消费者和企业不成交,那么拍卖者重新调整价格,他调整价格的方式为:如果需求大于供给,提高价格;如果需求小于供给,降低价格。最后,拍卖者报出经过调整的价格。如果新的价格仍然不是均衡价格,他将重复上述过程,直到寻找到均衡价格为止。这就是瓦尔拉斯体系中达到均衡的所谓 “试探过程”。
一般均衡是经济学家们所期待的完美境况,那会是一个乌托邦吗?
───
瓦尔拉斯的一般均衡
瓦尔拉斯的一般均衡理论经过诸多经济学家的发展,得到证明:一般均衡体系存在着均衡解,而且这种均衡可以处于稳定状态,并同时满足经济效率的要求。但是,它却需要很强的假设条件。

IMG_20241210_154645

1 什么是国际贸易
《盗梦空间》和香蕉
生产要素在全球范围内的使用可以更有效率,这正是国际贸易的利益所在。

国际贸易
坐在德国的奔驰汽车里,吃着意大利的费列罗巧克力,戴着日本的索尼耳机,听着周杰伦的双节棍,这是多么快意的人生呀!这就是国际贸易的一个缩影!
国际贸易是指不同国家(或地区)之间的商品和劳务的交换活动。国际贸易是商品和劳务的国际转移。
国际贸易和国内贸易
萨缪尔森在其经济学教科书中阐述了国际贸易和国内贸易有三方面的不同:
●国际贸易扩大了商品交换的机会:国际贸易的主要优点是它拓宽了贸易的范围。如果我们只能买到国内的商品,那么我们的物质世界和精神世界都会变得十分匮乏。美国人没有香蕉吃,我们也看不到好莱坞的大片《盗梦空间》了。
●主权国家的存在:跨国贸易涉及不同国家的公民和企业。每个国家都拥有自己的主权,都会对跨越国界的贸易进行管制,这点与国内贸易有着明显的不同。每个国家为了本国的利益,都会对贸易实施关税和限额,从而建立起贸易壁垒。
●汇率:大多数国家都有自己的货币,在过去我们要想买一辆德国的奔驰,就得支付奔驰公司马克,而不是人民币。这就需要各种币种之间的兑换,它们兑换的比例就是汇率。
国际贸易的发展
人类工业革命时期还缺乏国际贸易性组织,出口大部分是偶然现象,很少有专门从事贸易转换的公司。“二战” 后,成立了 WTO 协调各国之间的贸易活动,制定解决贸易纠纷的原则,分工很细。我国从 2001 年起成为世贸组织成员国之一,全球的经济贸易活动有力地推动了我国的经济发展。
───
什么是国际贸易
国际贸易是指不同国家(或地区)之间的商品和劳务的交换活动。国际贸易是商品和劳务的国际转移。

IMG_20241210_154829
发生国际贸易的原因
神秘的炼钢术
在日常生活中,我们离不开日本的汽车、法国的香水、美国的可口可乐,这都是国际贸易给我们带来的福音,那么,产生国际贸易的经济因素是什么呢?

国际间商品和服务贸易的原因
一位著名的经济学家曾经讲过这样一个故事:
一位爱索兰国的发明家发明了一种低成本的炼钢术。但是,发明家坚持保密生产过程。奇怪的是,发明家不需要多投入任何工人或者钢铁炼矿,唯一需要的是本国的小麦。他被誉为天才。因为钢铁在爱索兰的应用如此之广,所以这项发明降低了许多物品的成本,并使爱索兰的民众生活水平大大提高。
几年以后,一位报社记者决定调查这个神秘的炼钢过程。她偷偷潜入工厂,发现发明家原来是一个大骗子。工厂里根本没有钢铁,他只是把小麦运送到其他国家,再从其他国家进口钢铁。发明家所做的唯一事情就是从国际贸易中获取私利。
这个人不是发明家,而是真正的经济学家。
既然国际贸易可以给我们带来这么多的好处,那么是什么原因导致了国际贸易的存在?萨缪尔森等经济学家认为生产条件的多样性、各国偏好不同和生产成本递减是国际贸易背后的经济因素。
生产条件的多样性 各国生产条件的差异性可以归结为自然资源的禀赋情况。中东的石油、巴西的咖啡、法国的葡萄酒和刚果的宝石,这些国家凭借着自然资源的优势向世界各地输送着不同的商品。
偏好不同 贸易的第二个原因在于偏好,即使所有地区的生产条件相同,如果它们对商品的偏好不同,国与国之间也会发生贸易。比如,挪威和瑞典两国从海里捕到的鱼和在陆地上生产的肉类食品在数量上差不多,但是瑞典人爱吃肉而挪威人爱吃鱼,这时就会发生贸易关系,挪威将肉出口到瑞典,瑞典将鱼出口到挪威,两国都可以从中获利,并且人的总体满足程度也提高了。
成本递减 也许进行贸易的最重要原因是各国在生产成本上的差异。如果某个国家在某一行业具有优势,它就可以成为该行业高产量、低成本的制造者,比如日本的汽车行业、美国的飞机行业。下次坐飞机时就不会奇怪为什么有很多国家用的都是美国飞机了。
───
为什么会发生国际贸易
萨缪尔森等经济学家认为生产条件的多样性、各国偏好不同和生产成本递减是国际贸易发生的原因。
发生国际贸易的原因

生产条件的多样性
各国生产条件的差异性可以归结为自然资源的禀赋情况。图为危地马拉农民正在晾晒咖啡豆,不久这些咖啡豆就会出口欧美。

偏好不同
2010 年,韩国白菜紧缺,但由于对泡菜的钟爱,韩国不得不向中国大批进口白菜。

成本递减
各国在生产成本上的差异,也许是进行贸易的最重要的原因。美国福特汽车的生产优势,一度确立了其市场霸主地位,同时也奠定了美国汽车业的成本优势。

比较优势理论
狮子和蚊子
经济学告诉我们,国际贸易对一个国家是有利的,它鼓励专业化分工,扩展了一国的消费可能性。

在著名的《伊索寓言》中有这样一个故事:
有只蚊子飞到狮子那里,说:“我不怕你,你并不比我强多少。你的力量究竟有多大?是用爪子抓,还是用牙齿咬?仅这几招,可我却比你厉害得多,我们不妨来比试比试吧。” 蚊子吹着喇叭,猛冲上前去,专咬狮子鼻子周围没有毛的地方。狮子气得用爪子把自己的脸都抓破了,最后终于要求停战。蚊子利用自己的比较优势战胜了狮子,吹着喇叭,唱着凯歌,在空中飞来飞去,却被蜘蛛网粘住了。蚊子将被吃掉的时候,悲叹道:“我已战胜了最强大的动物,却被这小小的蜘蛛所消灭。”
这个故事告诉我们,无论是个人还是国家,只要发挥了自己的比较优势,都可以变得很强大。
比较优势
比较优势原则认为,如果各国专门生产和出口其生产成本相对低的产品,就会从贸易中获利。或者说,如果各国进口其生产成本相对高的产品,将会从贸易中获利。
我们用实例说明各国是如何发挥比较优势的。
假设甲、乙两国同时生产棉布和葡萄酒,并且世界上只有这两个国家在生产棉布和葡萄酒,它们各自生产 1 单位的棉布和葡萄酒所需人数如表一所示:
从表一中我们可以看出,乙国在棉布和葡萄酒的生产上都处于劣势,但是在棉布上的劣势较小。下面我们进行国际分工,让甲国只生产葡萄酒,乙国只生产棉布,如表二所示。
从表二中我们可以看出,经过分工后,乙国发挥了其生产棉布的比较优势,整个世界的棉布和葡萄酒产量都增加了,此时,甲国从乙国进口棉布并向乙国出口葡萄酒,乙国从甲国进口葡萄酒并向甲国出口棉布,两国通过国际贸易都将受益。
从这个例子中可以看出,最有效率和最富生产性的专业化模式,是每个国家都集中精力从事具有比较优势的生产活动。即使某些国家在某些领域的绝对效率比其他国家都低,也会被专业分工在这些领域,因为,它们具有比较优势。
───
比较优势
比较优势原则认为,如果各国专门生产和出口其生产成本相对低的产品,就会从贸易中获利。或者说,如果各国进口其生产成本相对高的产品,将会从贸易中获利。
表一

IMG_20241210_155202

表二

IMG_20241210_155309

───
多种商品和多个国家
我们在前面的讨论中都只涉及两个国家,然而在现实生活中,国际贸易所涉及的国家多于两个,商品也多于两个。但我们所讨论的原理并不会发生实质性的改变。
多种商品 当两个国家以不同成本生产多种产品时,这些产品可以按比较优势进行排序。举例说明,假设这些商品是飞机、计算机、汽车、小麦、酒和鞋,我们将这些商品全部按照比较优势进行排序,如下面上表 所示,从图中我们可以看出,在这些商品中,相对于欧洲而言,美国的飞机最便宜;欧洲最大的比较优势是鞋子。

IMG_20241210_155410

我们相信,国际贸易会促使美国购买欧洲的鞋子,而欧洲购买美国的飞机,但是分界线落在哪里?小麦和汽车之间吗?这其实取决于商品的需求和供给。我们可以将这些商品想象成穿在一起的珠子,需求和供给的力量将决定分界线落在哪里。
多个国家 当我们分析多个国家的情况时,可以先关心一个国家,将其他所有国家看做一个整体。贸易的利益与国家的分界线并没有太多的联系,因此,上面的分析适用于不同的国家以及同一国家的不同地区。
当有许多国家参与贸易时,三角贸易和多边贸易是有益的,因为两个国家之间的贸易通常是不稳定的。我们来分析一个简单的三角贸易。如下面下表 所示,箭头表明了出口的方向。美国从日本购买家电,日本从发展中国家购买石油和初级产品,发展中国家从美国购买机器。
在现实的世界中,各国之间贸易活动的复杂程度远远超乎我们的想象。我们对多边贸易关注得更多,原因在于双边贸易存在缺陷。比如,若两个国家之间的贸易活动发生了分歧,其中一国采用贸易制裁,那么只会引起另一国的愤怒,也同样会采取贸易制裁,从而造成恶性循环。贸易会被严重地抑制,各国从中获得的利益都将大大减少。
在纷繁复杂的贸易活动中,每个国家都不能独善其身。有些时候我们会因为爱国主义情结抵制某个国家的货物,但是,在当今的全球化贸易过程中,这种声音恐怕会越来越低。
───
多种商品和多个国家的比较优势研究
当两个国家以不同成本生产多种产品时,这些产品可以按比较优势进行排序。而当有许多国家参与贸易时,三角贸易和多边贸易是有益的。

国际贸易会促使美国购买欧洲的鞋子,而欧洲购买美国的飞机,但是分界线落的位置,取决于商品的需求和供给。
简单三角贸易示例

IMG_20241210_155515

───

贸易保护主义
没有硝烟的战争
贸易保护主义是指在对外贸易中实行限制进口以保护本国商品在国内市场免受外国商品竞争,从而增强本国产品竞争力的政策。

2009 年 2 月 13 日,欧盟宣布对中国产钢盘条征收最高达 25%的临时反倾销税。2009 年 3 月 3 日,欧盟贸易专门小组裁定,将对自美国进口的生物柴油开征反倾销税和反补贴税,期限为最少 6 个月。
我们会产生疑问,既然国际贸易给各国都带来了利益,为什么大家还要明争暗斗、进行没有硝烟的贸易战争呢?其实,各国为了保护国内产业免受廉价进口商品的损害,不得不进行贸易保护。
贸易壁垒
如果 A 国某种商品的价格高于 B 国,在自由贸易的情况下,A 国会从 B 国进口该商品,此时,会对本国生产该商品的企业造成损失。为了减少这种损失,A 国会采取措施减少从 B 国的进口数量,此时,就会形成贸易壁垒,对本国的企业实行贸易保护。
几个世纪以来,各国政府都会采用关税和配额充当贸易壁垒。
关税 是对进口商品进行课征的一种税。比如,日本将汽车出口到美国,美国对汽车征收 1.9%的关税。汽车的价钱为 20,000 美元,加入关税后的国内价格为 20,380 美元。关税又分为禁止性关税和非禁止性关税。禁止性关税是一种非常高的税率,致使征税后的国外产品价格超过国内产品,那么,对国外商品的进口就会停止。比如,2000 年 6 月,中韩之间发生 “大蒜战争”,当时韩国为了限制大批中国大蒜进口,冲击韩国农民的生计,采取征收 300%进口税的措施。非禁止性关税的税率较低,会减少贸易额,但是不会消除贸易。
配额 是一种对进口商品的数量限制。配额与关税的影响在性质上基本相同。禁止性配额相当于禁止性关税。但是,这两者之间还是存在着微妙的差异,关税可以给政府带来收入,从而部分冲销其对进口国消费所造成的损失。而配额,则将其带来的利润放入那些可以得到许可证的进口商的钱包中,他们可以用这些钱贿赂发放进口许可证的官员。因此,萨缪尔森等经济学家认为,关税带来的危害比较小。
───
贸易壁垒
在自由贸易的情况下,当一个国家的进口行为,严重影响到本国生产同类产品的企业利益时,该国就会对此商品采取贸易保护主义政策。
贸易保护

图为重商主义时期的威尼斯码头。重商主义是最严重的一种贸易保护行为,认为进口对本国经济有害。
贸易壁垒

关税
关税是对进口商品进行课征的一种税。它分为禁止性关税和非禁止性关税,这种壁垒对社会的危害较小。

配额
配额是一种对进口商品的数量限制。配额与关税的影响在性质上基本相同,但也为权力寻租创造了条件。

政府职能、支出与税收#

1 政府的职能
经济列车的看道员
“不要新的税收” 和 “平衡预算” 不能显示政府经济职能的重要性,经济生活中已经没有政府不能触及的领域。

在现代混合经济中,政府主要存在四个经济职能。
提高经济效率
政府的核心经济目标是帮助社会按其意愿配置资源。在微观经济方面,政府集中于经济生活中的生产什么和怎样生产这两个问题。
改善收入分配
即使看不见的手能够发挥作用并且效率极高,它也会带来收入分配不平等的问题。对于某些人来说,无管制竞争所带来的收入分配的随意性就像丛林中的动物依靠暴力来捕获食物的结果一样。
通过宏观经济政策稳定经济
金融危机和通货膨胀都会给经济造成巨大的损失,政府有义务正确地运用货币政策和财政政策、制定严格的金融管制体系以避免灾难性的经济危机。
执行国际经济政策
萨缪尔森将国际经济政策主要分为四个方面:
●减少贸易壁垒:减少贸易壁垒是国际经济政策的一个重要方面。
●执行援助计划:富有的国家有很多旨在帮助改善穷国境况的计划,比如我国在医疗、农业和交通等方面给予非洲国家的援助。
●保护全球环境:由于人类的活动,地球上的臭氧被破坏、森林退化和全球变暖,各国家都已经开始积极应对保护环境的问题,比如,全球提倡的低碳生活等。
●协调宏观经济政策:在当今社会,各国经济相互依赖,只有相互协调各自的宏观政策,才可以取得共赢。
───
政府的职能
当今社会,政府不仅是市场活动的监管者,更是市场活动的参与者。政府主要存在四个经济职能:提高经济效率、改善收入分配、通过宏观经济政策稳定经济、执行国际经济政策。

IMG_20241210_155746

───
2 企业管制的理论和实践
实践才是检验真理的唯一标准
企业管制就是政府制定一系列条例和设计市场激励机制,以控制企业的价格、销售或生产决策。

管制的理论
经济学家将管制分为两类,一个是经济管制,另一个是社会管制。经济管制是指对价格、市场进入和退出条件等方面的控制。比如,公用设施管制(电力、天然气)。社会管制是用来保护环境以及劳工和消费者利益的。比如,净化空气、安全核服务和交通安全等。
有人会提出疑问,政府取代自由市场决策进行管制的真正理由是什么呢?管制具有三大公众利益理由:抑制垄断力量、矫正信息的不完全性、处理负外部性问题。这些问题我们曾经在政府职能中多次提到,此处不再赘述。
然而,反对管制的经济学家提出了利益集团理论,该理论表明,管制是通过在被管制产业中限制进入来阻止竞争,以提高某些利益集团的收益,消费者和工人的收益都是偶然的。
管制的实践
经济学家们对管制持不同态度,那么到底哪种观点是正确的呢?实践是检验真理的唯一标准,我们通过实例进行判断吧!
美国民航局从 20 世纪 30 年代开始,就强调限制竞争。从 1938 年到 1978 年,民航局没有允许一家新的航空公司进入洲际市场。一些人提出的具有创新性的降低运费的建议都被埋葬了,民航局的作用不是降低而是抬高运费。
1977 年,卡特总统任命著名经济学家卡恩为民航管理局局长。卡恩决定在进入航空业和运费灵活化方面允许有更多的竞争。之后,国会就通过法律允许企业自由进入和退出所有国内航线,并且航空公司可以自由地决定可承担的运价。
曾经有人担心,没有管制的航空业会不会引起大量的失业和服务质量下降。但是,经过时间的印证,航空业不仅运客里数增加了 70%,而且还多雇佣了 65%的职员。统计结果表明,航空业取消管制之后平均运费逐年下降,飞机的利用率也有了很大的提高。
航空业成功解除了管制,这使得萨缪尔森等经济学家和非经济领域的专家相信:一个没有管制的市场,甚至在那些企业拥有巨大的潜在市场力量的产业,也能很好地进行资源配置。
───
企业管制
关于政府对企业管制是否有利于经济,学者们众说纷纭。而在不同的时期,管制的实际效果也是不同的。

IMG_20241210_155923

航空业管制

IMG_20241210_160001

吉米・卡特,美国第 39 位总统(1977 年 1 月 20 日 —1981 年 1 月 20 日)

卡特总统上台后,1978 年签署解除航空管制法,标志着美国航空运输市场完全进入自由竞争时代。航空业取消管制之后平均运费逐年下降,飞机的利用率也有了很大的提高。
───
3 反托拉斯政策
警惕大企业
反托拉斯政策禁止不利于竞争的行为,并且防止垄断结构,它是公共政策防止大企业滥用市场权利的主要方式。

托拉斯是什么?#

1879 年,托拉斯首先出现于美国,比如美孚石油托拉斯等。托拉斯是垄断组织的高级形式之一,除此之外还包括卡特尔、康采恩和辛迪加等。托拉斯是由许多生产同类商品的企业或有密切关系的企业合并组成。目的在于垄断销售市场、争夺原料产地和投资范围,加强竞争力量,以获取高额垄断利润。托拉斯本身是法人,托拉斯董事会集中掌握全部经营和财务活动,原来的企业成为托拉斯的股东,按股权分配利润。
反托拉斯法
由于垄断会造成经济的低效率,政府会积极促进竞争,并以反托拉斯法作为主要武器来激励市场的经济效率。美国反托拉斯政策的框架是由主要的法律以及一个世纪以来的判决案例构成的。其中最著名的法律包括:《谢尔曼法》和《克莱顿法》。
●《谢尔曼法》(1890 年):《谢尔曼法》是从平民的呼声中诞生的。该法规定 “垄断贸易” 为非法并且取缔一切 “限制性的贸易勾结”。但是,该法除了表明反 “垄断” 的意向和决心外,并无证据表明人们有清晰的概念来判定有关的经济活动是非法还是合法的。
●《克莱顿法》(1914 年):《克莱顿法》禁止捆绑性契约,也就是说企业不得强迫消费者购买某种商品时必须也得购买另外一种商品,该法禁止价格歧视等。《克莱顿法》既强调惩罚也强调预防,它还特别为工会的活动提供了反托拉斯豁免权。
反托拉斯的基本问题
反托拉斯要解决的基本问题是企业的行为和结构。
行为 这是指企业本身的行为是违法的,但是企业的产业机构并不违法。反托拉斯法限制的企业行为包括掠夺性定价、限制产量或瓜分市场。例如电器设备业的 “大勾结案”。1961 年,最大几家电器公司的经理们合谋抬高电器的价格(通用电器和西屋公司等),但最终那些违法的经理被关进了监狱。
结构 非法行为虽然严重,但最明显的反托拉斯案与企业结构相关。这些案件是为了解散大厂商,其宗旨都在于取消已经提上日程的大企业之间的兼并。
───
反托拉斯政策
反托拉斯政策禁止不利于竞争的行为,并且防止垄断结构,它是政府防止大企业滥用市场权利的主要方式。美国反托拉斯政策的框架是由主要的法律以及一个世纪以来的判决案例构成的。
什么是托拉斯

IMG_20241210_160140

反托拉斯政策

IMG_20241210_160217
政府的支出
以美国为例
越南战争后,美国经济出现大幅度滑坡,并出现了巨额财政赤字。这是由于美国对战争的财政支出过度所导致的。

财政联邦制
美国的财政如同其国家结构一样实行的是联邦制。财政联邦制是一种处理财政关系的制度。它是指各级政府为共同履行经济职能,在财政职能和收支上有一定的独立性和自主性。财政联邦制的核心是处理中央与地方的财政关系,即中央与地方在财政方面的集权与分权问题。
美国人面临的就是三个级别的政府:联邦政府、州政府和地方政府。三者有各自的分工,但是界限并不总是很明确。联邦政府主要负责与国家有关的活动,如支付外交和国防费用;州政府主要负责管理大学教育和修建高速公路;地方政府主要负责当地的街道治安、城市安全和儿童教育等。
联邦支出 美国政府堪称世界上最大的企业,它的财务支出数据以十亿或者万亿计算,这对于一般企业来说是个天文数字。根据美国政府公布的数据,2010 年联邦预算在 36,000 亿美元。在过去 20 年中,美国增长最快的财政支出是福利专项计划。这些计划旨在向一些合适的人群提供津贴。自 “二战” 以来,在美国政府财政开支中,社会保障(包括养老、医疗等在内)、教育和国防是美国政府财政开支中最大的项目,尤其是社会保障,目前已经超过了美国政府开支的 50%。
州政府和地方政府开支 州政府与地方政府最大的支出项目是教育,这是因为地方政府资助着全国绝大多数儿童受教育所在的学校。政府希望通过努力使儿童得到平等的教育机会,从而避免由于教育不平等带来的人们之间的巨大差异。近年来,医疗保健和监狱费用是州政府和地方政府增长最快的支出项目。
文化和技术影响 联邦政府通过修建发达的高速公路系统改变了美国人的人文景观,加速了城市的扩展和郊区文化的发展。政府支出还拓展了许多科学和技术领域。例如,贝尔实验室在美国军方的资助下研制出了晶体管。今天蓬勃发展的计算机产业和飞机制造业在早期也得到了美国政府的大力支持。
由此可以看出,教育的发达和科技的强大是以政府支出为后盾的。
───
财政联邦制
美国的财政如同其国家结构一样实行的是联邦制。财政联邦制的核心是处理中央与地方的财政关系,它对我国的财政体制改革或许有一定的借鉴意义。

IMG_20241210_160338
税收原则
为社会文明埋单
税,是我们向一个文明社会而支付的东西。

有这样一则笑话:法国人和美国人聊天。法国人:“我们法国的国旗很有意思,它非常完美地表达了我们纳税人的思想感情 —— 蓝色是我们得到税收单据的颜色;白色是我们阅读税收单据时的表情;红色是我们缴纳赋税时气愤脸庞的象征。” 美国人:“我们美国的国旗更有意思,为了突出我们拿到税收单据时所承受的打击,我们在国旗上画了许多星星。”
受益原则和支付能力原则
政府可以采用很多方式征税,它可以对收入、利润征税;可以向穷人、富人征税。那么,是否存在一种公平而有效率的税收制度的一般原则呢?经济学家和政治学家提出了组织征税的两个主要原则:受益原则和支付能力原则。
受益原则 该原则认为对个人所征的税额应该与他们从政府计划中取得的收益成比例。如果你利用的公共物品较多,就应该多缴纳税收。
支付能力原则 该原则认为人们纳税的数额应与其收入或财富相关,财富和收入越多,所缴纳的税就应当越高。这意味着它们可以从高收入的人们那里取得资金,然后去增加贫困的人们的收入和消费。
例如,若建造一座新桥的资金要靠过桥费来偿付,只有你通过该桥时才用缴纳费用,这时体现的就是受益原则。但是,如果建桥的资金来自于所得税,就应用了支付能力原则。
除此之外,税收体系都试图吸收有关公平的现代观点。其中一个观点是横向公平,它是指经济状况基本相同的人在纳税上也应该相同。另一个观点是纵向公平,它是指不同收入水平的人们应缴纳的税收不同。
税收的形式
累进税和累退税 累进税是指收入高的家庭比收入低的家庭所缴纳的税收要高,收入高的家庭税率也会相对高些。累退税是指低收入家庭纳税占收入的份额要高于高收入家庭。
直接税和间接税 间接税是指对商品和服务征税;直接税是指对个人或企业征税。
───
关于税收
税收是社会公民为政府能够履行其职责而提供的经费,是我们向一个文明社会而支付的东西。受益原则和支付能力原则是两个主要征税原则。

IMG_20241210_160540
美国政府税种分析
大千世界,无奇不有
税种指一国税收体系中的具体税收种类,是基本的课税单元。税收制度的主体是税种,当今各国普遍实行的是由多个税种组成的税收体系。

世界上的税种千奇百怪,令人啼笑皆非。比如,英国伯明翰市规定死者使用的棺材宽度为 23 英寸,超过 1 英寸得付税 7.5 英镑,当地称之为 “肥尸税”;土耳其人在打开水龙头洗脸的时候要同时缴三种税!首先是环境清洁税,它在土耳其老百姓中一直被叫做 “垃圾税”;第二种税叫污水费,由政府按自来水费 50%的标准收取;第三种税是增值税,不论是家庭还是写字楼都要支付这个费用,按水费的 18%收取。
在美国,各级政府征收的税种主要包括:个人所得税、社会保险税和财产税等。
个人所得税
个人所得税是联邦政府对个人获得的全部收入进行征税。个人所得税是如何运行的呢?其实原理很简单。首先个人需要计算自己的收入;继而按照规定扣除某些费用和税收减免,得到可纳税的收入;然后在可纳税收入的基础上计算自己需要缴纳的税款。
社会保险税
1935 年,在罗斯福总统的主持下,美国通过了第一部社会保障法 ——《社会保障法》。该法规定,美国自 1935 年开始征收工薪税。在美国,雇员根据其收入记录和过去的社会保险税得到退休津贴,社会保险计划还资助残疾人、穷人和老人。
财产税
财产税的征收对象是土地和建筑等房地产。每一地区会规定一个年税率,对土地和建筑物评估的价值进行征税。财产税大约占州和地方政府全部收入的 30%。
其他税种
公司所得税 公司所得税是对公司的利润进行征税。有些经济学家是反对这项税收的,他们认为政府首先对公司利润征税,再对公司内个人所得到的红利征税,实际上对公司进行了双重课税,这样会挫败公司投资的积极性。
一般销售税 一般销售税的课税对象是商品和服务。比如,在商场买东西都会带来几个百分比的销售税。
───
美国政府税种分析
虽然由于国情、文化习惯等的不同,世界各国的税种千奇百怪,但也有几种税是世界通行的。在美国,各级政府征收的税种主要包括:个人所得税、社会保险税和财产税等。

IMG_20241210_160710

资源、环境经济学#

马尔萨斯人口论
如果《2012》是真实的呢?
爱德华曾经说过,为增长而增长,乃是癌细胞的生存之道。人类应该懂得如何实现可持续的增长。

马尔萨斯人口论
马尔萨斯在其代表作《人口论》中提出了关于人口与资源之间的问题。他指出,人口,在没有任何限制的情况下时,会以几何级数增长,即以 1、2、4、8、16、32、64、128、256、521 的速度增长,一代又一代的人口数量变得如此巨大,以至于地球上再也没有足够的空间让所有的人都有安身之地。
另一方面,马尔萨斯指出了生活资料的有限性。由于通常土地是固定的,当劳动投入时,食物将按照算术级数而不是几何级数增长,即以 1、2、3、4、5、6、7、8、9、10 的速度增长。显然,人口的增长速度远远大于食物增长的速度。当人口增加超过了生活资料的增加时,自然就会用贫困和罪恶来限制人口增加。
马尔萨斯在《人口论》第一版中把自己的理论归结为三点:“人口增加,必须受生活资料的限制;生活资料增加,人口必然增加;占优势的人口增加力,为贫穷及罪恶所抑压,致使现实人口得与生活资料相平衡。” 马尔萨斯认为,可以控制人口的 “贫穷及罪恶” 因素包括:饥饿、瘟疫和战争。
人口论的缺陷
尽管马尔萨斯的研究非常仔细,但是,当今的人口学家还是认为他的方法过于简单。马尔萨斯没有预料到工业革命所带来的技术奇迹,技术变化发生得如此迅速,产出增长远远超出了人口增长,实际生活水平有了很大提高,但是,许多西方国家的人口增长率却在下降。
───
马尔萨斯人口论
马尔萨斯人口论的核心就是,生活资料的增长跟不上人口的增长,为了达到均衡,饥饿、瘟疫和战争成为必然。

IMG_20241210_160909

马尔萨斯
英国人口学家和政治经济学家,他的学术思想带有悲观主义的色彩,但是其影响却很长远。
自然资源经济学
买煤填海
自然资源是另一种形式的生产要素,就像劳动与资本一样,它们为人类服务着。

自然资源的分类
萨缪尔森等经济学家在分析自然资源时,注意到它存在着两种不同的属性,即可分拨性和可再生性。
可分拨性 当企业和消费者可以获得商品的全部经济价值时,该商品就是可分拨的。比如,土地、石油和天然气等矿物资源。在一个竞争性的市场中,我们认为可分拨的资源可以得到有效的配置。
不可分拨的资源是一种具有外部性的资源,此时会引发经济问题。比如,金枪鱼不仅可以给我们带来美味的晚餐,而且是繁殖下一代金枪鱼的源泉。但是,这种繁殖的潜力却没有被纳入市场行为,渔船捕鱼时不必为消耗鱼的未来生殖潜力的行为向社会赔偿,因此,在没有限制的情况下,渔船就有过度捕捞的倾向。
经济学家得到了这样的结论:当资源是不可分拨的,具有外部性时,市场不能提供正确的信号。一般来说,对于外部不经济的产品,市场会生产过度;而对于外部经济的产品,市场又会生产不足。
可再生资源和不可再生资源 不可再生资源是指供给量基本固定,不可能在短时期内再生出足够的数量满足人类的需求。比如,煤和石油,它们是几百万前沉入地层形成的,其数量是固定的。
可再生资源,它们能够有规律地得到补充,只要管理得当,就会发挥无穷无尽的效用,比如,太阳能资源。
可分拨自然资源的分配
经济学家提出,我们首先可以用太阳能和核能代替化石燃料,如石油和天然气,如果后者也被耗尽,人类的末日就来临了。另一方面,经济学家和环境学家都同意我们该为下一代留些资源,但是,经济学家更关心的是资源的被利用率,而不在于储备多少。
通过本节自然资源经济学的介绍,我们明白,日本人买煤填海的确立足长远。
───
自然资源经济学
自然资源经济学的思想起源于 17 世纪的威廉・配第,他著名的论语 “土地为财富之母,劳动为财富之父” 是资源价值论的最早萌芽。
可分拨与不可分拨

可分拨
当企业和消费者可以获得商品的全部经济价值时,该商品就是可分拨的。比如石油等矿物资源。

不可分拨
不可分拨的资源是一种具有外部性的资源,此时会引发经济问题。比如过度捕捞问题。
可再生性

不可再生资源是指供给量基本固定,不可能在短时期内再生出足够的数量满足人类的需求,比如煤资源。

可再生资源能够有规律地得到补充。太阳能资源就是一种可再生资源。

外部性
环境经济学的一个重要概念
市场不灵的一个日渐重要的表现是外部性问题,尤其是在环境方面引起的负外部性值得我们关注。

《吕氏春秋》中有一篇讲述的是子贡赎人的故事:
鲁国有一条法律,如果鲁国人在外国见到同胞沦落为奴隶,只要能够把这些人赎回来,就可以从国家获得金钱补偿。子贡把一个鲁国人从外国赎回来后,没有向国家领取金钱。孔子对他说:子贡,这就是你的不对了。不从国家领取补偿金,对你没有任何损失,但是,鲁国就没有人会再去赎回自己遇难的同胞了。
这个故事所包含的经济学原理就是外部性,子贡没有领取补偿金,其他人一看没有补偿金领了,也就不会去赎自己的同胞了。子贡的好心带来了负外部性。
外部性是指一个人或者企业的行为对其所处的环境造成了影响,但却不会因为给别人带来好处而获得收益,或者带来坏处而受到惩罚。
外部性造成的市场非效率
导致外部性非效率的一个重要方面是环境污染。我们用实例说明这个道理。假设有一个以煤炭为原料的火力发电厂,该电厂排出大量的含有二氧化硫的有毒烟雾,从而造成了外部不经济。该厂的外部性影响着附近的地区,给蔬菜和建筑物都带来了伤害,导致人们出现了很多呼吸道疾病。
作为一个以利润最大化为目标的企业,该电厂必须决定它应该排放多少污染物。如果对于污染置之不理,它的工人和周边环境就会遭殃;但是,如果要完全净化空气,清洁费用会相当高,致使该电厂无法在市场上立足。
此时,经理必须想出一个两全之策,能够在一个平衡的水平上减少污染。此时,经理会将治理二氧化硫的数量定在私人边际收益等于私人边际成本的水平上。这时,对于该发电厂来说就实现了利润最大化。
如果专家发现,该厂治理二氧化硫给社会带来的边际收益大于私人边际收益,此时就产生了正的外部性。但是,这并不能给该发电厂带来任何利润上的提高。该厂经理会降低治理污染的积极性。当这种外溢影响很严重时,私人水平的均衡将缺乏效率地导致很高程度的污染和很少的净化行为。
为了避免这种情况发生,政府都会对治理污染的企业进行补偿,如减免税收等政策。
───
为什么要补偿治污企业
下方图表曲线 MSB(社会边际收益曲线)与治污边际成本曲线 MC 相交于 E 点达到均衡,即有效排污量;MPB(企业边际收益曲线)与 MC 相交于 A 点,即 A 点实现企业利润最大化。

IMG_20241210_161209
4 矫正外部性的两种方式
公了还是私了?
治理外部性造成非效率的武器是什么?政府计划和私人谈判。

政府计划
对付污染这一外部性,最有效率的方法就是政府的反污计划,包括以下几种:
直接控制 几乎所有的污染和其他影响健康的外部效应,政府均可以对其进行直接控制。比如,政府可以下达命令或者制定法律来对那些造成污染的企业进行约束。但是,一方面,管制经常没有考虑到对边际成本和边际收益的比较,没有这种比较根本无法确定有效率的控制水平;另一方面,有效率的控污水平要求各行业和各种污染源的边际成本相等。此时,会出现 “一刀切” 的情况,给环境带来不同程度污染的企业都被要求达到相同的标准,这会使得低污染企业失去控制污染的动力。
排放费和可交易的排放许可证 为了避免直接控制造成的陷阱,许多经济学家建议采用经济刺激进行控制。方法之一就是支付排放费,即要求企业为它们的污染支付等于其外部危害的税款。收取排放费后,通过比较新的私人边际收益和边际成本,企业会把它的污染水平控制到效率水平。另一种方法就是发放可交易的排放许可证。这种方法可根据每个企业的污染程度,将排放额度适当地在企业间进行分配。
私人方式
解决外部性的一种私人方式就是规定财产权的政策。科斯定理指出,只要财产权是明确的,并且其交易成本为零或者很小,则无论在开始时将财产权赋予谁,市场均衡的最终结果都是有效率的。科斯认为,只要财产权明确,并且谈判成本较低,外部性问题可以通过当事人的协商得以解决。比如,有一家工厂,它排出的烟尘使得 5 户居住于工厂附近的居民所晾晒的衣服受到损失,每户的损失大概为 100 元,则 5 户人家总共损失 500 元。为了防止这种损失,住户和企业肯定要进行谈判解决这个问题。一种方法是在工厂的烟囱上安装一个除尘器,费用为 200 元;另一种方法是给每户提供一个烘干机,使他们不需要去晒衣服,烘干机的费用为每户 75 元,该方法的总成本是 375 元。如果双方达成了共识,则通过谈判就可以有效率地解决外部性的问题了。
经验表明,没有一种方法是万能的,要针对不同的问题采用最适合的方法。
───
矫正外部性的两种方式
政府计划和私人谈判是矫正外部性的两种方式,不过前者在操作上某些环节解决并不是那么有效,而后者有较多的约束条件。
公共方式

IMG_20241210_161402

私人方式私人谈判

───

福利经济学#

洛伦茨曲线
王侯将相宁有种乎?
茶余饭后,我们也许会讨论谁家富得流油,谁家穷得揭不开锅,经济学家采用洛伦茨曲线来分析这种差别。

洛伦茨曲线 —— 收入不平等
《史记》中陈涉世家高喊 “王侯将相宁有种乎?” 的时候,其实就是对这种由于财富的代际积累和分化而形成的经济乃至政治地位差距的抗议。经济学家们采用洛伦茨曲线分析这个差距问题。
如下图表所示:该图的横坐标是人口的百分比,从左至右,人口的贫富程度是递增的;纵坐标是收入百分比。该图形象地表述了收入不平等的程度。
───
洛伦茨曲线和基尼系数
在经济学上人们用洛伦茨曲线和基尼系数来衡量社会财富的分化情况。萨缪尔森认为收入不平等的根源之一是财富所有权不平等。

IMG_20241210_161605

───
观察图中的绝对平等曲线,也就是图中矩形的对角线。这条曲线表示了一种极端的分配 —— 绝对平等的分配。在该曲线上,收入最低的 30%人口将会接受恰好 30%的总收入;收入最高的 30%人口也接受总收入的 30%,两者毫无差异。
另一种极端的分配是图中右下方那条呈直角的虚线。该曲线表明了极端不平等的情况。这时,只有一个人得到了全部的收入。
一般来说,洛伦茨曲线弯曲程度越大,收入分配越不平等,反之亦然。经济学家们通常会用基尼系数衡量分配的不平等,它是阴影面积的 2 倍。
财富的分布
萨缪尔森认为收入不平等的根源之一是财富所有权不平等。这里所指的财富当然不是精神财富,而是指金融资产和有形资产的所有权。在市场经济中,财富分布的不平等远大于收入分布的不平等。在美国,1%的家庭占有大约全部财富的 40%,并且这个数字随着股市的繁荣在不断攀升。
总之,收入与财富分配的不平等是经济社会中亟待解决的大问题。
福利国家
你敢透支吗?
工作的人会关心自己工资多少,但他们更关心的是自己得到的福利怎样,由此可看出福利的重要性。

美国人喜欢今天花明天的钱,采用透支策略满足当前的需求。也许有人会钦佩美国人的潇洒作风,会感慨历史赋予他们的透支传统,但这仅仅是传统问题吗?美国这个传统是需要殷实的家底来支撑的。如果美国公民把自己的收入全部花光了,他们会有免费穿的、免费吃的和免费住的,生病了也会有免费医疗,这些都是政府为其公民提供的福利。
福利国家
有些教科书将福利国家的定义归纳如下:福利国家是资本主义国家通过创办并资助社会公共事业,实行一套社会福利政策和制度,对社会经济生活进行干预,以调节阶级矛盾,保证社会经济生活正常运行,维护垄断资本的利益和统治的一种方法。你读完这个定义是不是感觉有点喘不上气?其实,福利国家就是指在该国中,政府给其公民提供好处,从而保证他们有最起码的生活水准。
早期的古典经济学家认为,收入分配是不可能改变的。他们认为,政府采取的减轻贫困的行为会导致国民收入下降。英国著名经济学家、哲学家穆勒对这种观点持有怀疑态度,他认为,政府的策略可以减少不平等。
19 世纪末,德国的 “铁血首相” 俾斯麦,英国的格拉德斯通、迪斯累利和后来美国的罗斯福等都引入了政府对于人民福利负有责任的新观念。福利国家不是社会公费医疗,不是社会保险,不是住房公积金,也不是家庭福利或社会救济计划,福利国家甚至不等同于社会保障,而是它们的加总。
我国的福利
我国的社会福利制度建立于 20 世纪 50 年代,1951 年 8 月发布了《关于城市救济福利工作报告》,报告指出,福利的保障对象主要是无依无靠的城镇孤寡老人、孤儿或弃婴、残疾人等。民政部门通过设立福利机构为这些孤老残幼人员提供保障。随着我国社会和经济的发展,我国的福利保障制度不断完善。对于企业员工,已经形成了养老保险、医疗保险、失业保险、工伤保险、生育保险和住房公积金五险一金的全方位保障制度。现在问题的关键是如何扩大福利保障的覆盖面和资金供应方面。
───
福利国家政策
福利国家政策的引入,是对古典经济学派思想所崇尚的自由市场竞争所带来的社会公平缺失而引发的一系列问题的解决方案。从理论和实践上,它都有丰硕的成果。
福利国家政策的引入

IMG_20241210_161802

福利国家政策内容

IMG_20241210_161931

───
关于再分配的研究
慈善损害效率?
在采取各种措施将收入从富人向穷人那里进行再分配的过程中,可能会损失经济效率,那么,我们愿意牺牲多少效率来换取较大的平衡呢?

曾经有过这样一段幽默的对话:
有一天,萧伯纳在散步,迎面碰到一位大腹便便的富人。富人看到萧伯纳很瘦,就想借机嘲笑愚弄一下萧伯纳,说:“一看到你,我就知道我们国家正在闹饥荒了。” 萧伯纳听了,立马反唇相讥,说:“一看到你,我就知道我们国家闹饥荒的原因了。”
我们钦佩萧伯纳的睿智,而这段对话也折射出了一个财富分配的问题。也许有人说,为了公平,可以将有钱人的财富分给穷人一部分不就皆大欢喜了吗?但是,这样做是有效率的吗?
平等与效率
阿瑟・奥肯在他的 “漏桶” 试验中提出过这样一个问题,假设我们重视公平,那么当一个富人将其一美元从自己的桶里拿出来放进穷人的桶里,我们是赞同的。但是,我们假设再分配的桶上有一个漏缝,富人所缴的税到穷人手里的只有一部分,那么以平等的名义进行的再分配就是以损失经济效率为代价的。如果一个国家想采取收入再分配的政策,它所要权衡的是,更大程度平等的益处和有关的政策会对国民收入产生多大的影响。
我们用图形中的收入可能性曲线来说明这个问题。
首先,我们将人口分为两组,如下面下表所示。在 B 点,没有税收和转移支付,人们获得各自的收入,此时 B 点是最有效率的。但是,在 B 点,高收入者得到的收入远远高于低收入者。人们会采用税收和转移支付的方法增进公平,希望达到收入平等的 C 点。如果经济沿着黑线从 B 点移到 C 点,则富人拿出来的每一分钱都转移到了穷人那里,这是有效率的再分配。但是,大多数再分配会造成效率上的损失。政府对富人征税,他们的储蓄和工作的积极性会遭到挫败,从而导致国民总产出下降。因此,再分配的路线不是从 B 点直接到 C 点的,而是形成了 BED 的曲线路径。因此,实际收入的设定边界由于税收和转移支付所造成的缺乏效率,从斜率为-45° 的线上弯曲下来。
───
再分配的研究
在采取各种措施将收入从富人向穷人那里进行再分配的过程中,可能会损失经济效率,因此必须理性地看待平等与效率的问题。
反贫困政策
谁穷,谁就是穷人
贫困是世界各国都在努力解决的问题,在现代的福利国家中,反贫困的政策主要包括哪些呢?请往下看。

什么是贫困#

在影片《让子弹飞》中有这样一段经典搞笑的对话:
大哥:“你们把这些钱都发给穷人吧!”
弟兄:“大哥,谁是穷人?”
大哥:“谁穷,谁就是穷人!”
显然,这位大哥并没有解释清楚谁是贫困的穷人,那么,到底什么是贫困呢?经济学家们给出了不同的解释。比如,世界银行指出:当某些人、某些家庭或某些群体没有足够的资源去获取他们那个社会公认的、一般都能享受的饮食、生活条件、舒适和参加某些活动的机会,就是处于贫困状态。英国的奥本海默《贫困真相》一书中认为:“贫困是反映物质上的、社会上的和情感上的匮乏。它意味着食物、保暖和衣着方面的开支要少于平均水平。” 美国的劳埃德・雷诺兹在《微观经济学》一书中写道:“所谓贫困问题,是说在美国有许多家庭,没有足够的收入可以使之有起码的生活水平。”
针对贫困,经济学家给出了不同的含义,我们从中得到的感性认识就是:贫困的人就是不能满足基本物质需求的人。
反贫困政策
收入保障计划 美国联邦、州、地方政府都会实行针对贫困家庭进行的收入保障项目,如现金援助(发过节费)、补贴(食品券,拥有该券的贫困家庭可以买到打折的食品)和免费医疗救助等。
劳动所得税抵免 该抵免税适用于劳动所得和补偿工资收入,即政府会按照比例对你的低收入支付补偿金,也就是一种负的所得税。比如,你收入 1000 美元,劳动所得税按照 40%的比例进行补偿,你会得到 400 美元的补偿金。这项计划可以在支持贫困家庭的同时保持住人们寻找工作的积极性。
不过,政府对于穷人的福利制度可能会严重降低低收入成年人找工作的积极性。因为,如果一个享受福利待遇的人得到了工作,这个人会失去很多福利补贴。如果将这些福利补贴看做一种税收的话,那么从不工作到工作转变的边际税率很高,这就摧毁了人们找工作的热情。
───
反贫困政策
反贫困是当今全球社会共同面对的一个亟待解决的难题,作为一名凯恩斯主义者,萨缪尔森对这一问题也极为关注。
关于贫困

20 世纪上半叶美国佛罗里达州的一个正处于失业危机中的家庭
反贫困政策

IMG_20241210_162348

宏观经济学#

宏观经济学研究的是一国经济为何会有波动,如何实现增长,以及在开放经济的环境中,如何避免经济衰退,增加就业,维护物价稳定,抑制通货膨胀等。一般认为,凯恩斯掀起的经济学革命,使宏观经济学研究得以系统地建立。它是在奉行市场原则的古典经济学家面对 20 世纪 30 年代 “大萧条” 无能为力时,横空出世的经济学说,倡导政府运用财政工具和货币工具大规模地干预经济,使市场恢复均衡。

GDP#

宏观经济绩效的尺度
GDP 衡量的是一年内一个国家生产的商品和服务的货币总价值。

一个关于 GDP 悖论的笑话
两个不相上下的经济学青年,经常为一些高深的经济学理论争辩不休。一天饭后去散步,他们为了某个问题的证明又争论了起来,正在难分高下的时候,突然发现前面的草地上有一堆狗屎。
甲就对乙说:“如果你能把它吞下去,我愿意出 5,000 万。”5,000 万的诱惑算是不小了,吃还是不吃呢?乙掏出纸笔,进行了精确的数学计算,很快得出了经济学上的最优解:“吃!” 于是甲损失了 5,000 万。但是,乙也付出了巨大的代价。
两个人继续散步,又发现一堆狗屎,这时候乙开始剧烈地反胃,而甲也有点心疼刚才花掉的 5,000 万。于是乙对甲说:“你要是把这堆狗屎吃下去,我也给你 5,000 万。” 为了收回刚才的损失,甲根据不同的计算方法,得出了相同的计算结果 —— 吃!甲心满意足地收回了 5,000 万,乙这才找到了一点心理平衡。
突然,天才们同时嚎啕大哭:“闹了半天我们什么也没有得到,却白白地吃了两堆狗屎!” 他们怎么也想不通,只好去请一位德高望重的经济学泰斗给出解释,还他们一个公道。
听了两位高材生的故事,没想到泰斗也嚎啕大哭起来。好容易等情绪稳定了一点,只见泰斗颤巍巍地举起一根手指头,无比激动地说:“1 个亿啊!1 个亿!我亲爱的同学们,我代表祖国和人民感谢你们,你们仅仅吃了两堆狗屎,就为国家的 GDP 贡献了 1 个亿的产值!”
GDP 指的是国内生产总值,它衡量的是一国在一定时期内运用生产要素所创造的全部最终产品的市场价值。它是一国商品和服务产出总量的最综合的指标,就像卫星可以探知整个地球的天气情况一样,GDP 也可以显示一国的经济全貌。
对于上面笑话中的两个青年而言,他们并没有生产有形的产品,也没有提供无形的服务。泰斗所指的 1 个亿只不过是狗屎与 5,000 万形成的一个循环过程罢了,5,000 万元只不过是被两个不同的人拥有过而已,没能创造新的价值,也没有为 GDP 做出贡献。
───
什么是 GDP
GDP 并不是表面上看到的资金的循环,而是真真切切的新价值的创造。GDP 等于所有的消费品、投资品、政府采购以及对外净出口的总产量之和。

IMG_20241210_162817
GDP 的统计问题
令国人纠结的概念
GDP 的统计有多种方法,本节主要介绍两种最常用的两种方法:产品流量法和收入法。

产品流量法
我们每年都要消费大量的商品,比如,面包、牛奶、衣服、电脑、汽车、理发、看病等各式各样的有形商品或者劳动服务。我们购买的这些最终商品的总的货币价值之和就是简化的国内生产总值 GDP。简化的计算公式如下:
GDP=(面包的数量 × 面包的价格)+(衣服的件数 × 衣服的价格)+(汽车的数量 × 汽车的价格)+…
因此,我们可以将国内生产总值 GDP 定义为一国生产的最终产品流量的货币价值总和。
收入法
收入法也被称为成本法,因为要素收入同时也是企业的生产成本。事实上,最终产品市场价值除了由生产要素的收入构成外,还包括间接税、公司未分配利润、折旧等。用公式表示如下:
GDP=工资+利息+利润+租金+间接税和企业转移支付+折旧
工资、利息和租金属于生产要素的报酬;公司利润包括公司所得税、社会保险税、公司未分配利润和公司红利;间接税和企业转移支付虽然不是生产要素创造的收入,但是它们会通过产品的购买转嫁给消费者,因此,也是一种成本,要计入其中;资本折旧虽然也不是要素收入,但其包括在总投资中,故而将其计入 GDP。
收入法和支出法从理论上来讲是相等的,但是由于计算上会产生误差,因此有一个统计误差的存在。
计算 GDP 的问题
GDP 是指经济社会在一定时期内运用生产要素所生产的全部最终产品的市场价值,从这个定义中我们可以看出在计算 GDP 的过程中要注意以下几点:
●重复计算问题:萨缪尔森指出,GDP 测度的是最终产品和劳务的总量。最终产品是以消费和投资的目的而生产和出售的产品。需要说明的是,GDP 的计算不包括中间产品。比如 GDP 的计算包括汽车,但是,并不包括生产汽车所耗费的钢材。如果将中间产品计入会出现重复计算问题。为了避免出现重复计算问题,我们采用附加值的方法进行计算,也就是说,在每一个中间环节,我们只计算增加的价值,而不是中间品的全部价值。比如,假设棉花价值为 20 美元,将其纺成纱卖出得到 25 美元,则纱的最终价值是 25(20+5)美元,而不是 45(20+25)美元。
───
GDP 的统计方法
产品流量法和收入法是 GDP 统计常用的两种方法,用这两种方法所衡量出的 GDP 必定是相等的。

IMG_20241210_163023
●GDP 测度的是一定时期内生产的最终产品价值,而不是卖出的最终产品价值。比如一个企业生产了价值 200 万元的衣服,但是只卖掉了 150 万,剩下的 50 万可以看做企业的存货,也应该计入 GDP 中。
●GDP 衡量的是计算期内的最终产品价值,是流量而不是存量。比如,甲花费 100 万购买了一套旧房,此时的 100 万不计入该期的 GDP 中,因为,在这幢房子盖好的那一时期已经计算过了,我们不能进行重复计算。
●GDP 是指一个国家内的最终产品的市场价值,因而它是一个地域的概念。比如一个在中国工作的美国公民的收入要计入中国的 GDP 而不计入美国的 GDP,然而一个在美国开公司的中国老板,其公司获得的利润要计入美国的 GDP,而不计入中国的 GDP。
实际 GDP 与名义 GDP
我们提到过,GDP 的计算是以货币作为标尺对商品和服务进行衡量的,这样就会出现价格变动的问题。比如,1980 年的火柴是 1 毛钱一盒,而 2010 年的火柴是 1 块钱一盒,我们如何比较这两个年份的国内生产总值呢?为了得到国民产出的实际指数,经济学家引入了 GDP 紧缩指数。名义 GDP 是采用当年的价格计算出来的全部最终市场价值,实际 GDP 是用从前某一年作为基期的价格计算出来的全部最终产品的市场价值。两者之间的关系如下:
实际 GDP=名义 GDP/GDP 紧缩指数。
对于 GDP 的衡量,我们通常采用实际 GDP,因为名义 GDP 并不反映实际产出的变动。
───
计算 GDP 的问题
GDP 是指经济社会在一定时期内运用生产要素所生产的全部最终产品的市场价值,从在计算 GDP 的过程中有几个必须注意的问题。

IMG_20241210_163138

消费、储蓄与投资#

消费函数与边际消费倾向
谁人能吃 “金钱豹”
钱多,你怎么花?钱少,你又该怎么花?这取决于你的收入,在宏观经济学中,我们用消费函数来描述收入与消费之间的关系。

消费函数
行人甲开着宝马吃 “金钱豹” 去了,行人乙停下自行车在路边摊了个山东大煎饼。这两个人的收入不同,理所当然消费的商品就不同了。这种支出水平与个人可支配收入之间的关系就是凯恩斯提出的消费函数的概念。
萨缪尔森使用图形生动地描述了消费函数。如下面上表所示,横轴表示可支配收入,纵轴表示用于消费的支出,图中 A、B、C、D、E、F 是收入与消费的组合,将这七个点用光滑的曲线连接起来表达的就是消费函数。
───
消费函数与边际消费倾向
消费函数描述的是收入与消费之间的关系,边际消费倾向是指增加的消费和增加的收入之间的比率,这一比率是递减的。
消费函数图示

从此图表可以看出,随着收入的增加,人们的消费支出所占的比例越来越小,而代之以储蓄。

消费与人口结构

一般说来,老年人的边际消费较低,这也是当今社会年轻人可以啃老的一个原因。

年轻人交际、恋爱,追求新鲜事物的需求旺盛,因此边际消费倾向也较高。
───
从图形中,我们先观察从原点向右上方引出的 45° 线,这条线上的任何一点到两个坐标轴的垂直距离和水平距离是相等的。其中 C 点代表收支相抵,以左代表开支大于收入,需要举债,C 点右侧则代表储蓄。
边际消费倾向
边际消费倾向(MPC):增加的消费和增加的收入之间的比率,也就是增加的 1 美元的收入所引起的额外的商品消费量,用公式表示就是:MPC=ΔC/ΔY。例如,收入增加 1 万亿元,消费增加 0.5 万亿元,边际消费倾向就是 0.5(0.5/1)。
边际消费倾向是递减的。高收入消费者的消费占总收入的比例比收入低的人要低,也就是他们的边际消费倾向较低。
当然了,消费不仅与收入有关,还与人口结构有关,比如,年轻人相对老年人来说边际消费倾向要高。消费函数描述了消费和收入之间的关系,这种稳定的关系是根据数据统计出来的,是经验函数。
蓄函数与边际储蓄倾向
消费的镜像
储蓄是相对于消费而言的,它们都与可支配的收入水平有关,储蓄曲线与消费曲线是互为镜像的。

储蓄函数
储蓄函数衡量的是储蓄水平与收入水平之间的关系。如下面图表所示的函数图形,我们用横轴表示可以支配的收入,用纵轴表示储蓄。从图形上来看,储蓄函数可以从上一节中的消费曲线图中得到。它是 45° 线与消费函数的垂直距离。我们可以观察到,在 C 点的左边,消费函数处于 45° 线之上,家庭储蓄为负;过了 C 点之后,C 点右侧的消费曲线位于 45° 线之下,家庭拥有正的储蓄。
───
储蓄函数
储蓄函数衡量的是储蓄水平与收入水平之间的关系。边际储蓄倾向与边际消费倾向并存,它们之间是镜像关系。
储蓄涵数图示

边际消费倾向与边际储蓄倾向之和为 1。


───
边际储蓄倾向
边际储蓄倾向与边际消费倾向并存,它们之间是镜像关系。
经济学家将边际储蓄倾向(MPS)定义为:在所增加的每 1 美元可支配收入中被用来储蓄的部分。由于收入为消费与储蓄之和,因此,边际消费倾向与边际储蓄倾向之和为 1。
储蓄率的下降
近些年,美国的储蓄率呈现出明显的下降趋势。从长期来看,储蓄率的高低决定一国的资本形成。当储蓄率较高时,资本存量就会快速增长,其潜在产出也会出现迅速提高;当储蓄率较低时,它的生产设备就会变得陈旧,基础设施也无法满足生产需求。因此,下降的储蓄率引起了经济学家的高度重视。那么,导致储蓄率下降的因素有哪些呢?
社会保障体系 在社会保障体系没有建立之前,人们都会在工作期间将一部分收入进行储蓄,以便在退休之后积累起储备金。但是,今天政府征收社会保险税,部分取代了个人为退休进行储蓄的需求,从而降低了某些私人储蓄的欲望。
资本市场 随着资本市场的日益发展,人们能够更加容易地借到钱进行提前消费。当自己真正工作时却要用收入弥补借来的钱,从而降低了储蓄率,比如学生贷款。
收入的缓慢增长 一些经济学家指出,经济增长缓慢导致了储蓄率的下降。比如在一个停滞的经济中,既定的财富收入比率会要求零的储蓄率和净投资率。
投资的决定因素
你敢借 “鸡” 下 “蛋” 吗?
投资在宏观经济中起着重要的作用,它不仅可以在短期内影响产出和就业水平,还能左右长期产出水平的趋势。

影响投资的因素
我们所讨论的投资主要涉及的是私人国内总投资,这是社会总投资的一个组成部分。因为社会总投资不仅包括有形投资,还包括无形投资,比如人力资本。在总投资中,住房投资大约占到 1/4,存货变动一般有 1/12,余下的是企业对生产设备和厂房的投资。
企业投资是为了获得更多的利润,那么,是什么因素左右了企业的投资呢?萨缪尔森等经济学家认为,我们需要从收益、成本和预期三个方面来理解投资行为。
收益 如果一项投资有助于企业出售更多的商品,它便会给企业带来更多的收益。这表明,整体产出水平是决定投资的一个十分重要的因素。更一般地说,投资取决于整体经济活动将会产生的收益。我们可以看到,1979—1982 年美国的经济下降时期,产量大幅下降,同期的投资下降了 22%。由此可见,投资水平对于产量变动是十分敏感的。
成本 大部分的投资都需要巨额资金,大多企业会通过银行贷款获得这部分资金。此时,企业的借款成本不仅包括借入的资金,还包括这部分资金所产生的利息。例如,你借银行 100 万美元,每年你需要支付 6%的利息。此外,美国联邦政府为了控制整个宏观经济,有时会运用货币政策影响特定领域的投资。比如,我国现行房价的飙升超出了人们现阶段收入水平的承担力,政府通过购买住宅数量的限制、二套房首付的限制等一系列措施来调控人们对于房地产的投资。有些人会想到用银行的 “鸡” 下自己的 “蛋”,在作决策之前应该衡量一下自己能否承担这个过程中的成本。
预期 决定投资的第三个因素是预期。投资对于未来来说无异于一场赌博,这是对投资所能获得的收益在未来会超过投资的成本的赌博。比如,如果未来会有禽流感发生,那么没有一个人会去投资养殖业。如果大家都认为将来的猪肉会涨价,那么养猪行业的投资就会增加。因此,投资决策被一根细线悬于预期之上。
───
投资的决定因素
是什么因素左右了企业的投资呢?为了解答这一问题,我们需要从收益、成本和预期三个方面来理解投资行为。
影响投资的因素

IMG_20241210_163501

───
投资需求曲线
躲着利息走
在宏观经济政策中,政府能够通过利率影响投资,经济学家们用投资需求曲线来描述投资与利率之间的关系。

投资需求曲线
我们在此分析的投资是指资本的形成,比如建设厂房、购买机器设备、新住宅的建筑等,这里的投资不包括购买证券、土地和其他财产的行为。政府为什么能够通过调节利率影响投资呢?
我们曾经讨论过,影响投资的因素包括收益、成本和预期。其中,成本就是指企业为了购买资本品的借款成本,这其中不仅包括本金,还包括本金所产生的利息。在本金固定不变的前提下,利息的多少就由利率决定了。我们简单地描述一下这个逻辑关系,如:
企业购买资本品→银行借款→本金和利息→利率
我们用字母 i 表示企业的投资,用字母 r 表示利率,此处的利率是实际利率,不包含通货膨胀因素。从上面的关系图可以看出,企业的投资行为是受利率影响的。当利率上升时,企业向银行借相同本金所要缴纳的利息增多,这时投资成本上升,企业减少投资;当利率下降时,企业向银行借相同本金所要缴纳的利率减少,这时企业投资成本下降,企业增加投资。由此可以看出,投资与利率之间呈反向关系。萨缪尔森等经济学家用投资需求曲线表达两者之间的关系,如下面上图所示。
───
投资需求曲线
投资需求与利率的高低呈反向关系,不仅仅是利率,比如税收等其他因素也可以左右投资。
投资需求曲线

投资需求曲线的移动

假设企业对未来的经济形势持乐观情绪,认为投资会带来较大的收益,企业会增加投资,投资需求曲线向外由 DI 移到 D'I。

假设企业对未来的经济形势持乐观情绪,认为投资会带来较大的收益,企业会增加投资,投资需求曲线向外由 DI 移到 D'I。
───
投资需求曲线的移动
投资不仅仅受到利率的影响,还有其他因素也可以左右投资,其他因素的影响表现在投资需求曲线整体的移动。比如,企业税收的增加将会对投资起到抑制的作用,此时,在相同的利率下,企业会减少投资,投资需求曲线向内移动,如图表 B。再比如,假设企业对未来的经济形势持乐观情绪,认为投资会带来较大的收益,企业会增加投资,从而获得更多的收益,则投资需求曲线向外移动,

IMG_20241210_163658

如上面下图。

IMG_20241210_163757

投资行为是支出中最容易变动的部分,因为它受到一些不可预测的、随机事件的影响,比如,新产品的成功与否、税率及利率的变动、政治倾向和政府的经济政策等。萨缪尔森认为,在每个经济周期中,投资的波动是经济繁荣或衰退的驱动力。
储蓄、投资对产出的决定作用
均衡下的产出
当储蓄与投资相等时,产出水平才会达到均衡,这两者的不一致会导致企业改变产量和就业水平,从而使得经济体系回到均衡的 GDP 水平。

储蓄、投资对产出的决定作用
均衡的产出是与总需求相一致的,也就是当经济社会中的收入正好等于全体企业和居民意愿的支出时,产出达到均衡。比如,企业生产了 150 亿美元的产品,而此时的居民和企业要购买的产品正好等于 150 亿美元,这 150 亿美元的产出就是均衡产出。若用字母 E 代表支出,y 代表收入,产出达到均衡水平时有:E=y。如下面图表所示:
───
储蓄与投资的均衡
均衡的产出是与总需求相一致的。通过计算我们可以推导出,只有当储蓄与投资相等时,产出水平才会达到均衡。

IMG_20241210_164002

───
图(a)表示的是支出等于收入的 45° 线,该线上的任意一点都满足支出等于收入。在图(b)中,假定总支出为 150 亿美元,图中的 A 点为均衡产出,此时的收入与支出相等。在 A 点的左侧,支出大于收入,此时总需求不足,企业出现非意愿存货,它们会削减生产品的生产数量;在 A 点的右侧,支出小于收入,此时总需求大于供给,企业会扩大生产规模满足旺盛的需求。只有在支出等于收入时,均衡产出才能够得到持续的维持。
均衡产出的条件是 E=y,同时支出 E 等于计划消费加投资,即 E=c+i(c 代表消费,i 代表投资),收入等于计划消费加储蓄,即 y=c+s(c 代表消费,s 代表储蓄)。因此,将两式联立可得:c+i=c+s,即 i=s。因此,通过分析我们可以得到如下结论:
均衡的产出水平是处于计划的储蓄与投资相等的 A 点上。在其他的任何产出水平上,居民意愿储蓄的数量都不等于企业意愿投资的数量。这种不一致会导致企业改变其产量和就业水平,从而使经济体系回到均衡的产出水平。
我们需要注意的一点是,这里的投资等于储蓄是指经济到达均衡时,计划投资必须等于计划储蓄,它是均衡的条件,也就是说,计划投资并不一定等于储蓄,但是,只有在两者相等的条件下,产出才达到均衡水平。而在国民收入核算中的 i=s 是实际发生的投资始终等于储蓄,这是根据定义而得到的经济活动中的实际数据,其必然相等。
乘数和乘数模型
小乘数,大作用
乘数是这样一个系数,用这个系数乘投资变动量,可得到投资变动量所引起的总产出的变动量。

乘数与乘数模型
投资的变动量乘以乘数可以得到产出的变动量,比如投资增加了 100 亿美元,若产出增加 300 亿美元,乘数就为 3。若产出增加 400 亿美元,乘数就为 4。也许有人会有疑问,你怎么知道乘数会大于 1 呢?为了回答这个问题,萨缪尔森在其经济学教科书中举了一个关于木屋和木匠的例子:
假设某人利用闲置资源建造了价值 3,000 美元的木屋,那么建造木屋的木匠和木材的生产商就会得到 3,000 美元的收入。如果他们的边际消费倾向是 2/3,那么他们会花掉 2,000 美元购买商品。生产这些商品的企业就会获得 2,000 美元的收入。如果获得收入企业的边际消费倾向也是 2/3,他们又会花掉 1,333.33 美元购买其他商品。如此继续下去,每一轮新的支出都是上一轮收入的 2/3,那么某人最初投入的 3,000 美元就导致了一系列次一轮的再消费支出。尽管这样的支出永无止境,但是其总和是个有限的数量,即:
3,000+2,000+1,333.33+888.88+…=9,000=3×3,000= ×3,000
通过上面的数字可以说明,如果边际消费倾向(MPC)为 2/3,则乘数为 3。如果边际消费倾向(MPC)为 3/4,经过相同的演算得到的乘数为 4。我们可以看出,产出的变动与投资的变动存在如下关系:
产出的变动=1/(1-MPC)× 投资的变动
关于乘数模型的说明
乘数模型在分析宏观经济时将很多要素剔除在框架之外,比如它没有考虑货币对利率的影响,更重要的是它忽略了经济的供给方,忽略了与总供给相联系的支出与价格的相互作用。尽管我们所展示的关系是被大大简化了的,但是乘数模型扩展到包括政府财政政策、货币政策和外贸领域时仍然适用。
萨缪尔森指出,使用乘数模型时应注意:乘数模型只适用于有闲置资源存在的情况,即实际产出小于其潜在产出时。这是因为,只有当闲置资源存在时,总需求的增长才能引起产出的增长。相反,如果此时的产出已经处于潜在水平,那么产出的扩张空间就会比较小,在充分就业的水平下,需求的增长不会引致产出的增加,而是导致价格的上升。
───
乘数和乘数模型
乘数是这样一个系数,用这个系数乘投资变动量,可得到投资变动量所引起的总产出的变动量。
乘数模型

IMG_20241210_164128

───
通过对财政政策的分析,我们发现,在乘数的作用下,政府的支出与税收可以像投资一样对国民产出具有扩张或者收缩的效应。

西方经济学家们认为,在加入政府部门后,不仅投资的变动会有乘数效用,政府支出和税收的变动同样会有乘数效应。
政府支出
政府支出乘数是指政府在商品服务上每增加一单位货币所能引起的 GDP 增长程度。政府的项目支出会引致一系列的再支出,比如政府修建一条地铁,修建工人会将其收入购买消费品;这会引起出售消费品的人收入的增加;而出售消费品的人也会将其收入按照一定比例进行消费。在简单的模型中,政府支出增加的 1 元对 GDP 的最终影响与投资增加 1 元对 GDP 的影响是一样的,其乘数为 1/(1-MPC),MPC 是边际消费倾向。
我们需要注意的是,乘数有相反的功能,比如政府支出下降,在其他因素不变的情况下,产出的下降幅度就等于支出的减少量乘以乘数。
由此可以看出,政府的支出是决定就业和产出的一个重要因素。因此,政府可以通过调整开支刺激或者抑制产出,以影响宏观经济运行。
税收
税收与政府支出一样,也会影响 GDP 的均衡水平,但是其影响幅度相对较小。比如,假设一国经济处于潜在 GDP 水平,国家增加 2,000 亿元的开支用于国防,并且经济政策实施者希望通过增加税收来抵消支出对 GDP 的影响。那么,为了抵消这 2,000 亿元的开支,政府的税收应该为多少呢?如果你毫不思考地答出 2,000 亿元,那么,很遗憾,你答错了。我们发现,税收对于 GDP 的乘数作用小于政府支出的乘数作用。这是因为,当政府支出 1 元用于商品和服务的购买时,这 1 元会直接花费在 GDP 上。对于税收却不是如此,当政府减少 1 元税收时,这 1 元只有一部分用于消费,另一部分用于储蓄。这样的区别导致了税收乘数小于政府支出乘数,它与政府支出乘数存在如下关系:
税收乘数=MPC× 支出乘数
虽然乘数对于宏观经济政策的分析十分有用,但是在这些概念背后,还有许多重要的假设前提和限制条件。如果将这些条件考虑进来,那么政策的影响可能不如我们所料。
───
乘数模型中的经济政策
政府部门对经济活动的参与,对整个宏观经济有着重大的影响,因为政府支出和税收的变动同样会有乘数效应。
政府支出

图为罗斯福新政中大型公共工程的标志之一 —— 胡佛水坝建成前后的情景。
税收的乘数效应

IMG_20241210_164258
金融危机、金融风暴等词汇已经家喻户晓,就连摊煎饼的老大妈都知道把金融和鸡蛋价格上涨联系起来,那么究竟什么是金融呢?

华尔街 —— 纽约市曼哈顿区南部从百老汇路延伸到东河的一条全长不过三分之一英里的大街。在这条街上,让人眼花缭乱的不仅有美国摩根财阀、洛克菲勒石油大王和杜邦财团开设的银行、保险、航运、铁路等公司,还有那尊纽约证券交易所前的铜牛雕像。华尔街已经成为世界金融中心的代名词。
金融系统
金融系统是连接资金富余者和资金短缺者的金融中介机构和金融市场。金融系统包括股票、债券和其他证券市场,还包括银行和保险公司等金融中介机构。资金通常通过金融中介机构发生流动。
金融资产
金融资产是相对于实物资产而言的,它主要由以货币衡量的资产和有价证券组成。我们主要介绍以下几种形式:
货币 俗称钱,这个谁都不陌生,而且多多益善,有首歌曾经这样唱到:All money money go my home!
储蓄账户 银行里的存款。我们通常会把大量的现金存到银行里,不仅安全,并且可以获得一定的利息收益。
政府证券 这种债券包括国债和各地方政府发行的债券。它们承诺到期支付本金,分期支付利息。
股票 指企业的所有权。以此可从公司的净利润中获取红利。普通股是根据市场对未来红利的估计而定价的。非企业股票体现的是合伙制企业、农场和其他经济实体的价值,通常只被很少的人所拥有。
养老基金 工作期间,公司和员工之间共同建立的基金,并在员工退休以后定期发放。
───
金融系统与金融资产
华尔街已是举世皆知的金融中心,是冒险家的乐园,很多人在那里一夜暴富,但也有很多人一瞬间倾家荡产。

华尔街

IMG_20241210_164526
货币的演变
我们拿百元的美钞在美国可以购买很多商品,美元是现代货币的存在形式之一。但是,如果你去雅浦岛旅游,美元还真不如一块石头。在当地,人们是用一种叫 “费” 的石头作为货币的。在人类的历史上,货币经历了各种形式。
以物易物 远古时代的歌手在演唱歌曲之后不会得到几十万的纸钞,他们得到的可能是猪、火鸡、椰子、香蕉、鞋和衣服等各式各样的实物。确实,人类经历过以物易物的时代。在那个时代,如果一个人想吃香蕉,但是,他只有一双新鞋可卖,那么他必须找到一个既想穿新鞋又有香蕉卖的人进行交换。这何等麻烦!这样的巧合也不可能随时存在。
商品货币 在人类历史上,作为交易媒介的货币最初是以商品的形式出现的。多种不同的商品在不同时期和地区都被当做货币使用过,比如羊、铜、铁、石头、贝壳、金银和盐等。这些商品在实际交易中都存在不同的缺点,如携带不便、容易变质等。
现代货币 纸币已经取代商品货币成为现代经济活动的交易媒介。纸币得到普及是因为它交易方便、便于携带和储藏,并且其精密的防伪措施可以保证它的价值。在当今的社会中,货币的形式还在迅速地变革。
货币的构成
我们进一步看看现代人所使用的各种货币。
交易货币 或称为 M1。交易货币是指各种用于实际交易的货币,包括我们自己所持有的硬币、纸币和银行的活期存款。这部分是流通性最强的货币,可以随时进行商品和服务的交易。
广义货币 或称为 M2。广义货币不仅包括交易货币,还包括银行定期存款和其他类似的可以替代交易货币的资产。
───
货币的构成与演变
现代货币的构成分为交易货币与广义货币两种。而在历史上,货币经历了三个发展阶段。
银行系统准备金存在的意义
钱,真的能生钱
部分准备金政策是银行的摇钱树。

准备金
我们将收入的一部分作为储蓄存入银行,如果你认为自己的钱全部安然无恙地躺在银行的保险柜里,那就大错特错了。因为,银行家意识到,将全部存款作为提款准备金是不能实现利润最大化的目的的。因为客户不会在同一时间把钱全部从银行提走。同一天中,总会有一些人取款,有一些人存款,这两类交易具有相互抵消的作用。
因此,银行家们不可能保留 100%的存款,时刻准备着等人提钱,因为这些躺在保险柜里的钱是不能增值的。银行家想到,只保留一小部分存款应付现金的提取,而将其他存款用作投资获得赢利才能使得银行利润实现最大化。这种经常保留的供支付存款提取用的存款金额被称为法定准备金。这种准备金所占存款的比例是由政府决定的,我国 2010 年底的存款准备金率达到了 18.5%,也就是说,我们存进银行 100 元钱,银行只能用其中的 81.5 元钱进行投资。
存款创造货币
银行使用比较少的准备金支持提现的能力,使其可以创造出巨额货币。我们用一个例子来说明银行创造货币的过程。
假定法定存款准备金率为 20%,并且我们将货币以活期存款的形式存入银行。在这种情况下,甲女士将自己的 100 万美元存入 A 银行,银行系统增加了 100 万存款。A 银行按照法定准备金率保留 20 万准备金存入中央银行,余下的 80 万全部贷出,假定是借给某家企业用来购买生产设备的。生产设备供应商得到这 80 万后将其又全部存入银行 B,银行 B 又根据准备金率留下 16 万,再将剩下的 64 万贷出。由此,不断地存贷下去,整个银行系统的存款总额是:
100+80+64+51.2+…=100(1+0.8+0.82 +0.83 +…+0.8n-1 )= =500
从这个例子可以看出,银行系统的存款总额(用 D 表示)和原始存款(用 R 表示)及法定准备金率(用 rd 表示)之间的关系为:D=R/rd
银行保留部分存款的做法摇出了很多钱,那么,该行为会不会有危险呢?其实,这种举动为 “银行恐慌” 和 “挤兑” 提供了可能性。如果一个人不能马上取到钱,其他人也会认为自己的钱不见了,这时,所有的人就会堵在银行门口要求把钱全部提出。这种现象在 20 世纪 30 年代大萧条中曾使上千家银行倒闭。
───
银行系统准备金存在的意义
存款准备金的意义不仅在于用它来供支付存款提取用,更重要的是它可以创造货币。

存款准备金
存款创造货币

IMG_20241210_164811

只保留一定比率的准备金,存款可给银行系统创造巨额的货币
恩斯的选美理论
有些经济学家认为,股价的许多变动很难归结于消息。他们认为股票的购买者在买卖股票时很少关注公司的基本价值,而是更多地关注他们对其他投资者将支付多少的预期。
凯恩斯提出的 “选美理论” 支持了这一说法,他在总结金融市场投资的诀窍时认为,金融投资和选美如出一辙。比如,在有很多美女参加的选美比赛中,如果猜中冠军得主就可以获得大奖。此时,你应该怎么猜?凯恩斯告诉我们,别猜你认为最漂亮的美女能够拿冠军,而应该猜大家会选哪个美女做冠军。即便那个女孩跟钟无盐难较高下,只要大家都投她的票,你就应该选她而不能选那个长得像你梦中情人的美女。
同理,凯恩斯认为,由于股市的投资者最终会把所拥有的股份卖给其他股民,他们关心的是对一家公司的股价,而不是该家公司的真正价值。因此,股民中的高手应该是善于猜透大众心理的人。
一些金融学家还引入心理学解释金融产品交易的异常现象,如从众心理等,我们称其为行为金融。
───
选美与选股
一些经济学家认为,在有效市场的环境下,投机价格是非常不规则的,就像随机游走一样,是偶然的因素影响了股票价格。另有一种从众心理的理论,认为金融投资和选美有着共通之处。
───

国际收支平衡表
国际贸易的账本
企业通过资产负债表、现金流量表和利润表来记录企业的经营状况和经济绩效。在国际经济学领域,主要的手段是国际收支平衡表。

国际收支平衡表
国际收支平衡表记录的是一国与世界其他各国所进行的经济活动,主要内容包括三大部分:经常账户、资本账户及官方储备。
国际收支平衡表的会计原则是:对于一个国家的任何交易活动,如果一笔交易为该国赚得外汇,就记为贷方项目,并用 “+” 表示;如果一笔交易支出了外汇,就记为借方项目,并用 “-” 表示。
国际收支平衡表的详细内容
经常账户 经常账户包括所有收入和支出项目 —— 商品和服务的出口和进口、投资收益、转移支付等。商品贸易余额就是商品的进出口差额,进出口的商品主要包括初级产品和制成品。许多国家都追求出口大于进口的商品贸易,从而实现贸易顺差。
资本账户 如果刚才的经常账户形成了贸易赤字,政府在填补这个 “漏洞” 的过程中会形成国际间的资本流动。外国对本国的贷款、外国购买本国实物资产和金融资产都属于资本流入的交易,相反方向的交易为资本流出。
官方储备 官方储备也称为官方的黄金和外汇储备,由一个国家官方的货币机构所持有,它是国家用于 “干预” 外汇市场、影响汇率的工具。当一国实行固定汇率并试图维持其所规定的官方汇率时,官方储备会起到很关键的作用。相反,如果一国实行的是浮动汇率,国家对外汇的干预就比较少,此时的汇率是由外汇的供求关系决定的。
───
国际收支平衡表
国际收支平衡表记录的是一国与世界其他各国所进行的经济活动,主要内容包括三大部分:经常账户、资本账户及官方储备。

IMG_20241210_165128
什么是汇率
的哥的困惑
外汇汇率是以另一国货币表示本国货币的价格,其高低由外汇市场决定。外汇市场是不同国家货币进行交易的场所。

汇率
茶余饭后,听过一个令人啼笑皆非的故事。一个日本人来我国旅行,有位四十多岁的北京的哥也许心里有些民族情结,他准备借这个机会发泄下心中的愤恨。于是在从机场到某个宾馆的过程中绕了整个四环,出租车的计价表打出了 250 元,日本人从兜里掏出了 1000 元塞给了出租车司机。的哥一看,1000 元,这回可赚大了!不管三七二十一,等日本友人下车之后,司机一口气开出去很远。最后,他把车停在银行门口,想把刚才赚的钱换成人民币。结果,银行的工作人员告诉他:这是日元,如果把它换成人民币的话也就是 60 多块钱。的哥傻眼了,完全被这位日本友人给忽悠了,他一拍大腿,大声骂娘。
这是怎么回事呢?其实,原因在于汇率的存在。综观世界,主要的国家都有自己的货币,比如美国的美元、英国的英镑、日本的日元、俄罗斯的卢布等。当你到某国旅行时,要把自己国家的钱兑换成那个国家的钱才能消费,这种不同币种之间的兑换比率就是汇率。汇率就是以另一国货币表示本国货币的价格,其高低由外汇市场决定。对于我国来说,习惯以 1 人民币能购买多少外国货币这一标价方法来衡量外汇汇率。比如,2011 年 1 月某日,1 人民币相当于 12.57 日元和 4.45 卢布。
外汇市场
外汇汇率并不是固定的,它每个月,甚至每一天都在变化,汇率和很多商品一样随供求力量对比的变动而变化。在纽约、东京、伦敦和苏黎世等金融中心,每天都要进行数以千亿的外汇交易,我们称这种交易市场为外汇交易市场。
我们以美元和人民币为例,用需求和供给曲线来说明外汇的价格是如何决定的。如下面图表所示:
───
关于汇率
外汇汇率是以另一国货币表示本国货币的价格,外汇汇率并不是固定的,它和很多商品一样随供求力量对比的变动而变化。
外汇价格示例

IMG_20241210_165248

汇率大战

───
该图表描述了美国和中国两国交易中对美元的供给和需求。美元的供给来自于那些需要人民币购买中国货的美国人,美元的需求来自于那些需要美元购买美国货的中国人。外汇汇率就是供给和需求曲线达到平衡时的价格,如图中的 E 点。
在全球化过程中,来自各地的多边贸易和交换决定了各种外汇的汇率。
购买力平价和汇率
回归商品价格
购买力平价理论认为,一国的汇率倾向于使任何国家的相同商品的购买成本相等。但是,由于各种因素的存在,实际情况却与该理论存在差异。

购买力平价
萨缪尔森认为,在短期内,货币政策、政治事件、战争和预期变化等各种因素都会影响市场汇率。但是,他认为长期中的汇率是由各国商品的价格决定的。经济学家们提出了购买力平价理论,也称为 PPP 理论。该理论认为汇率使得在国内购买商品的成本等于在国外购买这些商品的成本。其极端情况是一价定律,即在不考虑贸易壁垒和运输成本的条件下,相同的商品在任何市场上的价格都是一样的。
我们用一个简单的例子来说明购买力平价理论。比如,包括钻石项链、汽车和化妆品的一篮子商品在美国价值 100,000 美元,而在中国值 700,000 万元人民币。如果此时的汇率为 70 人民币兑换 1 美元,则这一篮子商品在中国仅仅价值 10,000 美元。此时,如果不计运费的话,美国人会疯狂地涌入中国购买这些商品,因为中国的这些商品相对便宜。结果,人民币的需求上升,这会导致人民币相对美元的升值。
那么,这种升值的压力何时会终结呢?根据一价定律,当人民币以 7∶1 的比率兑换美元时,人民币停止升值。这时,美国和中国的这篮子商品的价值相等。
购买力平价理论还认为,高通货膨胀率的国家会使其货币贬值。比如,假设泰国由于通货膨胀物价上涨了 100 倍,如果中国的物价保持不变,泰铢应该贬值 99%才能使两国之间的物价重新达到均衡。
目前,很多经济学家都倾向于使用购买力平价来比较不同国家的生活水平,但是,这与按照市场汇率计算的结果相差甚远。萨缪尔森认为,使用市场汇率计算的低收入国家产出可能被低估了。这种低估可能是因为低收入国家产品的很大一部分来自于劳动密集型服务,而劳动在低收入国家一般都很廉价。因此,当我们使用包括非贸易品价格的购买力平价进行计算时,低收入国家的国内总产值相对于高收入国家就会上升。比如,当使用购买力平价计算时,我国的国内生产总值是用市场汇率计算结果的 5 倍!这使得我国成为世界上的经济大国。
───
购买力平价
经济学家们认为长期汇率是由各国商品的价格决定的,并提出购买力平价理论,也称为 PPP 理论。

IMG_20241210_165420
国际货币制度
贸易支付的保障
国有国法,家有家规,在自由竞争的全球贸易中,会有各种制度来规范各国的贸易行为,国际货币制度就是其中之一。

国际货币制度
人类在 20 世纪后半叶超越了赤裸裸的贸易战争,成立了各种促进贸易公平的组织,同时也建立了许多有利于世界经济增长的制度,国际货币制度就是其中之一。国际货币制度是国际间贸易进行支付时所遵循的制度,主要包括汇率的确定和政府影响汇率的渠道。经济学家罗伯特・所罗门把该制度比喻为城市里不可或缺的红绿灯,如果运行得好,可以促进国际贸易和国际投资的发展,如果发挥得不好,便会给经济带来破坏性的打击。
萨缪尔森认为,国际货币制度的核心在于如何安排汇率。近年来,各国所采用的汇率制度主要有以下三种:
浮动的汇率制度 也称为灵活的汇率制度,它纯粹由市场的供求力量决定,完全自由浮动。此时政府不指定汇率,也不对其产生任何影响,政府只是一个旁观者,货币的相对价格是由外汇市场中私人和企业的买卖情况决定的。因此,在浮动的汇率制度下,短期内的汇率可能会发生较大的波动。
固定汇率制度 也就是政府决定了各种货币之间的兑换比率。历史上,最重要的固定汇率制度是古典金本位制。在这种制度下,各国将自己的货币价值都确定为固定数量的黄金,在黄金的基础上建立起各国货币间的汇率。在金本位制度下,任何商品均可以用黄金支付,国际贸易与国内贸易就没有区别。国家间的唯一区别就是它们将自己的货币等价于不同重量的黄金,不同货币的交换比率也由各国货币的含金量决定。如果英镑等价于 1/4 盎司黄金,而美元等价于 1/20 盎司黄金,则英美两国的汇率即为 1/5。这也是金本位制的本质所在。
混合的 “管理” 汇率制 是介于浮动汇率和固定汇率之间的一种汇率制度。当今世界上很少有国家采取纯粹的浮动汇率或者完全的固定汇率,而是实行管理汇率制度。在这种制度下,汇率基本上由市场力量决定,但是,政府会根据宏观经济的实际情况,通过买卖货币改变外汇的供给数量来影响汇率。通常情况下,政府会确定 “目标区间” 来引导其政策行为。
───
国际货币制度和国际货币体系
国际货币制度是国际间贸易进行支付时所遵循的制度,主要包括汇率的确定和政府影响汇率的渠道。“二战” 后,国际货币体系主要包括关税与贸易总协定、布雷顿森林体系、国际货币基金组织和世界银行。

IMG_20241210_165541

国际货币体系

IMG_20241210_165624

───
浮动和管理汇率制
政府插不插手
国际贸易涉及不同国家货币的使用,它们被汇率联系在一起。运行良好的国际经济需要一个平稳的汇率制度,也需要选择不同的汇率制度。

浮动汇率制
浮动汇率制是指一国货币的汇率纯粹由外汇市场上货币的供求关系决定,完全自由涨落,各国政府和中央银行不会采取任何措施影响汇率,也不承担维持汇率稳定的义务。浮动汇率制的正式采用和普遍实行,是 20 世纪 70 年代后期美元危机进一步激化后开始的。
浮动汇率制可以有效地防止国际游资的冲击,避免货币危机的爆发,并且有利于促进国际贸易的增长和资本流动。但是,由于没有政府插手,在短期内会经常导致外汇市场的波动,不利于长期国际贸易和国际投资的进行,也不利于金融市场的稳定。与此同时,组织机构对汇率的监督管理也很难奏效,国际收支不平衡无法得到解决,这样的状态对发展中国家极为不利。
实际上,今天已经没有哪个国家实行完全自由的浮动汇率制,主要的发达国家都会对外汇市场进行不同程度的干预。
管理汇率制
很多国家不会采取极端的浮动汇率制,常见的情况是在浮动汇率制中掺入政府的干预,也就是实行管理汇率制。假设我国人民币发生贬值,政府会采取怎样的措施呢?
一种方法是,政府在外汇市场上买进人民币,减少外汇市场上的人民币供给,这样就增加了人民币的需求,人民币在需求量的作用下会升值,从而可以继续维持官方平价。另一种方法是,政府实行货币政策。中国人民银行可以提高利率,引导私人部门增加对人民币的需求。如果我国的利率高于日本,那么投资者会将资金投向中国而不投向日本,从而人民币的需求增加,进而使得人民币升值。但是,这种货币政策的实施可能会与稳定国内经济的需要相互冲突。
总结起来而言,自由浮动的汇率制是在没有政府干预的情况下,完全由供求关系决定的汇率制度;而管理汇率制是政府试图通过买卖货币直接影响汇率,或者通过货币政策来间接影响汇率的汇率制度。
───
浮动和管理汇率制
运行良好的国际经济需要一个平稳的汇率制度,也需要选择不同的汇率制度。当今世界,已经没有哪个国家实行完全自由的浮动汇率制,政府都会对汇率市场给予不同程度的干预。
浮动汇率制

IMG_20241210_165817

在浮动汇率制下,一国货币的汇率纯粹由外汇市场上货币的供求关系决定。

应对本币贬值

IMG_20241210_165900

中国人民银行

经济的增长和发展问题#

经济增长的四要素
奔跑的四个轮子
经济增长就是一国潜在的 GDP 或国民产出的增加。这种增长是由人力资源、自然资源、资本和技术这四个轮子来推动的。

英国经过工业革命的洗礼在 19 世纪成为世界经济的领导者。而日本则恰恰相反,它是通过模仿外国技术成就经济强国地位的。虽然各个国家的发展途径不同,但所有曾经快速发展的国家都有其赖以增长的几要素。
人力资源
这里所指的是广泛的人力资源,涉及劳动的供给、教育、纪律和激励等方面。劳动的投入包括劳动力的数量和技术水平。很多经济学家认为,劳工的技术、知识和纪律性是一国经济增长的最重要的因素。
自然资源
自然资源是产出的第二大生产要素,主要包括土地、石油、森林、水资源和矿产资源等。美国凭借其广袤的良田摘得当今世界最大的谷物生产和出口国的桂冠。
资本
19 世纪,横跨北美大陆的铁路将工业引致美国的心脏地带,在此之前,那里还是个不毛之地,这是经济史上最典型的资本积累的故事。我们知道,资本积累是以牺牲当前消费为前提的,大多数经济高速发展的国家,其产出的 10%~20%都用于净资本的形成。
技术
蒸汽机、发动机、内燃机、传真机和计算机的发明极大地推动了经济的发展。技术进步以一种无声的、不为人知的方式提高着产品的质量和数量,甚至会产生划时代的影响。
───
经济增长的四要素
虽然各个国家的发展途径不同,但所有曾经快速发展的国家都有其共同特点。无论是穷国还是富国,经济的增长,必须有以下四个要素。

───
经济增长理论(一)
亚当・斯密和马尔萨斯的古典动态模型
每个人都希望经济增长,但对什么是实现经济增长的最佳方式,经济学家却有不同的看法,亚当・斯密和马尔萨斯提出了古典动态增长模型。

古典动态增长模型
对于经济增长的见解,亚当・斯密和马尔萨斯不同于今天的增长理论家,他们强调土地在经济增长中的重要作用。在亚当・斯密的《国富论》中,他提出了一个假想的田园时代:一切事物都处于最初状态,没有土地的占有和资本的积累。也就是说,在土地可供所有人自由使用的年代,资本积累还未形成。那么,在这个黄金时代,什么是经济增长的动力呢?
由于没有资本的存在,国民产出是随着人口的增长而增长的。又因为没有土地租金和资本利息,工资成为全部的国民收入,而产出的扩张与人口的增加同步进行,因此,人均实际工资长期不变,经济处于平衡的增长状态。
但是,这样的美好时代不可能永远地持续下去。随着人口的增长,土地会被不断地开发和占有。一旦没有多余的土地用于生产,土地、劳动力和产出的平衡增长也将不复存在。如果土地开始变得稀缺,新增加的劳动力就会拥挤在前人开发的土地上,并且,为了满足土地的分配,租金也会上涨。
随着劳动力不断投入到既定的土地上,每个劳动力所能使用的土地面积逐渐减少,由于收益递减规律的作用,产出的增加会远远慢于人口的增加。劳动力与土地的比例会不断提高,从而导致边际产出的下降和实际工资的降低。
悲观的牧师马尔萨斯认为,人口的巨大压力会导致工人们的生活仅处于维持生存的最低水平。他认为,如果工资高于最低生存线,人口数量就会增加;如果工资低于最低生存线,人口数量就会减少;只有在工资等于最低生存线时,人口数量才会达到均衡。在马尔萨斯的眼中,工人阶级命中注定要过一种野蛮的、肮脏的、短命的生活。
但是,有些实际情况却与马尔萨斯的理论有所不符。比如,发达国家的工资水平较高,但却出现了人口负增长。也许马尔萨斯没有估计到技术进步会大大增加粮食的生产,他更没有想到,还有些国家会通过计划生育进行人口控制。
───
亚当・斯密和马尔萨斯的古典动态模型
对于经济增长的见解,亚当・斯密和马尔萨斯不同于今天的增长理论家,他们强调土地在经济增长中的重要作用。
古典动态增长模型

IMG_20241210_170126

───

经济增长理论(二)
新古典增长模型
为了解释资本积累和技术进步对经济的影响,麻省理工学院的罗伯特・索洛提出了新古典增长模型。

新古典增长模型
罗伯特・索洛出生于布鲁克林,先后在哈佛大学和麻省理工学院学习。他的新古典增长模型,获得了 1987 年的诺贝尔经济学奖。
新古典经济增长模型给出了这样一个基本假设:
经济体使用两种投入要素(资本和劳动)生产同质的产品,并且劳动的增长是由经济以外的其他力量决定的,不受经济变量的影响。另外,经济是完全竞争的,而且总是处于充分就业水平之上。在给定以上假设条件下,新古典增长模型主要分析潜在产出的增长。该模型中最重要的新成分是资本和技术进步。
首先,我们假定技术不变,集中考察资本在经济增长中的作用。为了分析简单,我们假定只有一种资本品 K(但是在实际计算中,我们估算全部资本品的货币价值),如果工人数量是 L,则人均资本为 K/L,即资本 — 劳动比率。因此,在技术不变条件下的总产出方程为:Q=F(K,L)。其中,Q 为产量,K 为资本,L 为工人数量。
在分析经济增长的过程中,经济学家通常会强调资本深化的必要性,它指的是人均资本的增长。如果资本存量的增加快于劳动力的增长,就会发生资本深化。在没有技术变革的情况下,资本深化会带来人均产出的增长和工资的增加。比如,以前一个人操作一台机器,资本深化之后,每个人可以操作两台机器,人均产出增加,工资也随之增长。如果模型中的技术水平不变,长期看,资本深化的过程终将停止,工人的工资也会逐渐停滞。但是,实际中的工资却在持续增长,这是怎么回事呢?原因在于技术革新的存在。
新古典增长模型不仅考虑到了资本深化,还考虑到了技术进步的作用。由于众多新技术和新产品的诞生,如电子计算机、冶金技术的改进和服务技巧的提高都使得生产率大大地提高了。
到现在为止,经济学家们将技术变革视为科学家赐予人类的礼物,就像是上天赐予人类食物一样。近些年,经济学家对经济增长的研究致力于技术变革的源泉,有人将其称为内生技术变革理论。
───
新古典增长模型
麻省理工学院的罗伯特・索洛为了解释资本积累和技术进步对经济的影响,提出了新古典增长模型。

IMG_20241210_170250

───
经济发展模式
市场还是指令
各国都在不断地寻找办法来提高人民的生活水平,但是它们的路径却不尽相同,那么,一国究竟是应该靠市场,还是依靠政府的指令来进行决策呢?

两难的困境
在经济学家们探讨不同经济模式的整个过程中,都有一个贯穿始终的核心问题:一国经济究竟是应该主要依靠市场,还是主要依靠政府指令呢?
各种经济模式不外乎是不同 “主义” 的排列,位于模式排列一端的是市场经济。
市场经济是社会化的商品经济,市场在资源配置中起基础性作用。市场体系中的经济活动是人们自愿形成的,具有平等性、竞争性、法制性和开放性的特征。企业按照可以获得最大化利润的原则组织生产,消费者购买产品也是以满足需求为目的。而且,市场经济的各种表现不是孤立的,而是相互联系、相互制约的,这种内在的联系表明,通过市场可以有效地调节社会资源的分配,引导企业按照社会需要组织生产经营,并且可以对商品生产者实行优胜劣汰的选择。因此,在经济学家的眼中,市场经济是实现资源优化配置的一种有效形式。
令人沮丧的是,市场的自我调节会出现失灵。这会让人想到位于模式排列另一端的指令经济。指令经济又被称为计划经济,它是相对于市场经济而言的,在这种经济体系下,生产、资源分配以及产品消费的各个方面,都是由政府事先计划好的,负责计划的官员决定生产什么、如何生产和为谁生产的问题。计划经济指令的传达结构犹如金字塔,金字塔的最高一级进行重大决策,并提出经济计划的主要框架。之后,计划被分解并沿着阶梯逐级向下传达,越到底层,计划的细节越分明。在指令经济中,企业和个人的积极性是由法律法规来推动的,人们被迫接受上级传达的命令。指令经济在一定程度上可以避免市场经济发展的盲目性、不确定性等问题。但是,它对微观经济活动与复杂多变的社会需求之间的矛盾难以发挥有效的调节作用,容易产生需求与生产之间相互脱节,造成效率低下和无谓浪费的局面。
当今世界上,很少有国家完全采取市场经济或者指令经济的模式,大都是汲取两者的优点对经济进行调控。
───
经济发展模式
各种经济模式不外乎是不同 “主义” 的排列,位于模式排列一端的是市场经济,而另一端就是指令经济,也称计划经济。

IMG_20241210_170406
指令经济为何行不通
前苏联模式的探讨
历史上,半封建主义的俄罗斯接受了马克思的观点,走向了社会主义道路。但其却以失败告终,原因何在?

苏式指令经济的失败
苏联,几乎是任何指令经济理论的实验基地,对于经济学家来说,所有对苏联和它发展道路的分析都至关重要。那么,指令经济是如何运作的呢?让我们揭开它的神秘面纱吧!
在苏联式的指令经济中,大规模的产出清单是由政策制定者决定的。比如苏联的军备支出、科研资源和投资是其优先项目,消费支出是排在这些优先项目之后的。很大程度上,如何生产、生产多少都是由计划当局决定的。比如,计划制定者首先决定今年最终的产出数量,然后从产出出发决定如何投入以及如何组织企业生产。经理们会自觉地完成计划吗?很明显,没有一个计划体系可以规划所有企业的生产行为,这需要政府每年下达千百万个命令,而许多生产上的细节由企业自行决定。
萨缪尔森指出,不适当的管理激励是指令经济中一再出现的问题,管理激励机制是指令经济体系中最明显的扭曲。比如,在市场经济条件下,图书的出版与否是由成本效益决定的。而在苏联,计划制定者使用数量指标决定书籍的出版。最先使用的激励方法是奖励企业生产的书籍数量,生产得越多,获得的奖励越多。因此,出版商印出了成千上万本没有人读的小薄书。面对这样的后果,计划制定者转而要求页数,相应地,出版商转而用洋葱皮那么薄的纸张和大号字体来印刷厚厚的书籍。真是应了那句话:上有政策,下有对策。但是,好戏还在后头。当计划制定者将字数作为奖励的标准时,出版商的反应是用小号字体来印刷大部头书籍。这不禁让人又想到一句话:魔高一尺道高一丈。在这样的拉锯战中,书籍的读者却始终不在考虑范围之内。
还有,在苏联计划经济条件下的失业和膨胀从表面上看起来很和谐,但是,在积累了很长时间之后,严重的通胀会突然爆发,给人们的生活带来痛苦。
这些仅是指令经济的一个缩影。权衡利弊之后,苏联的经验说明,指令经济有能力调动社会资源,从而促进经济的高速增长,但这种增长却使人类付出了巨大的代价。
───
前苏联模式的弊端
前苏联模式是典型的指令经济模式,在这种模式下,大规模的产出清单是由政策制定者决定的。很大程度上,如何生产、生产多少都是由计划当局来决定。
货币主义
陨落的明星
货币主义的支持者认为,货币供给是决定名义 GDP 短期变动的因素,并且通货膨胀在任何地方都永远是一种货币现象。

货币主义的实例
为了更好地理解货币主义学说,我们首先引入两个新的概念:货币周转率和货币数量论。
货币周转率 是由剑桥大学的马歇尔和耶鲁大学的费雪提出来的。它衡量的是货币在经济中的流通速度。当货币数量相对于支出数量很大时,流通速率会很低;当货币转手十分迅速时,其周转率就会很高。比如,有时货币会在银行账户上停留很长时间,此时它的流通速度就比较慢;当存在通货膨胀时,人们为了快速抛出货币,其流通速度就会很高。
货币数量论 货币数量论的核心在于:货币供给量与价格水平成比例上升。尽管这是一种粗略的解释,但它有助于解释货币增长缓慢的国家会出现温和的通货膨胀,而货币供给增长迅速的国家物价会迅速上涨。
英国的铁娘子撒切尔夫人就曾经使用采取了货币主义的政策主张来治理国内的经济问题。“二战” 后的英国曾经奉行凯恩斯主义,用财政政策和货币政策对经济进行干预。这种政策的实施不仅带来了繁荣,也带来了高通胀与高失业。正当人们都处于茫然的时候,新官上任的撒切尔点燃了第一把火:借用货币主义的政策抑制通货膨胀。为了控制流通的货币量,她手起刀落,一下削减了 10 亿英镑的国债,并将银行的准备金率提高到了 10%,把最低贷款利率提高到 17%。紧缩的货币政策,使经济更加低迷、失业更为严重,这种铤而走险的做法,使很多人不理解,1981 年 3 月 30 日,英国 364 名经济学家,在《泰晤士报》联合发表公开信,对此政策加以抨击。铁娘子没有妥协,反而一如既往地加以贯彻。年底,经济增长几近谷底,失业人数达 250 万,然而当经济走过这个 “拐点” 后,便柳暗花明了,物价逐渐回落。事实证明,她的这招险棋,帮助英国闯过了难关。
───
货币主义
随着时代的演进和经济环境的变化,“二战” 后使资本主义国家迎来经济复兴的凯恩斯主义越来越不能适应经济发展的需要,其学说也不断地受到其他理论的挑战,货币主义就是其中一支强大的力量。

IMG_20241210_170618

───
货币主义的精髓
现代货币主义是由芝加哥大学的弗里德曼和其追随者发展起来的,货币主义的信徒们向凯恩斯主义宏观经济学提出了挑战,他们强调货币政策在稳定宏观经济方面的重要性。在货币数量论和周转率的支持下,货币主义学说假设货币增长在短期内可以决定名义 GDP,而在长期中决定价格。以下是货币主义的中心思想内容:
●决定名义 GDP 增长的主要系统性因素是货币数量的供给。它认为,名义总需求主要受货币供给量变动的影响。货币主义者认为货币是第一位的,宏观经济变量主要受货币的影响。这种思想可以简化为:货币是最重要的。
●价格和工资是相对灵活的。他们认为,价格和工资围绕在潜在产出周围,变动相当灵活,这意味着货币供给变动对产出的影响甚微,而货币量主要影响的是价格。短期内的货币供给既影响产出,也影响价格。长期内,由于经济趋于充分就业,货币主要影响价格。无论在短期还是长期,财政政策都是无用的。
●私人部门稳定。货币主义想象,如果经济是自由放任的,私人经济就是稳定的。
货币主义的政策主张与衰落
货币主义认为,政府应该实行固定的货币规则,而不是相机抉择的财政政策和货币政策。他们认为,经济是稳定的,政府的介入会破坏这种稳定性。他们认为,设计一套有效的稳定政策是十分必要的。由此可见,货币主义经济思想的主要内容为:最佳的货币政策应使货币的供给以某个固定的速率增长,并且在任何经济形势下都维持这个速率。
在经济史中,货币主义在制定经济政策方面扮演了重要的角色,但是,金融市场的变化动摇了货币学派的现实经济基础。货币主义支持者认为周转率是稳定的,然而,现实中的高利率激发了金融创新,并推动了支付利息的支票账户的广泛使用。当采纳货币主义的主张时,周转率变得十分不稳定,1982 年,M1 的周转率比以往几十年间的变动都大,这种不稳定正是由于过分依赖货币政策造成的。
───
货币主义的政策主张
货币主义之所以能够风行一时,在世界经济史上留下浓重的一笔,并对当今世界各国的经济仍具指导意义,正是因为其政策主张解决了当时的经济难题。
货币主义的政策运用
IMG_20241210_170715

英国前首相,“铁娘子” 撒切尔夫人
货币主义的政策主张
IMG_20241210_170753

货币主义的衰落

现实中的高利率激发了金融创新,并推动了支付利息的支票账户的广泛使用。货币周转率变得十分不稳定。
───
新古典宏观经济
理性预期的崛起
很多经济学家认为货币主义政策可以在短期内影响产出和失业,新古典宏观经济学派的支持者们却对这一方法提出了挑战。

新古典宏观经济学的基础
新古典宏观经济学派的代表人物是卢卡斯,由于对该理论的突出贡献,他获得了 1996 年的诺贝尔经济学奖。新古典宏观经济学认为:工资和价格是灵活的,市场是竞争的;并且人们能够充分利用可以获得的全部信息,消费者是具有理性预期的。第一个条件来自于古典假设,第二个条件是基于现代统计学和不确定因素条件下的行为学的基础上提出来的。
预期在经济活动中是十分重要的。首先,理性预期假说认为,人们可以做出没有偏差的猜测。其次,人们可以利用一切手段获得所有可能的信息和经济理论。也就是说,人们知道经济如何运行,也了解政府会做出怎样的举动,人们根据这些预期到的行为能够做出相应的反应。因此,政府不能通过系统的经济政策来愚弄人民。这是新古典宏观经济理论的关键假设。
新古典宏观经济学的含义
新古典宏观经济学及其理论具有敏锐的洞察力,这体现在它们的应用之中。
幻觉商业周期 凯恩斯主义经济学家认为,在经济衰退时期,大量的失业属于非自愿失业。而在新古典宏观经济学家的眼中,失业大多是自愿的。由于工资的变动可以迅速实现供求平衡,所以劳动市场也可以在短时间内得到调整。卢卡斯认为,在经济衰退时期,工人们为了获得更多的报酬才会辞掉原来的工作,从而加入失业大军。而在经济扩张时期,工人会对实际工资产生幻觉。由于工人们只看到了货币工资的增长,没有意识到通货膨胀的存在,因此,他们高估了自己的工资,从而更加努力地工作,使得产出增加,失业率下降。在现实经济中,错觉理论遇到了很多麻烦,它已经不再适用。
真实商业周期 该理论也被称为 RBC 理论,它受到了新古典宏观经济学家们的青睐。这个理论也是以理性预期和竞争市场为基础的,但是它强调的机制却有所不同。该理论认为,商业周期仅仅取决于技术的变化,并不考虑货币或需求方面的因素。技术、投资和劳动的供给冲击会导致总供给曲线的移动。这些波动在不受总需求的影响下转化为实际产出。
效率工资 效率工资理论认为企业有动机将工资保持在市场出清水平之上,从而提高生产效率。根据该理论,由于高工资的存在,人们会更加努力地将工作做好,优秀的员工也不愿辞职去寻找新的工作,或者说高工资可以吸引更多出色的、有丰富经验的工人,所以企业提高了生产效率。随着企业工资的提高,许多人愿意等候这些高收入工作,从而造成了非自愿失业。这一理论认为,非自愿失业是一种均衡特征,不会随时间的推移而消失。
───
新古典宏观经济学
作为新古典宏观经济学的代表人物,萨缪尔森对这一理论钟爱之至,认为它的相关理论,具有敏锐的洞察力。

幻觉商业周期
在新古典宏观经济学家的眼中,失业大多是自愿的。在经济扩张时期,工人会对实际工资产生幻觉。工人们只看到了货币工资的增长,没有意识到通货膨胀的存在。

真实商业周期
该理论也被称为 RBC 理论,该理论认为,商业周期仅仅取决于技术的变化,并不考虑货币或需求方面的因素。

效率工资
根据该理论,由于高工资的存在,人们会更加努力地将工作做好,优秀的员工也不愿辞职去寻找新的工作,企业因此提高了生产效率。
───
政策含义
新古典宏观经济理论认为,由于存在理性预期,并且价格和工资具有弹性,被人们预期到的政府政策无法影响实际产出和就业。与此同时,他们认为相机抉择是个陷阱。新古典学派不仅指出了政策制定所面临的危险,它也对货币主义稳定周转率的假设进行了毁灭性的攻击。卢卡斯认为,当政策发生变动时,人们的行为也会随之改变,因此,看似稳定的货币周转率会产生波动。这就是著名的卢卡斯批判。该批判对于美国当时进行的货币主义试验是个严正的警告。它提醒政府当局,如果过分倚重过去的规则,经济行为就可能发生变化。
现存的争议
对于新古典宏观经济学,经济学家对其颇具争议。比如,工资和价格是否具有灵活性?人们是否具有足够的理性来预测政策和经济形势的变化?完全的信息能否获得?错觉工资真的可以解释持久的大规模失业吗?这些问题有待于经济学家们进一步的探讨,我们期待着这些争论早日得以解决。
───
理性预期
理性预期的观点是政府的任何一项稳定经济的措施,都会被公众的合理预期所抵消而成为无效措施。因此国家干预经济的任何措施都是无效的。

小罗伯特・卢卡斯(Robert E. Lucas Jr.)理性预期学派的代表人物,倡导和发展了理性预期与宏观经济学研究的运用理论,是 1995 年诺贝尔经济学奖获奖者。

───
第 1 本《赋税论》
所有物品都是由两种自然单位 —— 土地和劳动来评定价格。换句话说,我们应该说一艘船或一件上衣值若干面积的土地或若干数量的劳动。
—— 威廉・配第
威廉・配第是现代经济学的创始人,他所著的《赋税论》篇幅较短,内容有些杂乱,且发表至今已经有了 300 多年,但在经济学的理论上,并没有失去它在近代资本主义初期放射的光彩。早在 100 多年前,马克思就给予了它极高的评价 ——《赋税论》的作者是现代政治经济学的创始者,最有天才的和最有创见的经济研究家。
第 2 本《英国得自对外贸易的财富》
我们的货物,如果是用我们的船只运出去的,也是可以大大提高价值的,因为这样我们不但会得到货物在本国的售价,还可以加上商人的利润、保险的费用,以及将它们运往海外的费用。
—— 托马斯・孟
这本书是托马斯・孟关于晚期重商主义的典型代表作。在托马斯・孟生活的时代,英国的资本主义商业进步很快,依照早期重商主义原则制定的国家政策,已经适应不了社会发展的需要。因此,在《英国得自对外贸易的财富》中,托马斯・孟率先提出了 “贸易差额论”,对 “货币差额论” 进行了系统批判。托马斯・孟的经济思想对英国及西欧一些国家产生了巨大的影响,很多国家的经济政策中都带有明显的晚期重商主义的特征。
第 3 本《经济表》
只有在取得超过预付费用的纯产品时,才能使人的劳动产生纯产品;只有先有土地的纯产品,才有收入、租税以及属于一国各个阶层的人生存所必要的纯产品。因此,预付越是不充分,对人、土地和国家就越不利。
—— 魁奈
重商主义政策,使农业濒临破产,为了复兴农村的经济活动,重农主义应运而生,本书是重农主义的经典著作。魁奈把农业活动的成果视为 “纯产品”,这一点曾遭到亚当・斯密的批判,不过他发明社会再生产构造的理论,对马克思有很大的影响。
第 4 本《国富论》
除了购买货币,货物还有其他许多用处;但除了购买货物,货币就一无所用。所以,货币必然追求货物,而货物却并不总是或无需追求货币。
—— 亚当・斯密
亚当・斯密是经济自由主义理论的主要创建者。《国富论》是对国民财富的性质和原因的研究。这是世界上第一部全面剖析整个社会的政治经济学经典之作。本书为后来经济学家提供许多问题的端绪,使他们能够延伸补充,以符合新时代的要求。
第 5 本《人口原理》
我认为我可适当地定下两个公理:第一,食物为人类生存所必需;第二,两性间的情欲是必然的,并且几乎会保持现状。
—— 托马斯・罗伯特・马尔萨斯
托马斯・罗伯特・马尔萨斯是一位备受争议的经济学家。有人说他是人类的恩人,又有人说他是恶魔;有人说他是深刻的思想家,也有人说他是笨伯。绝少有经济学著作像马尔萨斯的《人口原理》那样,遭受过如此多的非议。英国著名的马尔萨斯研究者博纳,在其《马尔萨斯及其业绩》一书中写道:“亚当・斯密留下了万人赞赏而无人阅读的著作,而马尔萨斯留下了无人阅读而万人痛骂的著作。” 但是,不管马尔萨斯思想的原创性有多大,也不管对他的论点的毁誉怎样,今天只要讨论人口学问题,无论如何也绕不开马尔萨斯的理论。
第 6 本《政治经济学概论》
物质不是人力所能创造的,物质的效应也不会忽增忽减。人力所能做到的,只不过是改变已经存在的物质形态 —— 或提供此前不具有的效用,或只扩大原有的效用。
—— 让・巴蒂斯特・萨伊
萨伊是资产阶级庸俗政治经济学的创始人。他所在的时代发生的法国大革命既为资本主义的发展扫清了道路,又大大激化了国内的阶级矛盾。为了缓和这一矛盾,萨伊把资产阶级古典政治经济学庸俗化,使之成为资本主义制度的辩护工具。同时,他把政治经济学归为实验科学,从而开创了实证经济学的研究先河。
第 7 本《政治经济学及赋税原理》
当人口与生活资料发生矛盾时,可采取的补救方法不是减少人口,就是更迅速地积累资本。
—— 大卫・李嘉图
大卫・李嘉图是古典政治经济学理论的完成者。《政治经济学及赋税原理》是他探讨分配地租、利润与工资所依据的各项法则为主要课题的不朽名著。李嘉图的主张介于 “市民社会” 经济学的创建者亚当・斯密与批判者马克思之间,其经济学在把握市民社会、资本主义与社会主义之间的相互关系上,具有重要的意义。
第 8 本《资本论》
作为资本家,他只是人格化的资本,他的灵魂就是资本的灵魂。而资本只有一种生活本能,这就是增殖自身,获取剩余价值,用自己不变的部分即生产资料,吮吸尽可能多的剩余劳动。
—— 卡尔・马克思
恩格斯说:“一位伟大的思想家停止思想了,但他所做的却影响了他身后的世界。正如达尔文曾发现有机自然界的进化规律一样,马克思也发现了人类社会的进化规律。” 从某种意义上来说,要真正了解人类或者你我的幸福,以及在经济活动中更深层地探讨商品与货币之间的神秘规律,《资本论》是一本具有永久性价值的名著。
第 9 本《经济学原理》
只要财富是用在每个家庭的生活和文化上,并且用在许多高尚的娱乐活动上,对财富的追求就是高尚的。并且这种追求所带来的愉快,就可随着我们用财富所促进的那些高尚活动的增加而增加。
—— 阿尔弗雷德・马歇尔
阿尔弗雷德・马歇尔是新古典经济学派的创始人。《经济学原理》代表了李嘉图以后的经济学,被人们长期当成教科书来研读。马歇尔学说的特色,在于将数学方法应用于经济学研究,并且以图表说明理论。同时,他企图导入进化论,从而在动态中观察经济的变化。
第 10 本《福利经济学》
如果企业在私利的引导下,使得投资配置与最大国民净产品之间出现差异,那么,政府就有权对此进行干预。
—— 阿瑟・赛西尔・庇古
阿瑟・赛西尔・庇古是旧福利经济学创始人。对于劳资双方的对立,《福利经济学》提供了政治与经济上的解决方法,可以说,是现代经济的经典之作。在有关福祉、公害、所得与物价等问题上,经济政策的本质已被从多方面予以探讨,在目前这种情况下,《福利经济学》所提示的一些观念,仍能发人深省。我们要想了解一些可以解决现实问题的基本概念,不可不读此书。
第 11 本《经济发展理论》
所谓经济发展,就其本质而言,在于对现存劳动力及土地的服务以不同的方式加以利用,这一基本概念使我们得以声称:实现新的组合,是靠从原先的生产方式中把劳力及土地的服务抽调出来才得以成功的。
—— 约瑟夫・阿洛伊斯・熊彼特
约瑟夫・阿洛伊斯・熊彼特是 “创新理论” 的提出者。熊彼特在西方经济学界被公认为博学多闻、兼收并蓄的经济学家。他常常把经济现象和非经济现象联系起来进行分析,创立了把经济理论、经济史、经济统计相结合的研究方法。熊彼特的经济理论的核心,是创新理论和经济发展理论。从创新理论出发,他证明了资本主义制度迟早会被社会主义制度所取代。熊彼特首次提出了 “创新理论”,当时曾轰动了整个西方经济学界,且这一理论对西方经济学的发展,一直产生着重要的影响。
第 12 本《财富的分配》
社会收入的分配受着一个自然规律的支配,该规律如果能顺利发生作用,则每个生产要素创造多少财富,就能得到多少财富。
—— 约翰・贝茨・克拉克
约翰・贝茨・克拉克是 “边际生产力学说” 的创始人。克拉克的《财富的分配》是论证 “边际生产力论” 最著名的著作。“边际生产力论” 是德国人屠能在《孤立国》一书中首先提出的,但把它更加系统化而大肆宣扬的却是《财富的分配》这本书。克拉克也因此成为当时最负盛名的经济理论家。
第 13 本《有闲阶级论》
资本主义革命是一场原则上主张人人平等,但没有(或不愿意)从根本上实现人人平等的革命。人们日渐沉湎于对物质毫无意义的追逐之中。好像幸福平等是一种可测之物,是对一切物质的占有和消费。而真正意义上的、不需要证据的幸福,却被排除在消费的理想之外。
—— 托尔斯丹・本德・凡勃伦
托尔斯丹・本德・凡勃伦是制度学派的创始人。《有闲阶级论》是凡勃伦在隐退期间创作的,是他的代表作,也是制度经济学的奠基之作,主要阐述了制度经济学的基本原理和观点。《有闲阶级论》一经出版,就在当时的社会各界引起了巨大的震动和反响,成为人手一册的风行之作。
第 14 本《商业循环问题及其调整》
在一个商业非常繁荣的社会中,市场上各种货物的价格会构成一个有规则的体系,而维持体系内各部分关系的积极因素,就是追求利润。
—— 威斯雷・C・米契尔
所谓商业循环,就是商业活动上升和下降反复出现的循环,在那些高度发达的商业社会中,它的大部分经济活动都受商业循环的影响;米契尔作为资产阶级经济学家,受其阶级和时代的局限性,以对资本主义社会经济现象的分析代替对其本质的分析,以量的分析代替质的分析,从而掩盖了商业循环经济危机的客观原因及其真正特点。但是,他所提倡的用统计方法作为经济研究的手段,即便是在今天,也具有十分重要的意义。
第 15 本《制度经济学》
“业务规则” 是表示一切集体行动所共有的一种普遍原则,它的直接结果是形成一种秩序。在这种秩序中,指出个人能或不能做,必须这样做或必须不这样做,可以或不可以做的事。
—— 约翰・康芒斯
约翰・康芒斯是旧制度经济学派的三大巨擘之一。这是一部带有浓厚经济学史色彩的经济著作,康芒斯正是通过研究经济学说史来阐述自己的理论的。康芒斯代表着制度经济学的法律学派,他承认资本主义社会普遍存在着 “利益的冲突”。在本书中他试图通过国家,首先是法院的 “公正调节” 来从冲突中建立秩序,从而实现一种 “合理的资本主义”。他凭借这部著作同另外两部著作(《集体行动经济学》《资本主义的法律基础》)阐述其经济理论,也奠定了他作为制度经济学早期代表人物的地位。
第 16 本《就业、利息和货币通论》
我们可以靠增加货币支出来增加就业量,一直到实际工资降低到与劳动力之边际负效用相等时为止。依据定义,这一点就是充分就业之点。
—— 约翰・梅纳德・凯恩斯
约翰・梅纳德・凯恩斯是现代宏观经济学的创始人。这是一部产生 “凯恩斯革命” 的重要著作。它创建了总体理论,为经济学提供了解决现实问题的途径。失业与贫穷是资本主义社会中的经济痼疾,本书在治疗那些痼疾上扮演着重要的角色。现在,随着经济成长,仍会面临许多新的病症,因此我们有必要重新探讨本书所具有的意义。
第 17 本《经济政策和充分就业》
如何使消费和储蓄取得平衡,实在是维持经济均衡和充分就业中,一个非常复杂而困难的问题的核心。
—— 阿尔文・哈维・汉森
阿尔文・哈维・汉森是凯恩斯学派创始人。早在第二次世界大战正在进行、美国的失业问题还不严重的时候,一向以积极主张国家要有 “向前看的预期计划” 而著称的汉森,就已经开始担心战争结束后,军人复员时可能造成大量失业的危险形势了。因此战后,汉森不像正统经济学家那样唯恐通货膨胀,急于采取收缩的措施,而是提醒人们应认清 “市场不足的危险更大地威胁着我们”,告诫政府要把实现充分就业,当做自己经济政策的主要目标,而千万不要因为 “医治通货膨胀而引起通货紧缩失业”。
第 18 本《来自竞争的繁荣》
社会市场经济的政策是应该以消费者为服务对象的,消费者才是一切经济政策的裁判员。
—— 路德维希・艾哈德
路德维希・艾哈德被称为 “经济奇迹之父”。艾哈德的主要贡献在于全面系统地阐述和发挥了西德新自由主义学派奠基人瓦尔特・欧根创立的经济理论,并且在经济生活的各个领域对这一理论进行了全面的实践,对联邦德国资本主义经济的发展产生了深刻的影响。
第 19 本《垄断竞争理论》
所有的产品都有其差别,而这种差别在整个经济活动中是非常重要的。在产品存在差别的情况下,垄断和竞争这两种因素是同时存在的。
—— 爱德华・张伯伦
爱德华・张伯伦是现代西方垄断经济学的代表人物之一。张伯伦与英国经济学家琼・罗宾逊在 20 世纪 30 年代各自创立了垄断竞争(不完全竞争)理论,使现代西方经济学特别是微观经济学大大前进了一步。这本《垄断竞争理论》的发表被认为引起了西方经济学上的一场 “垄断竞争革命”。现在《垄断竞争理论》一书成为现代西方经济学中必读的名著,并且和琼・罗宾逊的《不完全竞争经济学》一起成为西方垄断经济学的经典著作。
第 20 本《繁荣与萧条》
资本在国际方面的移动,不但会加速或推进信用的扩张或收缩,从而影响到纯货币局势,而且对生产结构也会发生影响。
—— 戈特弗里德・哈伯勒
戈特弗里德・哈伯勒是西方经济周期理论的集大成者。《繁荣与萧条》第一版问世后,在西方经济理论界引起了关于经济周期问题的热烈讨论并先后 4 次重印。该书是西方有关经济周期理论的集大成的著作。书中研究了各种不同的经济周期理论,找出了它们的共同之处,对经济周期的发生与发展作出了综合的表述,并为避免经济危机提供了理论依据。
第 21 本《博弈论与经济行为》
在一些精确的自然科学的许多部分里,一项普遍的经验是,对一些适当的特殊情形的彻底了解,很可能成为科学发展的理论的先导。
—— 约翰・冯・诺依曼
约翰・冯・诺依曼是博弈论与计算机思想的奠基人。《博弈论与经济行为》一书,首先从讨论经济行为出发,说明了建立博弈论的必要性。通过细致的分析,引出了对博弈概念的公理化描述,在系统而全面地建立了博弈理论之后,又回过来研究经济行为以及其他方面的一些问题,作为理论的直接应用。本书的目的不在于经验研究,而是试图从有关人类行为的一般性论点着手,寻找既有助于数字处理,又有重要经济学意义的研究途径。
第 22 本《丰裕社会》
个别贫困通常与若干个性有关,诸如心理缺陷、身体不健康、不能适应现代生活,或者生育过多、酗酒、缺乏教育等等。
—— 约翰・肯尼斯・加尔布雷思
约翰・肯尼斯・加尔布雷思是新制度经济学派最重要的代表人物之一。《丰裕社会》一书是他的成名作。自初版后,被列为西方最受欢迎的 20 本畅销书之一。西方经济学家和一些政界人物对之大加赞赏。《丰裕社会》一书所发生的影响,将与《就业、利息和货币通论》所发生的影响相比拟。它提供作为处理早已富裕的社会中一个思想工具。
第 23 本《经济学》
在完全竞争的条件下,市场机制确实导致了分配效率。
—— 保罗・A・萨缪尔森
保罗・A・萨缪尔森是享誉世界的经济学家。要了解混合经济的机能,不可不读本书。这是一部高水准的现代经济学入门书。本书是现代主流派的代表性著作,展开 “新古典派的综合”,以填补总体与个体经济学间的鸿沟。与《经济分析的基础》同为萨缪尔森的代表作。
第 24 本《经济成长的阶段》
根据人类的动机来说,许多最深刻的经济变化,是人类非经济动机的愿望所造成的结果。人类的动机是经济成长的基础。
—— 沃尔特・惠特曼・罗斯托
沃尔特・惠特曼・罗斯托是经济成长阶段理论的提出者。他的《经济成长阶段:非共产党宣言》是战后最畅销的非小说类著作。罗斯托对 “起飞” 到持续的经济成长所要求达到的 “储蓄率” 和 “资本产出率” 临界水平的定义,开了 20 世纪 60 年代经济成长热的先河,以致在以后几年中,几乎各门经济课程都把《经济成长的阶段》作为本课程的必读参考书。
第 25 本《资产积累与经济活动》
由于工资的刚性,因而在短时期内,对商品需求的变化和劳动市场需求的变化,将会导致就业和产量的变化,对一般物价水平或通货膨胀率的变化则没有影响。因此,在这种情况下,用紧缩政策来抑制通货膨胀,只能导致大量和持久的失业。
—— 詹姆斯・托宾
詹姆斯・托宾是后凯恩斯主义的主要代表人物之一。20 世纪 60 年代中期以来,后凯恩斯主义 “新古典综合” 的理论和政策开始受到质问,并且,人们也开始怀疑积极的财政和货币干预是否真的具有稳定经济的潜在能力。在这种情况下托宾结合美国经济条件的发展变化和经济科学本身的发展,对凯恩斯宏观经济理论和政策主张的许多方面,做出了修正、补充和发展。正是由于他在金融市场及其与各项支出的决策、生产、就业和物价等方面的相互联系的分析,从而获得了 1981 年的诺贝尔经济学奖。
第 26 本《国际生产与跨国企业》
如果一国具有资源上或区位上以及其他方面的优势,资本的流入会加强这一方面的优势,有利于充分开发本国的各种资源,从而增加出口;同时该国也应该改善其投资环境,健全其法律制度,规范其商业渠道,维护竞争的公平环境。
—— 约翰・邓宁
约翰・邓宁是跨国公司理论的研究专家,对跨国公司理论的发展作出了巨大贡献。他所提出的 “国际生产折衷理论”,也成为目前研究跨国公司的三大主要流派之一。邓宁用他的动态化的国际生产折衷理论解释了投资的发展周期,同时也证明了一个国家的投资总量和经济发展水平有密切的关系。

逃离不平等 —— 健康、财富及不平等的起源#

《逃离不平等》作者是 2015 年诺贝尔经济学奖得主安格斯・迪顿,在本书中,他主要从健康和财富这两个角度,来阐述人的幸福感及不平等问题。

IMG_20241211_175802

安格斯・迪顿 1945 年 10 月 19 日出生在苏格兰爱丁堡,是一位微观经济学家,他获得 2015 年诺贝尔经济学奖的原因在于他对 “他因对消费、贫困和福利的分析” 而获奖。

image

【为何要重视不平等?】

不平等会促进发展,亦可能阻碍发展。但是不平等本身是否也值得重视?哲学家兼经济学家阿马蒂亚・森曾说,即便是那些相信社会应存在某种形式的平等的人,也会对应实现何种平等而各怀己见。

当然并不是所有人都会同意他的观点。部分经济学家和哲学家就争论称,收入的不平等是不合理的,除非是为了实现某些更重要的目标。比如,若是政府让所有公民的收入都变得一样,那么人们的工作积极性就会大幅降低,这样的结果是,最穷的一部分人可能会变得比那些存在收入不平等地区的穷人还穷。

与对收入平等的重视不同,另外一些学者则强调机会平等。但实际上关于何为机会平等,依旧众说纷纭。还有人强调比例公平:每个人得到的,应该和他的付出成正比。按照这种观点,则通过富人与穷人之间的收入再分配来实现的收入平等,就不合理。

本书讨论的重点:不平等导致了哪些问题?不平等到底是有益于发展还是有害于发展?我们所谈论的各种不平等中,哪些是至关重要的?让少数人先富起来,是否对社会有好处?如果没有好处,那让一部分人先富起来的规则和制度是否正确?富人会不会限制穷人对社会运行管理的影响力,以保证自己的利益?健康不平等是否和收入不平等有相似之处,或者二者是否存在某些差别?这些不平等真的总是不公正的吗,还是它们会带来一种更高层次的善?

发展导致了不平等,不平等又时常有益发展,因为它为后进者指明了方向,催人奋进。但是,不平等又时常阻碍发展,因为既得利益者为了维护自身的地位和利益,总是阻碍发展道路,会抽掉后来者前进的梯子。

每月一读 ——《逃离不平等》- 清华大学经济管理学院清华大学经济管理学院

《逃离不平等:健康、财富及不平等的起源》

安格斯・迪顿著;崔传刚译

中信出版社

不平等可能是人类社会的一种常态,不论是在政治或者经济,甚至人们的生理以及健康。如何看待各种不平等并,是否需要对各种不平等进行调节,如何调节等则有着各种的理论。哈佛大学著名的经济学教授曼昆曾经遭到部分学生在其《经济学十讲》课堂上进行罢课,而罢课的理由就是因为如何看待收入的不平等,在这位经济学家看来,知识和技能愈加重要是造成贫富差距扩大的重要原因,教育发展的速度不及知识回报率的增长,因此受教育程度高的人变得愈加富有,而受教育程度低的人则相对贫穷。或许正因如此,曼昆被当成了 “箭靶”。在离开罢课现场后,组织者加布里尔白瓦特毫不掩饰地告诉围在旁边的同学:“曼昆教授曾为布什政府工作,很明显,他是个保守派。他所持有的观点正导致 2008 年金融风暴的发生。

而本书作者 ANGUS DEATON,(安格斯・迪顿) 也是一位著名的经济学家,他从财富与健康入手分析人类的不平等,本书曾经在 2013 年度获得《福布斯》榜单上的最佳图书。

《逃离不平等》充满历史纵深感,关注人类发展与不平等之间的复杂关联。发展导致了不平等,不平等却时常有益发展,比如它会为后进者指明发展方向,或者刺激后进者去迎头赶上。但不平等也时常会阻碍发展,因为既得利益者为了维护自身地位,会破坏追赶者的发展道路。

《逃离不平等》作者用讲故事的方式,主要从健康和财富这两个角度来阐述这个问题。将经济学、历史学、人口学、心理学等诸多学科的知识融入其中,为我们讲述了生活和社会是如何越来越好,为什么进步会发生,以及进步和不平等之间的相互作用。

在《逃离不平等》中,作者讨论了如下诸多问题:不平等导致了哪些问题?不平等到底是有益发展还是有害发展?我们所谈论的各种不平等中,哪些是至关重要的?让少数人先富起来,是否对社会有好处?如果没有好处,那让一部分人先富起来的规则和制度是否正确?富人会不会限制穷人对社会运行管理的影响力,以达到伤害其它人利益之目的?健康上的不平等是否和收入的不平等有相似之处,或者说他们之间是否存在某些差别?这些不平等真的总是不公正的吗?还是它们会带来一种更高的善?

第一章人类福祉现状

人类历史上最伟大的逃亡,是挣脱贫困与死亡的逃亡。与几千年前相比,人类的生活水平大幅提高,尤其是在健康与财富方面,获得了前所未有的成就。但是,大逃亡也制造出世界各地以及人口之间的差距,与 300 年前相比,这个世界更加不平等了。

今天的全球化与早先的全球化一样,一边促进繁荣,一边制造不公平。不久之前仍处在贫困的国家诸如中国和印度以及韩国都抓住了全球化的机遇,经济迅速增长,而且增长速度大大超过当期的富裕国家,从而他们已经从贫困国家的行列中离开,剩下的多是非洲国家,这就造成了新的不平等。一些国家赶了上来,一些国家则被甩在了后面。在多数国家内部,人们的财富差距都在进一步扩大。

同财富的增长一样,人类在健康方面取得的进步也非常值得称道。在过去的一个世纪,富裕国家的人均寿命增长了 30 岁,并且还在以每 10 年增加 2-3 岁的速度增长。在健康领域,进步也同样孕育了不平等,例如在巴西,富人能得到世界一流的现代化医疗服务,而在一两英里之外,贫困的儿童却被营养不良或者一些容易预防的疾病折磨致死。

自 “二战” 以来,几乎世界上所有地方人口的收入和健康水平都提高了。现在,没有一个国家的婴儿或者儿童死亡率高于 1950 年。经济发展使大量人口摆脱了极度贫困。

第一部分 生存与死亡

第二章 从史前至 1945 年

作者先把美国作为例证,讲述生命与死亡的数据。1900 年,美国人的预期寿命是 47.3 岁,到 2006 年,这一数据提高到 77.9 岁。随着时代的进步死亡率也在逐步地下降,与之前的年代相比,人口死亡率出现大幅下降这一特征在低年龄段的表现最为明显。

人类在存在于地球的近 95% 的时间里,以狩猎和采集为生。这种生活持续了几十万年。正是这种长期的狩猎采集生活,塑造了我们人类本身。人类朝着狩猎采集者的方向不断进化,身体和头脑也为了适应这种生活而不断调整。而之后人类又变成农民和市民,过上一种现代生活,这整个过程不过只有几千年的时间而已。

狩猎采集的社会群体是没有统治者的平等团体,但是这不是天堂,在当时,不同部落之间常常是武力相见的,大量的男性在战争中死亡。狩猎采集者的预期寿命在 20-30 岁,按照今天的标准,这是非常短命的。

从过去的历史中我们发现,不平等并非普遍存在于人类社会。大多数时间的人类历史中并没有不平等现象,至少对于一个生活在一起,互相熟知的部落中的人来说是如此。事实上,不平等是文明赐予人类的 “礼物”。人类在史前所取得的进步同近年的进步一样,都没有被平等地享有。一个更好的世界 — 如果有了农业之后的世界的确是一个更好的世界的话 — 就是一个更不平等的世界。

第三章 消灭传染病

1850 年,细菌致病理论尚未建立,但 100 年之后它变成了一种常识,取得这样的进步,发达国家花了一个世纪的时间,而后进国家要取得同样的进步就不用再花这样长的时间。在这方面印度是个很好的例子。尽管印度的人均收入只是英国 1860 年的水平,但印度人的预期寿命以经长于苏格兰人 1945 年时的预期寿命。过去几十年,贫穷国家的婴儿死亡率下降极快,这使得成百上千万的儿童得以幸存,而这导致了人口大爆炸的出现。1950 年,全球还只有 25 亿人口,到 2011 年,全球人口达到了 70 亿。“二战” 之后,贫穷国家与富裕国家的人口预期寿命逐步接近。健康水平的进步不仅仅是医疗进步与公共卫生进步的结果,教育水平和收入水平的提升也对健康的改善大有帮助。

一个不幸的事实是:在改善公民的健康和生活状况方面,政府并非总是积极的行动者。即便是在民主体制的国家,政客与政府也常常各怀心思,即便大家公认在健康问题上有需要改进之处,他们最终也会在行动方面产生激烈的分歧,更何况,世界上还有很多国家处在非民主状态,还有一类国家也没有为保障国民利益做出实际的行动。

在非洲,人是和微生物一同进化的,到如今,这两者依然共存。换句话说,在整个非洲的历史中,疾病一直伴随人的左右。更宽泛地看,人类逃脱疾病和早逝的困扰也只是近年来才在世界各地出现。尽管如此,世界上依然有为数众多的人还没有意识到自己其实可以逃脱这些疾病以及早逝的困扰,也没有认识到好的医疗保障是实现自由的必由之路。

钱也是一个问题。像印度或者非洲的很多国家,若没有比现在更大的医疗支出投入,要建立一个更好的医疗体系是根本不可能的。

如果没有人口受教育水平的提升,同时又缺乏能力强大的政府,就不可能建成一个合理的医疗保障体系。

第四章 当代世界的健康状况

寿命不平等的现象在逐步减少,但不能因为寿命差距缩小就认定全球的健康不平等现象正在逐步改善。健康不仅仅在于人存在于世,还在于如何存在于世。衡量 “存在于世者” 的健康状况,一个重要的指标就是身高。身高这一指标,对人类尤其儿童时期是否遭受了营养不良或者疾病的折磨有着非常灵敏的反应,它是对预期寿命这个健康指标的重要补充和矫正。如今,世界上巨大多数人都比过去的人长得高。但是在很多地方,人类身高的进步非常缓慢。按照现在的速度,印度男性的身高需要再过 200 年才能达到今日英国男性的水平。这还不是最令人悲观的,因为印度的女性要再过 500 年才有可能赶上如今英国女性的身高。

身材高低本身并非衡量幸福的指标,在其他条件相同的情况下,谁也不能说一个身高 180 厘米的人就比一个 160 厘米的人要富有,健康和快乐。但是,如果整个群体都身材矮小,则说明这个群体在童年时代或者青春期存在营养不足的问题。出现营养不足,一种原因是因为事物匮乏,另一种原因则可能是人们的生存环境不够健康,各种疾病虽然没有夺走人的生命,却严重阻碍了其生长发育。

在一个衣食富足没有疾病的理想环境中,不同的人会因为基因差别而出现身高差异,然而在认知功能上他们却不会存在系统性差异。但是在实际的世界,总有一些人会在童年时期遭遇食物匮乏问题,而这些人往往在身材矮小的人中占较大比例,这就导致了个子矮的人总体上的认知能力偏差。一个群体的身高增长,需要几代人的努力,今日人们的身高水平,除了受到目前的营养状况或者卫生状况影响外,也受到各种历史因素的影响。

从世界范围看,人类比以前更长寿,物质生活更富足,同时人的体格也更为强壮,身高也在增长。但是和物质收入一样,身高增长在各个国家也是不一样的,与走在前列的国家和人民相比,有太多的国家和人民被甩在了后面,人与人在身体条件上的不平等愈发明显。

第二部分 大分化时代

第五章 美国的物质生活状况

作者在本章讨论了美国的经济增长,美国的平困问题,美国的收入分配,劳动市场的不平等,政治与不平等,收入与家庭,美国的顶级收入家庭,等一系列的美国状况。在其最后论述问题的根源中,作者进行了以下论述。

如果我们只将目光焦距于收入问题,而不考虑收入不平等在其他方面所造成的伤害,那么对收入不平等是否公正进行判断的依据,就是看这些高收入者是做了造福大众的事,还是自己独占利润。乔布斯去世后举世哀痛,如果这个国家的某个大银行家也英年早逝,是绝对不会受到如此待遇的。今天我们所拥有的物质繁荣与经济增长并非是理所当然的,不是一旦拥有就不会失去。寻租行为会导致社会的每个群体为日渐减少的总体财富展开更为凶残的争夺,而这种两败俱伤的战斗最终会让经济发展终结。利益集团会以牺牲大众权益的方式来维护自己的私利,而对于大众而言,由于每个人的权益只是损失一点点,因此他们并不会组织起来进行反抗。众多这样的集团所产生的累积效应会从内部将经济掏空并且扼杀经济增长。掌握权势与财富的精英群体以前做过杀鸡取卵的事情,而一旦经济广泛增长所需要的制度体系遭到破坏,他们也会趁机再次做出扼杀经济增长的举动。

第六章 全球化与大逃亡

二战之后,现代国家都出现了前所未有的发展,在很多国家,经济增长使得亿万人们逃离了贫困。死亡率下降,物质生活水平提高,人的寿命延长,生活也变得更为富足。但是,各个国家的发展步伐并不一致,增长速度最快的国家缩小了与发达国家之间的差距,但这也使得它们和那些更落后的国家之间距离更远。从 “二战” 结束到今天这段时间里,人类取得了有史以来最为辉煌的发展成就,作者关注这段成就是如何发生的,以及它如何又制造出新的不平等。

人口爆炸并没有导致灾难,人口的爆炸性增长带来了全球知识与创造力的爆炸性增长,而且婴儿死亡率的下降,减少了生育率,家庭减少了生养的子女数量,而更关注生育的质量。父母,尤其是母亲的生活方式因为养育子女的减少而发生了改变。她们有了参与其他活动的时间,比如接受再教育或者走出家门就业。她们也得以把更多的资源和时间投入现有孩子的养育和发展之中。本书一直在阐述的主题之一:社会本身会想方设法化解新问题。这一方面是依靠建立新的激励机制,一方面是依靠新的生产方式。

第三部分 救助与全球贫困

第七章 如何救助落后者

今天世界上仍有 10 亿人生活在物质匮乏的环境中,仍有千百万儿童因为出生在物质匮乏之地而死去。

关于援助,不是简单的数学问题,不是一些发达国家只要每人每天捐出 0.15 美元就能解决全球贫困。贫困问题的根源绝不是在于区区 0.15 美元甚至 1.5 美元,这是一种援助错觉。

在今日之世界,援助之所以没能消除全球贫困的一个重要原因,在于其实它根本就没想要消除贫困。大部分情况下,援助的具体投向并不是根据收受方的需要确定,而是援助国的国内与国际利益而定。

如果说贫困和不发达是体制落后的主要后果,那么大规模的援助流入实际上会进一步削弱体制或阻碍发展,这与其最初的目标背道而驰。因此,尽管援助经常带来一些直接的正面影响,对援助的统计却没有显示出其能带来任何整体性的正面作用。

全书的论点都有大量的数字证明,而且时间跨度非常之大,本书对于理解我们人类如何才能更平等的发展具有一定的启示作用。

《逃离不平等:健康、财富及不平等的起源》是诺贝尔经济学奖得主安格斯・迪顿的代表作,书中深入探讨了不平等的根源及其对人类发展的影响。以下是该书的一些关键内容和笔记总结。
核心主题

不平等的双重性:迪顿指出,不平等既是社会发展的副产品,也可能促进发展。发展过程中,某些人群的富裕可能为其他人提供了向上的机会,但同时也可能加剧社会的分化。

健康与财富的关系:书中强调健康是讨论人类福祉的基础,健康状况与收入水平密切相关。收入的提高通常伴随着预期寿命的延长,但这种关系在不同收入水平的国家中表现不同。

主要内容

历史视角:

迪顿通过历史数据分析,探讨了人类如何在历史上逐步逃离贫困和疾病,强调了这一过程中的不平等现象。
他提到,尽管全球生活水平普遍提高,但不平等依然存在,尤其是在发展中国家。

不平等的影响:

不平等不仅影响经济发展,还影响社会稳定和健康。富人和穷人之间的差距可能导致社会紧张和冲突。
书中讨论了教育机会和技术变革如何影响收入分配,强调了教育在减少不平等中的重要性。

国际援助的批评:

迪顿对国际援助的有效性提出质疑,认为现有的援助机制往往未能有效改善贫困,反而可能加剧不平等。
他指出,援助资金常常被政治力量利用,未能真正惠及最需要帮助的人群。

政策建议

改善教育:书中强调,通过改善教育体系来提高机会平等,进而减缓收入不平等的加剧。

关注健康政策:健康政策应当优先考虑低收入群体的需求,以确保所有人都能享有基本的医疗服务。

税收与社会保障:建议通过合理的税收政策和社会保障体系来缩小贫富差距,促进社会的整体福祉。

总结
《逃离不平等》是一部引人深思的著作,迪顿通过对不平等现象的深入研究,提出了一系列深刻的洞见和可行的政策建议。书中不仅关注经济数据,还结合历史、社会和心理学等多学科的视角,全面分析了不平等的成因及其影响,为理解当今社会的复杂性提供了重要的理论基础。
从电影《大逃亡》到逃离不平等,新诺奖经济学得主眼中的平等澎湃,澎湃新闻,澎湃新闻网,新闻与思想,澎湃是植根于中国上海的时政思想类互联网平台,以最活跃的原创新闻与最冷静的思想分析为两翼,是互联网技术创新与新闻价值传承的结合体,致力于问答式新闻与新闻追踪功能的实践。

【写在前面】

2015 年诺贝尔经济学奖于北京时间 10 月 12 日 19 时揭晓。该奖项被授予美国普林斯顿大学教授安格斯・迪顿(Angus Deaton),表彰其在消费、贫穷与福利方面的研究贡献。

诺奖评审委员会在颁奖理由中写道,安格斯・迪顿帮助我们加深了对消费的不同方面的了解。他的研究事关人类福祉的巨大重要性,尤其是在那些贫穷国家。迪顿的研究对实践决策和科学界都有巨大影响。通过强调个人消费决策和经济整体表现之间的联系,他的工作对改变现代微观经济学、宏观经济学和发展经济学做出了贡献。

或许是迪顿的出身才让其更加关注贫穷国家的不平等现象。迪顿在《逃离不平等 —— 健康、财富及不平等的起源》一书中曾提到,自己的父亲原是一名英国挖煤工,对于父亲和他的同龄人来说,那时候他们最大的愿望就是有一天能够爬到地面上工作。只可惜因为所受教育有限,父亲的愿望一直没能实现。

但按照一代要比一代强的传统家族观念,迪顿的父亲希望自己的孩子能拥有更好的生活。在父亲和自身的努力下,加上一些 “幸运”,迪顿最终逃离了只有煤尘、烟灰的挖煤工生活。

在《逃离不平等 —— 健康、财富及不平等的起源》一书的前言部分,迪顿指出,不是所有人都会在同一时期富裕起来,也不是所有人都能第一时间获得洁净的水、疫苗接种或预防心脏病的新药等救命之方。不平等反过来影响了社会发展。这种影响有时候是正面的,比如印度的孩子看到了教育的力量,他们会去上学接受教育。但要是既得利益者为了阻止后进者的追赶,抽掉了他们向上行进的梯子,那么这种影响就是负面的。

正因如此,迪顿希望自己的研究能解决一些问题。例如,一段时期以来,人类生活实现了何种改进?这种改进的实现过程是怎样的,原因是什么?社会发展与不平等之间又是如何互相影响的?

他认为无论是穷国还是富国,都在试图利用税收或政府与人民之间的契约关系成为有能力的政府,然而在非洲和亚洲的许多地方,国家欠缺收税或提供服务的能力,政府和人民之间的契约在穷国通常根本不存在,富国在这方面也不完美,因而应该加强对公共部门的监督。如果政府无能,监管和强制执行就不能有效运行,企业也就难以经营。国家能力的缺失,体现在无法提供富国人民习以为常的服务和保护,这是贫困的主要原因之一。没有国家与积极活跃的公民的有效互动,就很难形成战胜全球贫困所需要的增长。

《逃离不平等 —— 健康、财富及不平等的起源》由中信出版社在 2014 年出版,崔传刚译。以下节选自此书的前言部分,以及章节介绍。

前言

今日人类的生活水平,已近乎比历史上任何时期都要好。越来越多的人变得更加富有,生活在赤贫中的人则比以往都少。人类的寿命变得更长,做父母的也不必再承受子女早夭的痛苦。然而与此同时,世界上还是有成千上万的人在经受穷困或子女早逝的折磨。这个世界变得异常不平等。

不平等经常是社会发展的一种后果。不是所有人都会在同一时期富裕起来,也不是所有人都能第一时间获得洁净的水、疫苗接种或预防心脏病的新药等救命之方。不平等反过来影响了社会发展。这种影响有时候是正面的,比如印度的孩子看到了教育的力量,他们会去上学接受教育。但要是既得利益者为了阻止后进者的追赶,抽掉了他们向上行进的梯子,那么这种影响就是负面的。新富们或许会利用他们的财富向政客施压,从而限制他们不需要的那一部分公共教育或者健康医疗支出。

一段时期以来,人类生活实现了何种改进?这种改进的实现过程是怎样的,原因是什么?社会发展与不平等之间又是如何互相影响的?这些,是本书所关注的主要内容。

从《大逃亡》这部电影说起

image

《大逃亡》剧照。  东方 IC 资料图

《大逃亡》是一部以 “二战” 战俘为题材的著名电影。这部电影改编自南非人罗杰?布谢尔(在电影中,他的角色由理查德・阿滕伯勒扮演)的真人真事。“二战” 中,罗杰・布谢尔曾服役于皇家空军,其所驾驶的飞机在德军后方被击落,本人被德军俘虏。被俘后,他屡次试图逃脱,但又屡次失败。第三次逃跑时,他带领着 250 个战俘一起,试图从德军第三战俘营挖地道逃出去。这就是在电影中被称为 “大逃亡” 的计划。这部电影详细讲述了这次行动是如何策划的:在监狱守卫的眼皮底下,他们精巧地设计建造了三条隧道,并且用娴熟的技能和随机应变的本领乔装改扮、伪造证件来实施逃跑计划。不幸的是,最终只有三个人胜利逃出,其他人又被抓了回去,布谢尔本人被希特勒直接下令处死。

当然,这部电影的重点,并不在于这次大逃亡的结果,而在于强调,即便再极端困难的环境,也无法阻挡人们对自由的向往。

在这本书中,我所谈及的自由,是指人们有过上美好生活的自由,以及有做让生命更有价值的事情的自由。以穷苦、匮乏、体弱多病等为表现的自由缺失,曾长期困扰多数人的命运,即使到如今,世界上仍有极高比例的人口缺失这种自由。本书将讲述人类从这种没有自由的牢笼中不断逃亡的故事,并详述他们是如何逃出去的,以及之后所发生的一切。这个逃亡的故事,既包括物质方面,也包含社会心理方面。这是一个人类如何变得更加富有、更加健康的故事。这是一个人类逃脱贫困的故事。

至于本书的副标题 “健康、财富及不平等的起源”,则是源于我对电影中那些未能逃脱的战俘的思考。原本所有的战俘都被困在战俘营里,但是后来一些人逃走了,一些人死在逃跑过程中,一些人被抓回来重新投入战俘营,还有一些人从来就没机会离开战俘营。这种现象反映了所有 “大逃亡” 事件的本质:不是所有的人都会逃亡成功。这是一个事实,尽管这一事实绝不会减少我们对逃亡本身的渴求和赞美。当我们思考逃亡的后果时,不能只考虑电影中的主角们,我们也需要留意那些被留在第三战俘营以及其他战俘营的人。为什么要关心这些人?电影里显然也没有表现出这样的情怀,因为对于这部电影来说,这些人不是主角,而仅仅是故事的陪衬而已。世界上没有一部叫作 “大留守” 的电影。

但是我们应该想到他们。毕竟,在德军战俘营里没能逃走的士兵,要比逃出去的多得多。另外,也有可能他们因为这次大逃亡计划而受到了更大的伤害,比如,遭受惩罚或者很多优待被取消。可以预料的是,在逃跑发生之后,监狱的守卫会更加森严,未来出逃将更加不易。这些出逃行为会鼓励监狱其他人出逃吗?显然,他们可能已经从成功出逃者身上学到了出逃的技能,并且知道了如何避免再犯同样的错误。不过,出逃的种种困难,以及出逃成功率的降低会不会打击他们出逃的念头?另外也有可能的是,对成功出逃者的嫉妒和对出逃成功率的悲观,让这些在狱犯人变得更加沮丧失望,让监狱生活变得更加痛苦。

同其他的优秀电影一样,我们对《大逃亡》这部影片还能做出其他的解读。在电影的结尾,逃亡的成功与愉悦都消失殆尽,因为多数逃跑者得到的自由都是暂时的 — 他们又被抓了回去。人类摆脱死亡和贫困的努力始自约 250 年前,并一直延续至今。无须赘言,这场逃亡将永远持续下去,并要面对诸如气候变化、政治失误、疫情传染和战争等的致命威胁。实际上,在前现代社会,这种生活改善的进程突然被某种致命威胁扼杀的例子不胜枚举。对于今天的成就,我们当然可以庆祝,也应当庆祝,但是,我们没有理由盲目乐观。

【延伸阅读**】****《逃离不平等 —— 健康、财富及不平等的起源》概要 **

《逃离不平等 —— 健康、财富及不平等的起源》共有 7 个章节,以下是概要:

第一章 人类福祉现状

人类历史上最伟大的逃亡,是挣脱贫困与死亡的逃亡。与几千年前相比,人类的生活水平大幅提高,尤其是在健康与财富方面,获得了前所未有的成就。但是,大逃亡也制造出世界各地以及人口之间的差距,与 300 年前相比,这个世界变得更加不平等了。

第一部分 生存与死亡

第二章 从史前至 1945 年

相对于过去的历史,今日的世界,人类寿命更长,长得更高,身体更强壮。20 世纪,人类的预期寿命大幅增加的原因是什么?人们的生活质量因何而改善?过去的人们如何生活?逝去的历史又将为如今仍然面临早逝威胁的大量人口提供怎样的经验?

第三章 消灭传染病

当今很多国家仍然存在着儿童大量死亡的现象,相比而言,面对同样的疾病,富裕国家的儿童比贫穷国家的儿童有更多生存机会。这种不平等现象为什么会存在至今?除了医疗进步与公共卫生进步,还有哪些因素在影响人类健康的改善与对疾病的抵御?

第四章 当代世界的健康状况

人类的健康问题焦点已经从婴儿转向了中年人和老年人,人类的人均预期寿命仍然在持续增加。在世界呈现前所未有融合趋势的当下,一个国家的健康创新几乎会瞬时影响到世界其他任何地方,富裕国家与贫穷国家的健康问题互相影响。

第二部分 大分化时代

第五章 美国的物质生活状况

当生活改善时,并非所有的人都会因此受益,生活的改进往往会扩大人们之间的差距,造成不平等。经济持续增长,贫困人口却在增加。尽管人们普遍相信美国梦就是人人可以成功,但实际上,与其他富裕国家相比,美国人所获得的机会并非特别均等。

第六章 全球化与大逃亡

经济增长成果没有被平等享有,国家内部如此,国与国之间也是如此。“二战” 之后,现代国家都出现了前所未有的发展,但各个国家的发展步伐并不一致。增长速度最快的国家缩小了与发达国家间的差距,但这也使得它们和那些更落后的国家之间距离更远。

第七章 如何救助落后者?

第二次世界大战结束以来,富裕国家尝试以对外援助的形式缩小国与国之间的差距。与人们所想象的不同,援助并没有加快人类的大逃亡进程,反而因为里面掺杂的各种动机、政治因素和非预期效果而起了全然相反的作用。

《新金融秩序 —— 如何应对不确定的金融风险#

image

作者简介#

罗伯特・席勒(Robert J. Shiller),美国经济学家,畅销书作家,耶鲁大学经济系著名教授之一。席勒教授在金融市场、行为经济学、宏观经济学、不动产、统计方法及市场道德判断、公共选择等方面贡献良多,曾获 1996 年经济学萨缪森奖 (Paul A. Samuelson Award),2009 年德意志银行奖 (Deutsche Bank Prize)。2013 年因 “资产价格实证分析方面的贡献” 获得诺贝尔经济学奖。著有《非理性繁荣》《钓愚:操纵与欺骗的经济学》《动物精神》《金融与好的社会》等。

作品简介

用本书作者的话来说,这本书是其 “毕生研究成果的集合”。全书围绕构建一个能够有效应对不确定经济风险的新金融秩序展开,作者提出了一套以信息技术为支撑、以保护个人以及国家财富为目的的风险管理基础架构,通过大规模风险共担将人们面临的经济风险控制在有限范围内,最终构建一个 “经济安全、金融大众化的社会”。

本书第一部分指出,即使世界经济未来持续向好,经济风险依然会长期存在,从而解释了为什么需要构建新金融秩序;第二部分讨论了信息技术和心理学研究如何帮助我们构建新金融秩序;第三、第四部分主要阐述了新金融秩序的构想,包括六个基本理念和一些其他可用的工具;第五部分则通过回顾过去一些重大金融创新的发展历程,论证了构建新金融秩序的可行性。全书构想宏大,结构清晰,逻辑严谨,令人深受启发。

主要内容

1

第一部分

世界在前进,经济风险无处不在

回顾 1950 年以来的历史,假设 1950 年各国就采取生计保险、宏观市场证券、风险分摊合同等风险管理手段,很大程度上能够减轻此后发生的经济危机的冲击,但当时缺乏相应的信息技术手段。反观现实,普通人面对的经济风险复杂多样,科技进步不断带来新的风险并与其他催生经济不确定性的因素相互作用,但人们却习惯于低估风险甚至避讳谈及风险,仅仅通过放弃机会规避风险、依靠家庭分摊风险。因此,我们需要正视风险并以系统性的方式应对风险。由于风险的种类繁多,而且我们对风险的定义并不全面,我们关注的风险管理基本单位应当是综合性经济指标,这也是贯彻本书的一个基本原则。

2

第二部分

科学与技术:构建新金融秩序的手段

数据处理和分析技术的发展使我们可以广泛收集、分析、测算各种经济数据,作为制定相应风险管理办法的基础;电子化支付系统的推广降低了交易成本,促进了交易数量的增加和商业模式的转型;金融产品丰富程度不断增加,提高了改善风险管理的可能性…… 新技术的发明和应用为开发强有力的新型金融手段提供了高效的工具。

新金融秩序想要得到人们的理解,必须从心理学入手,针对人的心理和思维特性设计新型风险管理架构。普通人对自己身处的环境、参照物、心理状态和心理联想等所持有的既有思维框架会对人们的决策过程产生影响,因此新金融秩序的设计必须遵循人的这一思维特性并以创新的方式重塑人们的思维框架。这一理念在本书第三部分得到了充分体现。

3

第三部分

新金融秩序的六个理念

第三部分是本书的主体部分,作者阐述了布局新金融秩序的六个基本理念,前三个主要针对私营领域,后三个主要针对政府行为。

1. 生计保险和住房价值保险

传统的保险往往仅针对特定灾害导致的损失进行赔付,而生计保险和住房价值保险则是扩大保险业务的覆盖范围,保障任何原因导致的收入水平或房屋价值下降都能够得到赔付,通过帮助人们处置人生中最重大的这两种经济风险,保障人们生活无忧。

生计保险是保障个人收入的保险,它以某一集体的综合收入水平指数为参照,形式应呈现高度多样化,可以是保障个人所处职业收入水平逐渐下降时不受侵害的保险,也可以是保障个人特征(如教育经历)逐渐过时后不受伤害的保险等,由于单一个体无法影响集体的收入水平,此种设计可以有效避免道德风险。生计保险可以和残障保险结合,向因残障导致收入减少的人提供重点保障。它也可以和员工持股计划相结合,对冲公司股票下跌的风险。

住房权益保险是保护住房经济价值的保险,以某一地区的住房价格指数而非被保险房屋的实际价格为基础进行赔付,以避免道德风险。

2. 宏观市场

宏观市场是指根据宏观经济数据,如各国的国内生产总值、某类人群的收入水平或特定地区的房地产价格等,编制价值指数并设计证券,个人或机构投资者可以像买卖股票和债券那样在一个全球性的市场交易这些宏观证券。例如美国的保险公司可以以美国国内生产总值为基础发行宏观证券,将融得的资金投资于代表其他多国国内生产总值的宏观证券,这样相当于将美国这一单一国家的风险置换成由世界其他国家国内生产总值共同组成的投资组合的风险,后者的多元化程度高,风险相对分散。从个人角度而言,假如一个美国人购买其他国家的宏观证券,就可以在美国经济表现不如人意时,获得其他国家的经济增长收益。购买其他国家的宏观证券并不改变世界整体的风险,但个人以及各国承担的风险将大幅降低。

新加坡在 2002 年向全体新加坡居民发放的新新加坡股票(NSS)与本书提出的宏观证券类似,其在保底利息收入之外还根据新加坡的经济增长速率支付红利。但这一股票无法交易,因此既不能对冲新加坡的经济风险,也不能帮助其他国家的居民获得新加坡经济增长的收益。

3. 收入挂钩型贷款

收入挂钩型贷款是指银行及其他贷款机构可以根据个人、机构或政府的收入水平决定发放贷款的额度,如果收入水平低于预期,则自动减少贷款余额,同时其还款方式与同类总收入以及承担同样还款计划的主体的平均收入指数挂钩,关联的收入越高,还款的本金和利息就越高。考虑到最基础的经济单位往往不是个人而是家庭,收入挂钩型贷款协议还应针对婚姻状态、家庭成员等情况列明相关条款。破产法应对此作出相应调整,预防因个人破产而免除收入挂钩型贷款的债务,避免贷款人将债务免除产生的成本加到贷款利息上,降低此类贷款的风险管理功能。政府还应采取措施保障此类贷款合同对所有人有效,并预防借款人滥用贷款。

目前市场上已经出现以个人和企业收入为基础的收入挂钩型贷款,耶鲁大学也曾推行学费延交计划(TPO),为学生提供贷款,未来收入较高的学生偿还的数额更高,收入较低的同学偿还的更低。但其与本书倡导的收入挂钩型贷款仍有差距。本书倡导的与同类总收入以及承担同样还款计划的主体的平均收入指数挂钩的贷款能够发挥风险管理的功能,削减借款人收入波动产生的影响,在很大程度上避免借款人破产。

4. 不平等保险

不平等保险实际上并不是保险,而是对累进式税制的修正,即政府通过立法强制规定社会收入差距的上限,再拟定一个公式,根据税前收入的不平等状况,以其计算出不同程度的税率。如果个人收入不平等状况加剧,那么这种税收制度会使高收入群体的税率自动上升,否则维持不变。也即通过自动调整的税率维持一定的收入差距水平,而不是维持一个固定不变的税率体系。同时可以设定税率的上限,避免税率过高抑制人们的工作热情。不平等保险理念并不是主张绝对平均,而是以灵活变动的税率预防不平等问题过度恶化,从而减少民众仇富和社会冲突。

5. 跨代社保体系

 跨代社保体系理念认为应重塑社保体系,构建老年人的福利和年轻人的贡献之间的关联公式,将退休人员获取的社保福利数额与他们年轻时获得的工作收入,以及现在所有劳动者的劳动收入相关联,从而在不同世代之间有效分摊风险。

6. 风险控制国际协议

风险控制国际协议是指由政府代表国民签订国家间的超长期(50 年或 50 年以上)风险管理协议,约定一个公式,使人均国内生产总值(或其他经济指标)超出预期的国家向人均国内生产总值低于预期的国家提供资助,同时可以约定支付总额占国内生产总值的上限,以保证优势国政府有动力参与协议。该协议应当约定各参与国的预期经济增长率作为判断是否应提供资助或获得资助的依据,并根据各国所面临的风险的重大程度、其相对人均国内生产总值以及本国人口计算出各参与国的权重。

目前的风险分摊协议,如欧盟的结构基金,都是在地缘和政治上十分类似的国家之间达成,但理想情况下应促使经济发展状况易产生差异的国家之间签订协议,因为异质个体间面临的风险不同,通过这种协议,他们能够互换各自国家不可预见的国内生产总值的增量,从而对冲风险,实现双赢。

4

第四部分

构建新金融秩序

这一部分讨论了构建新金融秩序可用的其他工具,和新金融秩序成为现实所需的研究和推广工作。

1. 全球风险信息数据库

全球风险信息数据库是构建新金融秩序的根基,主要提供收入水平和资产价格等信息,可以对信息进行精确细分、持续更新。建设全球风险信息库首先应由政府牵头制定相关标准和法律,规定该信息库储存的信息范围、个人隐私保护规则等,并以法律保障根据该数据库签订的协议,如生计保险等,能够得到有效执行。该数据库可以与其他制度结合,例如与税收体制结合,作为计算应纳税额的基础;与慈善捐助结合,在数据库中建立二级系统,统计需要慈善捐助的信息等。全球风险信息数据库可以为人们提供及时、准确、丰富的金融信息,让人们以这些信息为基础签订有效的协议,对冲未来的风险。

2. 新计量单位和电子货币

通货膨胀的根源是经济计量单位的不确定性,采用新计量单位 —— 随通货膨胀率波动的指数型会计单位有助于减少通货膨胀给人们带来的不确定冲击,电子货币和电子支付系统的应用可以使这种单位的使用更加方便。

智利 1967 年创设的 “发展单位” UF (Unidad de Fomento) 是全世界第一个指数型会计单位,它与智利货币比索挂钩,由央行根据智利消费者价格指数变动每日调整,被 UF 所标价的物品将保持价格不变,但它与比索的汇率会有所波动。例如,若一间房子的租金为每月 20UF,在通胀情况下实际支付的比索就会增加,以此保障租房获得比索的实际价值。

 3. 新金融秩序:从理论到现实

一方面,要结合全球风险信息数据库进一步研究风险,发现风险并测算分摊风险的机遇;另一方面,必须面向公众进行宣传,政府、商界领袖、工会、专业协会以及慈善公益组织应共同推广新型风险管理工具,消除人们对新金融秩序的抵抗性。

5

第五部分

新金融秩序:让世界变得完美、有序

通过回顾历史上出现的一些激进的金融创新,作者分析了未来产生同样激进的金融创新的可能性。在私营领域,作者分析了货币、股票市场、期货市场和人寿保险出现的过程,这些金融创新的推广和普及经历了漫长的过程,尽管起初人们看不到它们成功的希望,但它们最终都迅速在世界各地传播开来。在政府主导的社会保险创新中,作者分析了什一税和天课、所得税、低收入补贴、所得税抵免、医疗和意外保险、社会保险以及失业保险的发展历程,这些社会保险手段的进步主要受到新信息技术的影响,但都尚不具备国际化的特点。作者认为这些过去的金融创新和他所倡导的变革有相似的缓慢进程,因此未来构建新金融秩序也就成为可能。

结语

作者在前言中指出,本书并不是 “提供一幅完善的发展蓝图,与之相反,本书提出的只是发展方向”,随着金融、心理学和信息技术的创新发展,本书提到的观点将不断被更新。不论本书的构想最终能否实现,作者提出的金融创新应考虑心理学特别是人的思维惯性、通过大规模风险共担控制风险、开展风险控制方面的国际合作等理念对我国防范化解金融风险、保障经济平稳运行无疑具有重要参考价值。

金融小知识     

  • 1. 金融分投资、融资。融资:希望借(拿)到钱;投资:希望把钱投出去,未来赚到钱。
  • 2. 不管投资还是融资,可以通过两种最基本的方式(金融工具)来完成,就是股权和债权。债权:本金 + 利息(事先约定好的)股权:分红(事先无法承诺,获得收益后再行分配)
  •  3. 金融机构,是按照国家相关法律法规,取得一定经营资格的,能够从事金融活动的机构。金融机构从大体上可以分为:股权类、债权类、中介服务平台类。

叙事经济学#

image

罗伯特・希勒(Robert J. Shiller),美国经济学家、畅销书作家,耶鲁大学经济学斯特林(Sterling)讲席教授,当代行为金融学主要创始人,标准普尔 / 凯斯 - 希勒房价指数开创者。他长于运用数学分析和行为分析相结合的方法研究投机市场中的价格波动,在金融市场、行为经济学、宏观经济学、不动产、统计方法及市场公众态度、道德判断、公共选择等方面贡献良多。2013 年,因 “资产价格实证分析方面的贡献”,罗伯特・希勒被授予诺贝尔经济学奖。
作品简介

耶鲁大学经济学教授罗伯特・希勒在《叙事经济学》一书中,独辟蹊径地将 “叙事” 引入经济学领域,将过去依赖于抽象建模和数理统计的经济学还原到有温度、有感知的生活切片或历史场景中,人们的言谈、议题和故事,成为解构经济现象的重要维度。

叙事经济学的核心要旨,是以参与者而不是旁观者的视角,将时代中的重要事件作为背景,将人们复杂变化的信念作为研究核心,将事实背后的深层社会心理因素、情感因素,纳入可感知的范畴。本书共四篇,第一篇介绍了引自医学和历史等多个研究领域的基本概念,并列举了读者耳熟能详的两个叙事实例;第二篇提出了一系列构想,帮助指导我们对经济叙事的思考,并防止我们在思考过程中犯下错误;第三篇回顾了九个长期叙事,事实证明它们能够影响重要的经济决策;第四篇展望未来,并对叙事在当下这个历史节点上会带领我们走向何方、未来什么样的研究可以提高我们对叙事的认识等提出了一些看法;第四篇之后的附录将叙事分析与流行病医学理论相结合。

《叙事经济学》课程强调了叙事即故事在经济理论中的重要性。通过这个简短的课程,学习者能够了解到公共信念是如何被故事塑造的,以及这些信念如何又反过来影响我们的决策。历史上的决策路径,能够帮助我们理解今天的经济。

Robert Shiller 教授,耶鲁大学经济学斯特林教席,2013 年诺奖获得者。
https://som.yale.edu/faculty-research/faculty-directory/robert-j-shiller

image

课程大纲课程分为四个模块:

IMG_20241211_202027
如果人们有经济动机,人们会对这些动机做出理性反应的话,经济如何运转?如果人们有经济动机 & 非理性反应,经济如何运转?如果人们有非经济动机 & 理性反应,经济如何运转?如果人们有非经济动机 & 非理性反应,经济如何运转?
叙事 Narrative 包含了真相和知识,并且非常有用。为什么有些叙事会突然走红,像病毒一样传播,是因为这些叙事反映了人们思维的变化,而大众思维的变化是重大经济事件发生的原因。

人的行为不同是因为每个人底层的信念系统不同,映射在经济领域,是人的风险意识和对未来的预期不同。人是如何形成这些预期的,怎么对未来形成的预测,是受到我们所处的环境、语境和历史趋势的影响的。叙事经济学虽然在讲人性,但它更加宏观,长焦。

结合 “主动推理与大脑的预测理论”,我们会意识到:在市场中面对的是一个个预测性的大脑,生成模型会受到信念系统或者当下流行叙事的影响。人们要么改变信念,要么改变世界。

模块一:引言
这一模块介绍了叙事经济学的基本概念,并展示了流行故事是如何随着时间的推移而改变从而影响经济结果的,包括经济衰退和其他重要经济现象。这些故事可以来自政治、媒体甚至流行歌曲等多种来源。

模块二:叙事经济学的七个命题
在这一模块中,课程探索了为什么某些故事会迅速传播,而另一些却被遗忘。通过列出七个命题,课程帮助学习者系统地分析经济叙事。

模块三:永恒的经济叙事
第三个模块考察了九个能够影响重大经济决策的永恒叙事,包括关于人工智能、股市泡沫和就业不安全感的故事。

模块四:合众
最后一模块展望未来,强调叙事经济学的合众机会,分享了关于叙事如何影响我们未来的思考。

总结与推荐

总之,叙事经济学课程提供了一个有趣且重要的视角,帮助我们理解经济现象。在这个信息爆炸的时代,能够解读和应用叙事的能力尤为重要。因此,我非常推荐这个课程,无论你是学生、工作人士,还是对经济感兴趣的普通人。

您将学到什么

某些故事是如何以及为什么会成为病毒式传播的

病毒性叙事如何塑造公众信念并影响我们的决策。

** 作品主要内容
**

01

何为叙事经济学?

叙事是文化、时代思潮和经济行为发生快速变化的主要载体。“叙事” 一词的含义不止于故事或者讲述,归根结底,叙事是历史、文化、时代精神以及个体选择相结合的载体,甚至是一种集体共情。某种程度上,它是在解释或说明一个社会、一个时期的重要公共信念,而信念一旦形成,将潜移默化或者直接影响每个人的经济行为。正是这些特性,使叙事传播成为一个非常重要的经济变化机制和关键预测变量。理解了叙事,就有可能理解普遍的价值认同,从而获得真正理解经济运行机制的能力。

叙事经济学向我们展示了流行故事如何随着时间的推移而改变,从而对经济结果产生影响,这其中不仅包括衰退和萧条,还包括其他重要的经济现象。当代大多数经济学家倾向于认为流行叙事 “并非我们的研究领域”,但事实上叙事研究与叙事的经济影响之间是存在空白的。对于复杂经济的研究,我们必须将诸多与经济决策相关但相互对立的流行叙事和观点纳入考量,而暂且不论这些观点是否是正确的。

02

叙事经济学的缘起

叙事经济学研究的是影响经济行为的流行叙事的病毒式传播,它可以提高我们预测经济事件并未雨绸缪的能力,还可以帮助我们制定经济制度和政策。

经济波动主要是由各种过度简化且易于转述传播的经济叙事驱动的。经济叙事指的是有可能改变人们经济决策的传播性故事,通常不是特别突出的叙事,而要想识别它们就必须考量它们改变经济行为的可能性。大规模的经济叙事通常是由一系列较小规模的叙事组成的。每则小叙事都有可能代表着大故事的一部分,但我们需要看到完整的组合才能识别完整的主题。如果我们想知道异常重大的经济事件为什么会发生,就需要列出看似无关的叙事,这些叙事几乎在同一时间像病毒一样传播,并往同一方向影响着经济。然而,我们必须要认识到,重大经济事件通常并不是由单一的叙事星座造成的。重大事件之所以发生,或是因为叙事中看似无关紧要的变化(这些变化有着较高的传播率和较低的遗忘率),或是先发制人效应使得一组叙事在竞争中拔得头筹。

为什么有些叙事会出现病毒式传播?答案取决于与经济环境相互作用的人类元素。叙事是一种独特的人类现象,人类思维会将事件形成一种嵌入社会交往的叙事,从而努力实现对事件的持续理解。除了一些简单且可以预测的规律之外,人类的思维网络在选择让叙事出现病毒式传播时具有高度的随机性。叙事的传播往往是某些随机细节的结果,比如叙事与其他传播性叙事的天然关联。在进化生物学和叙事经济学中,某种装饰或摆设的流行可能仅仅是因为它随机流行了起来,除此之外别无他因。

03

叙事经济学的理论基础

该部分研究了叙事经济学的一些组织原则,介绍了叙事经济学的主要基础,其中关键问题是在分散而又界定不明的叙事星座与现实的经济活动之间建立起因果关系。

因果关系不但存在,而且是双向的:新的传播性叙事导向经济事件,经济事件再导向改头换面的叙事。经济学领域之外的对照实验已经揭示了叙事对人类行为的影响,新的叙事可以被解读为外生因素,帮助我们识别更多的准对照实验。经济学家无法进行整体经济的对照实验,因此判定并解析经济叙事的构成要素就成为重中之重,而故事就是其中一个重要组成部分。

叙事是故事的一种特定形式,指出了重要元素及他们对接受者的意义,并通常采取对真实或虚构事件进行叙述的形式。很多时候,被描述的特定事件只不过是在渲染某个概念并使它更具传播力。人们倾向于分享能够强化自我观念的内容,特定叙事的传播可能与故事讲述者对他人所持想法的印象有关。同时,对过往痛苦经历的记忆以及叙事形式传播的对他人经历的记忆也可能会决定人们采取的行动 —— 这些记忆都可能会导致人们做出某些经济决策。

除了具有故事般的结构之外,我们的记忆往往会聚焦于少数突出的随机画面,这意味着一种离散且可识别的因果刺激,与叙事短暂接触而导致此后长时间内经济行为的变化 —— 这种记忆可被视为闪光灯记忆。人类往往会被看似随意的故事细节触动,闪光灯记忆正体现了这种倾向。

此外,该部分介绍了关于经济叙事的七个基本构想,分别为:

(1)流行趋势可快可慢、可大可小。流行趋势的时间表和规模有可能天差地别。

(2)重要的经济叙事可能只包含一小部分热门话题。传播率不高的叙事仍可能有经济上的重要性。

(3)叙事星座比单一叙事更具影响力。

(4)叙事的经济影响可能会随时间的推移而变化。

(5)真相不足以阻止虚假叙事。

(6)经济叙事的传播力取决于重复概率。

(7)叙事大行其道依赖附属元素:人情味、身份认同和爱国情怀。

通过这些构想,我们可以解析具有历史重要性的叙事,并在新的叙事酝酿过程中识别它们。

04

长期经济叙事

该部分以经济叙事的七个构想为框架,列出了九个持续多年的重要叙事星座,通过审视具有重要历史意义的经济叙事,从而探明我们可以从经济叙事及其在现实世界的影像中学到的内容。这些与时俱变的叙事会改变大众对经济的认识、对经济现实的看法,并创造出新的观点来阐述什么是有意义的、重要的、道德的,或者提出心得个人行为脚本,从而影响经济行为。该部分展示了这些长期叙事对当今社会方方面面不断变化的影响。

(一)关于经济叙事的复发与变异

叙事或叙事周边环境的变异有可能让叙事与经济决策产生更大的关联,从而使之变成经济叙事。变异也可能加强传播力,但扭曲了原有的故事,这样一来它就不再是同一则经济叙事,可能会演变成不同的寓意或训诫。即使叙事出现的时间与经济事件的时间并不重合,叙事也有可能与经济事件相关。

导致叙事复发的变异有可能是随机情况,但更有可能是一些具有创造性思维的人参与了叙事中某些元素的设计,因此,重复出现的经济叙事往往具有国际性。

(二)关于九个长期经济叙事及其变异和复发

1、恐慌与信心

自 19 世纪初以来,有关信心的一大类叙事影响了经济波动,即人们对银行、商业、彼此以及经济的信心。从经济角度看,这其中最重要的故事是那些涉及他人信心和提振公众信心的故事。工业化经济史上出现过几类信心叙事:第一,金融恐慌叙事,这类叙事反映了有关银行业危机的心理故事;第二,商业信心叙事,这类叙事将滞缓的经济活动更多地归因于普遍的悲观主义和不愿扩大业务或雇佣工人的心态,而不是归因于金融危机;第三,消费者信心叙事,这类叙事将销售低迷归因于个人消费者的担忧,消费者突然对消费的减少足以造成一场经济衰退。叙事会传播商业亏损流言并降低消费者信心,因此加强叙事自我审查可能会加剧恐慌,有时也确实出现了这种效果。人们意识到其他人在自我审查,于是他们会进一步试图解读各种公告的言外之意,以求判明 “真相”。

2、节俭与炫耀性消费

比起信心和恐惧叙事星座,关于谦虚、共情和简单生活的叙事星座给人留下的记忆要浅得多,但是仍在人们的记忆中占有一席之地。节俭与炫耀性消费叙事都是重要的经济叙事,能够影响人们的消费或储蓄模式,从而影响整体经济状况。事实上,这些叙事有可能会产生超出经济学家和政策制定者预期的深远的经济影响。

3、金本位制与金银复本位制

可以追溯至一个世纪之前的金本位制叙事在长期经济叙事中尤为突出,时至今日仍然颇为活跃。有关黄金和货币的叙事有着独特的情感基调,类似于我们如今在加密货币叙事中看到的那些情感。事实上,金本位制历来与长期通货紧缩和其他经济问题相关联。此外,关于金本位制的叙事一向两极分化、矛盾重重,就像近年来的加密货币叙事一样。正如时下的比特币展现的那样,货币叙事的魔力显然并未削减,它们很有可能在未来出现新的变化,而这种变化将引起一部分公众的关注,影响未来的经济发展。

4、劳动节约型机器取代多种工作岗位

在 1920-1921 年的萧条时期,劳动节约型机器的叙事再次变化,开始提出机器人的想法。在 1921 年的捷克戏剧《罗素姆的万能机器人》中创造了机器人这个词,它取自捷克语的 “工人” 一词,用以取代之前的 “劳动节约型发明和自动机” 术语。这出戏剧及其构想的病毒式传播程度使 “机器人” 一词进入了全球大多数语言,这些叙事风行一时,又逐渐沉寂。二战后,劳动节约型机器的叙事改头换面,而这一次转变似乎又重视起人类智慧及人类大脑 —— 叙事转向了新的 “电子大脑”,即计算机。

5、自动化和人工智能几乎取代所有工作

声称技术性失业对未来构成问题的叙事并没有随着二战销声匿迹。事实上,它反复变异并呈现出不同的传播力,而且经常与 “自动化” 或 “人工智能” 这两个术语关联在一起。叙事经常以变异的形式死灰复燃。有些时候,新的叙事使用新的词语,但有些时候,某个旧词又会卷土重来。没有人能够预测劳动节约型和智能型机器在未来对谋生手段和工作会产生什么影响,但这些叙事本身就有可能对经济繁荣和衰退以及公共政策起到放大作用,例如有关人工智能和机器学习取代人类智慧并弃用熟练工人的叙事造成了支出和创业模式的不稳定。

6、房地产繁荣与萧条

房地产叙事,即讲述土地、住房、地段和房屋价值时常大幅增长的故事,是最著名的经济叙事之一。房地产信心完全不同于经济信心,人们往往将这两者视为不同的东西。房地产被视为一种个人资产,个人观点也许能对之产生影响,而经济则被视为无数作用力下的产物。然而,房地产也是一种社会知情资产(socially informed asset),其价值取决于人们如何与邻居及其他人暗做比较。

7、股市泡沫

股市泡沫叙事讲述的是刺激和冒险故事,以及比较富有的人买卖证券的故事。同房地产叙事一样,股市泡沫叙事的驱动因素也是社会比较。由于这些叙事受到心理因素的推动,而且股价与大众信心有关,因此它们也与信心和恐慌叙事有关。但是,股票市场又不同于整体经济,造成并维持股市泡沫的叙事构成了一个独立的叙事星座,具有不同的传播路径和传播源。政策制定者也许可以从房地产泡沫和股市崩盘叙事中吸取一些教训:在经济动荡期间,透过头条新闻和统计数据,可以看到具有真正分析价值的东西。

8、杯葛(即抵制)、奸商和邪恶企业

针对企业的愤怒情绪会随着时间而变化,其呈现形式有可能导致经济行为发生重大变化。当消费品价格大幅上涨时,人们可能就会开始觉得企业是邪恶的,此时,叙事将价格上涨归咎于企业的盛气凌人。在通胀结束之后,如果公众认为价格仍然过高的话,那公众的愤怒就有可能会持续下去。愤怒也有可能在企业削减工资的时候被激化,既有可能导致有组织的杯葛(即抵制)活动,也有可能导致民众自发地将消费推迟至价格降低之后。在这种情况下,人们会从道德层面审视自己的支出决定,而不仅仅只是为了满足自身需求。

9、工资 —— 物价的螺旋式上升和邪恶工会

工资 —— 物价螺旋式上升叙事的终结以货币政策变化和新近出现的流行观点为标志,即独立的中央银行和中央银行的通胀目标制。工资 —— 物价螺旋式上升的叙事似乎没有重新出现的迹象,但是如果通胀率再度上升的话,叙事就有可能改头换面重新登场。工资 —— 物价螺旋式上升叙事,或者这一主题的某种变体,可能会再次使经济主体产生强烈的想要跑赢通胀的冲动。它会引入道德维度,指出通胀的罪魁祸首并代入某些名人或某些阶层,从而赋予人们新的热情。

(三)长期叙事:总结

本书第三篇的九个叙事星座让我们得以一窥那些推动经济繁荣与萧条的叙事力量。我们可以从中学到一条宝贵的经验 —— 那就是叙事图景的极端复杂性。没有哪一个单项民意指数,如消费者信心指数,可以概括经济的 “力量”。希勒教授用生物学做了一个生动的类比,即 “在各种时期登上舞台的各种叙事都有很多细胞受体和信号分子”,而现代通信手段意味着新的不同种类的流行成为可能,因此,经济预测需要密切关注多种不同的叙事。

05

发展中的叙事经济学

关于叙事经济学的研究已经展开,也必然会继续下去,但是,这一研究在未来是否能够达到足够的规模?有关叙事经济学的实质性研究将如何有效地利用不断增多的大量数字化数据?叙事经济学会帮助我们建立更好、更准确的经济模型,从而在经济危机开始或失控之前就做出预测吗?

要想取得进展,我们需要认识到,收集更好的数据并将我们从数据中得出的认识整合到现有经济模型中是非常重要的。现如今的研究需要在叙事追踪和量化方面做出改进。文本分析可以进一步探究推动经济事件的各种反馈机制,还会帮助我们更好地理解我们经历过的故意操纵和欺骗,并帮助我们制定将叙事纳入考量的经济政策。

我们需要研究那些当下被认为与经济学无关的问题,也需要与具有不同视角的非经济学家开展合作。比如,我们可以结合数理流行病学等其他领域的数理见解,在数理经济学和人文科学之间建立联系。心理学、神经科学和人工智能的进步也将改善我们在叙事经济学中的结构感知。

我们必须扩大可用数据的规模,将诸多经济叙事放在一起进行分析研究。我们需要改进现有的搜索引擎,让它们可以更好地测量叙事的时变发生率。我们至少应该每年收集一次有关经济叙事的时间序列数据,而且要持续数十年不间断并涵盖多个国家和多种语言。

我们必须将不断变化的叙事流行纳入预测模型。我们现在就应当开始收集更多有关叙事的信息:经济学家应当采取更切实的措施来收集叙事的时间序列数据,不再只是被动地收集他人的言语,而是通过实验来揭晓其含义和目的。

结语

经济研究一直没有重视人们相互传播的有关自身经济生活的故事,因而错过了以叙事形式传递出来的明显含义。基于此,本书关注的不是提出新的叙事,而是研究其他人对重大经济事件的讲述,即像病毒般传播的流行叙事。希勒教授在使用 “叙事经济学” 这个术语时,侧重点在于一方面以故事为载体的观点被人口口相传,另一方面是人们努力生成新的可传播故事或是让故事更具传播力。

《叙事经济学》一书对经济学的反思、商业世界的追问以及金融投资领域的关切,无不使人们感受到炽热的人文精神。本书鼓励人们识别那些能够帮助定义重大经济事件(如萧条、衰退或长期停滞)的经济叙事并进行思考,有助于提高人们预测和处理这些事件的能力。

正如本书推荐序中提到的那样:“这是一本理解过去和未来的书,相信每个人都能从叙事经济学中找到理解这个时代的答案。”

经济波动主要是由各种过度简化且易于转述传播的经济叙事驱动的。这些观点给人们零散的思想和行动染上了颜色。在一次历史性的流行之中,对大多数人来说,叙事将成为他们决定做什么或不做什么的原因所在,而这将对经济产生影响。流行理论在普通大众中呈现向上的传播趋势,但只会持续一段时间。如果不改头换面,它们就会逐渐消退。大规模经济叙事通常是由一系列较小规模的叙事组成,每则小叙事都有可能代表着大故事的一部分,但我们需要看到完整的组合才能识别完整的主题。叙事的可信度依赖于现存的其他一系列叙事,有了其他叙事为背景,它们会显得合理而有趣。有些叙事可能在高峰期只影响了一小部分人群,但如果这一部分人群大幅削减支出,那这一叙事就有可能起到非常重要的作用。如果我们想知道异常重大的经济事件为什么会发生,就需要列出看似无关的叙事,这些叙事几乎在同一时间像病毒一样传播,并往同一个方向影响着经济。

为何少数经济叙事能够出现病毒式传播而大多数叙事并不能流行起来?我们很难确切地说明或量化个中原因。答案取决于一个与经济环境相互作用的人类元素。除了一些简单且可以预测的规律之外,人类的思维网络在选择让哪些叙事出现病毒式传播的时候差不多就像一个随机数字发生器。该随机性既因为哪些故事变得更有传播力是随机的,也与我们个人生活和关注点在某些瞬间的状态有关,这些因素可能会导致公众对某些特定叙事大感兴趣。人类的叙事能够激发恐惧,这种力量源自如下事实:信息可以在没有观察到任何恐惧诱因的情况下得到传播。如果叙事强大到足以促生显著的情绪反应,它就可以产生强烈的反应,比如本能的战斗或逃跑反应。人类思维似乎对阴谋有着天生的兴趣,往往因为想要保护自己免受他人阴谋伤害而形成个人身份或对朋友的忠诚。这种倾向似乎与人类的互助模式和同仇敌忾模式颇有关联,人们发现这两种倾向与经济行为是相关的,即愿意讨价还价或急于惩罚不公平行为,即使这样做意味着经济损失。哪怕是最复杂的事件链,人类也倾向于形成简单的叙事,即使最善于分析的头脑也会受到这种倾向的影响。当人们在模棱两可的情境下不知道该如何表现的时候,可能会回想起一些叙事并将自己带入他们听说过的某个角色,就好象在演一场自己以前看过的戏剧。

重大事件之所以发生,或是因为叙事中看似无关紧要的变化(这些变化有着较高的传播率和较低的遗忘率),或是因为先发制人效应使得一组叙事在竞争中拔得头筹。叙事研究中最棘手的挑战之一是预测传染率和康复率这两个至关重要的因素。尽管流行病学家和其他学者做了很多工作,我们还是无法准确地观察造成传播的心理过程和社会过程,因此很难搞明白它们是如何发展的。任何程度的恐惧都依赖于同样的大脑回路。在没有逻辑答案或解决方案的困境下,比如,在决定是否进行风险投资的时候,人类意识可能会将决定权委托给某个与老鼠类似的脑回路。在这种情况下,对过往痛苦的记忆以及以叙事形式传播的对他人经历的记忆可能会决定人们采取的行动,在某些时候,它们可能会导致一些令人遗憾的经济决策。恐惧的减少可能反映了恐惧逐渐消退的过程,如果叙事出现戏剧性的新进展或变化,这一过程有可能会被逆转。人类有一种强烈倾向,要在自己心里形成他人内心活动的模型,我们会思考别人在想什么,也即他们的个人想法。我们观察他们的行为、面部表情和语调,然后再将这些与他们的信念和意图联系起来。特定叙事的传播可能与故事讲述者对他人所持想法的印象有关。人们喜欢听的是那种可以向别人转述并让别人喜欢的故事,因此故事讲述者喜欢讲述这样的故事。

因果关系是双向的:新的传播性叙事导向经济事件,经济事件再导向改头换面的叙事。流行趋势可快可慢、可大可小,其时间表和规模有可能天差地别。重要的经济叙事可能只包含一小部分热门话题,传播率不高的叙事仍可能有其经济上的重要性。叙事星座比单一叙事更有影响力。叙事的经济影响可能会随时间的推移而变化,在叙事随时间演变的时候,不断变化的细节非常重要。真相不足以阻止虚假叙事,真相很重要,但前提是它得显而易见才行。经济叙事的传播力取决于重复概率,反复强化非常重要。叙事大行其道依赖附属元素:人情味、身份认同和爱国情怀。

叙事的考验 — 关于罗伯特・希勒的《叙事经济学》 – Effie Blog 叙事的考验 — 关于罗伯特・希勒的《叙事经济学》

叙事的考验 — 关于罗伯特・希勒的《叙事经济学》

在学习不少主流经济学后,我渐渐感到一种与主流之间愈发扩大的距离感。究其原因,无疑是因为我们每天都要和现实的经济社会不停打交道,而主流经济学却好像和现实总会隔着一些距离 — 模型越复杂、假设越精密、推导越巧妙,便与现实的适应性越有限。

后来我也了解到,相关质疑、自嘲甚至也出现在身为经济学研究中心的美国经济学界内部:比如,微观经济学的大多数研究结论几乎都是常识,不研究也大致知道结果;而宏观经济学因为宏观政策影响每一个人而使得人人都在关心,但其在预测方面的表现却十分糟糕。

正是在我经常性地思考这种主流理论与身边现实的矛盾中,罗伯特・希勒教授和他的叙事经济学进入了视线。在更加通俗的介绍中,希勒教授以他在耶鲁大学的教授职位、2013 年诺贝尔经济学奖得主和著名行为金融学家的身份而被多数人所了解。然而,对我来说,我更多是在去年的书讯中看到了这本中译本《叙事经济学》的介绍,并被它着重考察现实经济社会的关键特质所打动,顺势走上了阅读叙事经济学的道路。

传统经济学的新分支 —— 叙事经济学#

纵观主流宏、微观经济学的发展简史,从瓦尔拉斯的一般均衡到马歇尔的局部均衡,以及所有经济学生都避不开的总供给、总需求,无不建立在两大关键假定上,即理性经济人假设与完全信息假说。

这种学说考察的更多是假定的理性人经济人和统计意义上的平均人,从而实现综合总量的研究。

而在行为经济学的发展脉络中,每当研究人这一对象,考察的都是一个个实施真实行为的、具体的人。

比如奥地利学派的集大成者路德维希・冯・米塞斯在他的著作《人的行为》中,便由真实个人行为出发,总结出了人的行为是有目的的这一第一公理。

而希勒的叙事经济学的核心逻辑,则是考察流行叙事对经济社会和人的行为的影响。其中的关键研究工具,是从医学中援引而来的流行病学模型。

在这里,叙事 (narrative) 指的是故事的一种特殊形式。具有历史、文化、时代精神、个体选择等多重因素的故事,会经过公众的口口相传和舆论媒体的派生效应变得家喻户晓,进而成为一个社会、一个时期的重要公共信念。这种强调故事内部重要元素及其对接收者意义的特点,恰是叙事区分于普通故事的特殊之处。

顺着叙事的概念界定,我不禁联想到近年来逐渐热门化的跨学科概念,话语 (discourse). 这个原本来自语言学的名词,如今越来越多地与对外传播、舆情研究、国际问题研究等领域紧密相连。

语言学家威多森 (H.G. Widdowson) 最初将话语定义为句子组合的使用,凡・代克 (van Dijk) 则认为话语是一个交际事件和各种意义的集合;后来,结合地理学家哈维 (David Harvey) 对社会实践及其活动类型、时空定位、物质资源、人物特征等不同元素的研究,话语研究学者费尔克劳 (Fairclough) 总结出了物质、社会、文化心理和抽象意义四种相互链接、辩证实现的话语。话语概念的这种流变,对于理解叙事在经济学中的融入应当有着不少借鉴意义。

叙事扮演何种角色?#

为了让叙事在经济运行中的角色更容易被理解,希勒在《叙事经济学》的开篇便直观地运用叙事经济学的研究范式分析了比特币与区块链技术缘何一度火爆异常。

比特币诞生在 2008 年金融危机爆发后不久,2017 年其价格一度突破 1000 美元。

回首 2008 年,受到金融危机的影响,市场正遍布着对于金融监管的不信任情绪,以及对于去中心化所带来的不被干涉、保护隐私等特点的向往,这一切,助推了比特币波澜起伏却繁荣至今的盛况。而比特币的创立者中本聪,时至今日也仍然是个神秘人,没有人知道他究竟是谁,甚至没有人敢断定他真实存在。

与此同时,区块链技术带有的高科技色彩,加之比特币价格快速上升中演绎出的风口效应,连同年轻人在这一过程中被激发出的 FOMO (Fear of Missing Out, 害怕错过)的心态,这一切共同构成了催生比特币和区块链热度迅速蹿升的完美经济叙事。

比特币的例子恰切地体现出了经济叙事在传播和影响中类似于流行病毒的传染性,这也正是希勒开展叙事研究的切入点。

希勒认为,经济和社会现象背后的流行叙事很像流行性感冒:

  • 一方面,流感病毒从感染到爆发有潜伏期,更在爆发后有着不断变异、反复爆发的特点,这些像极了经济叙事在流行过程中广泛存在的蛰伏、变异、重新流行等现象;
  • 另一方面,流感病毒从爆发、传播和结束,在流行病学的模型中取决于感染率和康复率,这也和叙事传播时的特征高度吻合。

大的叙事背后往往是一系列叙事的组合,也即叙事星球;一些较早的叙事也为另一些较晚的叙事提供着背景。

假定与困境#

任何经济学的科学模型都离不开一些基本假定,叙事经济学也不例外。

在简单介绍以比特币为代表的引例后,希勒给出了他的七个关键构想。当然,即使是假定,这些构想也更多像是源于真实经验的抽象,而非出于经济统计意义上的便利:

  1. 流行趋势可快可慢、可大可小;
  2. 重要的经济叙事可能只包含一小部分热门话题;
  3. 叙事星座比单一叙事更具影响力;
  4. 叙事的经济影响可能会随着时间的推移而变化;
  5. 真相不足以阻止虚假叙事的传播;
  6. 经济叙事的传播力取决于重复概率;
  7. 叙事大行其道依赖附属元素,例如人情味、身份认同、爱国情怀等等。

除了这些基本假定,希勒同时探讨了有关考察问题时的因果逻辑的问题。

比如,有时我们可能会面临着错误因果,特别是在分析叙事的经济影响时,难免遇到混淆其因果传导方向的时候。

更重要的是,比起其他的各种科学,经济学及经济学家的一个尴尬之处,在于他们难以开展整体的对照试验用以印证猜想与推论;因而,对于叙事经济学而言,虽然希勒们仍在努力寻找更多可行的路径,但如今仍然只能主要依赖于经济史学的研究。

作用和机理#

《叙事经济学》的主体,用了全书近六成的篇幅,采取案例分析式的行为经济学基本研究方法,着重研究和介绍了经济发展史中的九个最具代表性的长期经济叙事,以及它们的变异复发与对经济社会影响的作用机理 **。** 其中包括了恐慌与信心、节俭与炫耀性消费、金本位制与金银复本位制、房地产繁荣与萧条、股市泡沫等等。

希勒指出,对于公众而言,最为熟知的一大经典经济叙事无疑是 1929 年前的经济疯狂繁荣、与其后 1929 年至 1933 年的大萧条。

前者的疯狂体现在人人都在抢着推荐股票,其间的一则鞋童叙事讲述到,一个鞋童给一位华尔街的大人物(虽然故事的准确版本存疑,甚至故事本身的真实性也还不能得到数据佐证,具体是哪位大人物并不重要)在擦鞋时竟然都在忙着提出股市投资建议,而这恰恰引发了那位大人物的注意,立刻在 1929 年股市冲上顶峰之前便及时卖出股票。

在这里,除了叙事本身的威力与魔力外,同样重要的还有这位大人物的采风意识。

希勒认为,社会公众对大事件的认知并非绝对的偶然,许多时候恰恰是一叶知秋;因此,旨在了解叙事的采风,便能考察到普罗大众对于重大事件的认知。

为此,在另一个经济史的经典例子里,希勒也给出了另一种解读,此事便是凡尔赛和会之后,时任英国财政部首席代表凯恩斯因对索赔方案不满愤而辞职。希勒认为,他之所以对索赔方案不满和对未来充满悲观,很大程度上是因为他听到了社会公众在经济凋敝的大环境中,对于《凡尔赛和约》的悲观解读,而这种来自大众的群体意识是不应忽略的。

总的来看,叙事经济学是一次跨学科的研究探索,借由叙事或话语这一线索,分析它们对于人的认知、行为及经济决策的影响。

如今,大众传媒已经越来越强地发挥着选择、传播、创造、共享信息的作用,无论是娱乐至死还是乌合之众也都愈发普遍地进入了大部分人的认知。可以说,现今已经是一个格外强调传播、尤其是病毒式传播的社交媒体时代;相应地,主动塑造和影响叙事和话语对于经济决策、创业创新本身也具有重要意义。

希勒便说,

“好的商业叙事可以被各方参与者所利用,并且最终改变人的认知和行为,推动商业模式的流行,甚至影响到许多国家的政策。”

无论是房地产繁荣还是节俭与炫耀式消费的叙事,都印证着这一点。

而自 2020 年以来,新型冠状病毒肺炎疫情这一重大突发公共卫生事件,成为了对经济社会产生巨大影响的一个全新的外生变量。与此同时,新冠肺炎病毒既为所有公众更加深刻地理解流行病学的病毒传染模型提供了最直观的样本,其本身又可以成为一种新的叙事。新冠叙事何去何从,一定会是叙事经济学的鲜活案例。

值得展望的未来#

当然,时至今日,叙事经济学及其所在的更大范畴,行为经济学,在经济学的大花丛中仍然只能算是小众的一支、边缘的一簇,至少它们都远没有发展到被写进宏观经济学教科书的程度 —— 到那时或许才能算得上是被主流接纳。

然而,无论流派如何划分、纷争,所谓的主流,即新古典综合派的宏微观经济学分析框架,却必须正视越来越多来自叙事的考验了。尤其是在当下新冠肺炎疫情肆虐、经济冲击空前、许多精密模型的假定失效的宏、微观背景下,当那些叙事的构成元素正对现实经济社会产生现实影响、却并不能被所谓完美的模型所容纳和分析的时候,叙事经济学带来方法论变革挑战应当引起人们对于真实世界中真实人的真实行为多一些关注。

笔记,《叙事经济学》 - 哔哩哔哩 “叙事” 一词的含义不止于故事或者讲述,归根结底,叙事是历史、文化、时代精神以及个体选择相结合的载体,甚至是一种集体共情。

“叙事” 一词的含义不止于故事或者讲述,归根结底,叙事是历史、文化、时代精神以及个体选择相结合的载体,甚至是一种集体共情。某种程度上,它是在解释或说明一个社会、一个时期的重要公共信念,而信念一旦形成,将潜移默化或者直接影响每个人的经济行为。正是这些特性,使叙事传播成为一个非常重要的经济变化机制和关键预测变量。诸如对市场下跌的恐慌、对未来经济增长的信心、对技术替代的批判以及投资的情绪波动等,这些长期的、变化的叙事载体,无论是对消费者、企业家、投资人,还是对决策者,都将产生非常重要的影响。

上述叙事经济学的核心要旨,是将时代中的重要事件作为背景,将人们复杂变化的信念作为研究核心,将事实背后的深层社会心理因素、情感因素,纳入可感知的范畴。理解了叙事,就有可能理解普遍的价值认同,从而获得真正理解经济运行机制的能力。

一旦理解了时代中的关键叙事,就能够判断一种商业模式的底层价值观是否符合消费者的精神诉求。

经济叙事遵循的模式与疾病传播的模式是一样的:先是越来越多的感染者向外传播叙事,持续一段时间之后,就是遗忘叙事以及失去谈论的兴趣。

当我们发现埃博拉病毒在一个城镇感染了数百人而在另一个城镇几乎没有感染任何人时,可能是某个不起眼的因素导致 1 号城镇的埃博拉病毒传染率高于 2 号城镇,从而使得 1 号城镇在疫情开始时的传染率高于康复率。同时,2 号城镇没有出现疾病蔓延是因为传染率不够高,无法抵消康复率。

艾滋病是一种缓慢发展了数十年的流行病,虽然传染率较低,但它还是能够继续增长,因为它的康复率更低:HIV 病毒感染者可以在长达多年的时间里继续感染其他人。

我们会经历疾病的同步流行,即两种或多种疾病相互推动;同样,我们也会看到叙事的同步流行,在这个过程中,人们认为这些叙事共享同一个主题,这些叙事共同在人们脑海中形成一幅画面,如果一个人只关注其中一则叙事,就很难看到画面的全貌。换言之,大规模经济叙事通常是由一系列较小规模的叙事组成的。每则小叙事都有可能代表着大故事的一部分,但我们需要看到完整的组合(作者将其与星座类比 —— 星座是一组不相关的星星在人的想象中相互关联的产物 —— 并称之为 “叙事星座”)才能识别完整的主题。

重大经济事件通常并不是由单一的叙事星座造成的。重大经济事件不太可能这般令人满意地得到解释。相反,要想解释这些事件,就需要列出一份经济叙事清单。

有时,星座中的叙事被剥夺了能够表明身份的名称或地点,这些叙事采取的形式是 “他们说……”,但并不说明 “他们” 指的是谁。在使用 “他们” 这个代名词时,讲述这类 “他们说” 叙事的人要表达的是,这个叙事星座的主人公或讲述者看似一些权威人士。这类叙事星座的边界可能会时不时被重新绘制,其中某则叙事会从其他正在传播的叙事那里借势传播。

经济叙事中基本的人情味元素通常会出现在那些风靡于同一时期的不同叙事。叙事的不同版本会根据目标受众相应地替换名人。对于涉及名人的新叙事来说,大家的记忆里已经有了一些熟悉的涉及相关名人的叙事,这一点可以增强叙事的传播力。围绕名人建立起来的叙事星座是能够自我强化的。

叙事通常会持续数年,但经济波动往往是突然发生的,比如金融恐慌的蔓延也就是几天的工夫。但是,恐慌的种子很可能已经在地下埋了数月或数年。一则叙事可能会起起伏伏数十年,不能急于判断叙事的影响。

如果我们认识不到叙事流行有快慢之分,就有可能过度依赖畅销程度评判某一著作的重要性。如果我们看一下过去数十年的《纽约时报》畅销书榜单,会发现几乎没有一本眼熟的书。其中的大多数都是昙花一现、转瞬即逝。

正如我们所见,流感、麻疹或腮腺炎等流行疾病可能会出现变异并改变传染性,重新流行起来。在变异克服了获得性免疫之后,疾病往往会重新暴发。导致叙事复发的变异有可能是随机情况,但更有可能是一些具有创造性思维的人,如营销专家、政客、网络钓鱼者以及普通的社交媒体爱好者,参与了叙事设计的某些元素。这些人知道,相关叙事很久以前出现过病毒式传播,这证明了它们的潜力所在,但眼下它们已经不再具有传播力。与原始叙事相关的名人可能已经被人遗忘或盛誉不再。叙事可能曾与另一则已经失传的叙事同步流行过。因此,这些人尝试将它与一些现有的流行现象关联到一起。

经济叙事的几个关键特征:经济叙事会让人想起可能已经遗忘的事实,对事情在经济中如何运作给出解释,经济叙事可能会对世界的运行方式或者我们应如何利用这些信息给出一些暗示。(我首先联想到的是名声很糟的知识付费)

叙事经济学的 7 个构想:

构想 1 流行趋势可快可慢、可大可小

构想 2 重要的经济叙事可能只包含一小部分热门话题

构想 3 叙事星座比单一叙事更具影响力

构想 4 叙事的经济影响可能会随时间的推移而变化

在我们依赖叙事中的标志性单词或短语的数字化统计数据时,不能想当然地以为所有带有这些标志的叙事一直以来都有相同的含义。我们得从叙事对行为的影响解读叙事,至少得从人们提及叙事时的语境解读它们。

构想 5 真相不足以阻止虚假叙事

虚假故事在推特上的转发率是真实故事的 6 倍,调查结果证明人们 “更愿意分享新信息”,这种传播反映了人们想让他人感到刺激或惊讶的急切心理。

构想 6 经济叙事的传播力取决于重复概率

构想 7 叙事大行其道依赖附属元素:人情味、身份认同和爱国情怀

我们可以将历史视为一连串相继发生的罕见重大事件,在每起事件中都有一个故事像病毒般传播(这个 “像病毒般传播” 的故事逐渐盖过其他故事,成为对历史的主流叙事,成为历史。当然,随着时代精神的变化,主流叙事也会发生改变),这种传播通常会借助名人效应,这个名人会让叙事更有人情味。

当人们感觉自己与故事中的人物 —— 无论是固定人物形象还是真正的名人 —— 存在关联时(这意味着故事的内容与受众有较紧密的关联),故事的传播力会达到最强水平。

如果作者希望受众记住一个故事,就应当刻画引人注目的视觉形象

遗忘率高的叙事往往是孤立的叙事,不属于任何星座。

叙事有可能基于某些假定的事实,讲述者和听众并不知道如何验证这些事实。一些叙事之所以具有传播力,是因为它们看似给出了确定的事实。下面这种说法应该没有什么大错:大多数人都会表现出知识渊博的样子,并尽力掩饰他们对无数事实的无知。(从这一点来讲,本书的传播力不会很好,因为作者承认了经济叙事出现病毒式传播的不可预测性)

那些正在经历恐惧等强烈情绪的人倾向于将这些感受延伸至不相关的事件。有时人们会发现自己对一些逻辑上并不真实的可能性怀有强烈的情绪或恐惧(例如,地震之类的自然事件可能会影响人们对股市崩盘可能性的评估),这表明大脑有评估风险的多重系统。

一些案例

比特币支持者经常指出的一点是,公众对比特币的支持与公众对其他很多事物的支持并无本质上的差异。举例来说,几千年来,黄金在公众心目中一直具有极高的价值,但如果人们一开始使用其他物品充当货币,那公众也可能会认定黄金没有什么价值。人们之所以看重黄金,主要是因为他们认为其他人都很看重黄金。

在从事比特币交易的人中,很少有人了解这项技术。理论并不是叙事的核心,人们只需要知道这个想法是一些聪明绝顶的数学家或计算机专家提出的即可。

Bitcoin.org 网站刊载了无政府主义者斯特林・卢汉(Sterlin Lujan)2016 年的一段文字:略。这是一则为了传播而精心设计的叙事,有效地捕捉到了无政府主义精神。比特币使非专业人士和市井小民也得以参与叙事,让他们感觉置身其中,甚至让他们围绕比特币建立起身份认同感。还有一点也同样富有感染力,那就是这一叙事也生成了很多发家致富的故事。

很多时候,人们购买比特币是因为他们希望参与令人兴奋的新鲜事物,他们希望能够从中学习经验教训。这种动机之所以格外强烈,还在于它的深层故事,即计算机有望取代人类多种工作岗位的说法。但计算机无法取代所有的工作岗位,得有人控制这些计算机才行,于是现如今又有了一种说法,即掌握新技术的人将成为赢家。很少人有十成把握认为自己将站在这条曲线的赢家那一端。如今,即使攻读计算机科学学位似乎也不能保证我们一定会取得成功,因为我们照样有可能干着低级别程序员的无趣工作,甚至有可能根本找不到工作。人们普遍想要投身科技产业的金融领域,因为有很多故事都表明金融家控制着一切,而比特币正处在这一领域。比特币的狂热追捧者可能会认为,尝试参与比特币会让他们与那些将要成为新世界赢家的人建立起联系,并让他们深入了解如何保持(或获得)控制权。只要购买一些比特币,就可以轻松快速地启动一个人与这种新现实的链接。最重要的是,人们在购买比特币时用不着做到对它了如指掌。

和很多经济叙事一样,比特币也有自己的名人主角中本聪,他构成了比特币的核心人文故事。而另一则神秘故事又进一步增添了比特币叙事的浪漫色彩,那就是从来没有人可以作证说他见过中本聪本人。

我们如何总结比特币大受欢迎的原因呢?归根究底,人们之所以对比特币感兴趣,恰恰是因为其他很多人都对它感兴趣。他们对比特币的新故事感兴趣,是因为他们相信其他人也会对这些故事感兴趣。

经济学家威廉・斯坦利・杰文斯(William Stanley Jevons)在 1878 年提出,全球经济波动可能是由 “太阳光线的周期性变化造成的,太阳黑子仅是这种变化的一个迹象而已”。如果来自太阳的热量在某些年份里强于其他年份,那么农作物和其他经济产出水平在比较炎热的年份里就有可能更高,而这有可能导致重大的经济波动。在 1878 年的时候,已经有关于太阳活动的天文学证据,即可以往前追溯几个世纪的太阳黑子数量记录,杰文斯认为自己发现了太阳黑子数量与经济事件之间的相关性。他的理论听起来似乎颇有道理,但后续的经济研究并不支持这一观点,而且太阳辐射的变化实在太过微弱,不足以产生任何实质性影响。但是,经济学家大卫・卡斯和卡尔・谢尔(David Cass and Karl Shell,1983)解释说,如果人们神乎其神地认为太阳黑子能够产生影响,那么它们就有可能真的产生影响。现在,经济学家用 “太阳黑子” 这个词指代下面的外来噪声:它们之所以能够影响经济是因为人们相信它们能够影响经济。(预言的自我实现)

(大萧条中)当邻居们长期失业、勉强糊口的时候,公然享受财富的 “罪行” 越发显得不道德。有些人推迟购买汽车或其他大宗消费品,这导致汽车和消费品行业的工作岗位流失,这又导致更多的延迟消费,从而导致第二轮失业,依此类推,循环反复多年。

亚当斯对美国梦的定义如下:

美国梦是这片土地的梦想,在这片土地上,每个人都应该过上更美好、更富足、更圆满的生活,能依靠自己的能力挣到自己想要的一切…… 美国梦不只是汽车,也不只是高工资,而是一种社会秩序,在这种秩序下,所有男人和女人都能凭借自身素质取得最大成就,并得到社会承认,而与他们的出身、社会背景和社会地位无关。

人们普遍接受的 “美国梦” 叙事包含了一个希望每个人都能取得成功的愿景,并以一种使之看起来既不商业化也不自私自利的方式对其进行了刻画。它推翻了凡勃仑(Thorstein Veblen)的炫耀性消费观念,这种消费的目的仅仅是为了彰显自身的优秀。这样一来,“美国梦” 在推销产品时变得非常管用,让潜在消费者对购买行为有更安心的感觉,如购买新房或二手车。事实上,ProQuest 的搜索结果显示,“美国梦” 一词有半数以上都出现在广告里,而非文章中。

大约在 1955 年,“自动化” 一词突然流行开来。人类工作被其取而代之的可能性令公众大为忧惧。

我们 “越来越害怕” 自己 “变得无关紧要”,并担心自己沦为 “新的无用阶层”。如果大规模流行起来,这种涉及人类生死存亡的恐惧无疑会影响经济信心,进而影响经济。

有关史蒂夫・乔布斯的叙事似乎表明,乔布斯 —— 一个真正的人,他有好多怪癖,没有人会将这些怪癖编程到机器人身上 —— 对苹果电脑来说完全不可或缺。因此,乔布斯的故事吸引了那些担心自己被时代淘汰的人。

叙事经济学:流行短语有何特别之处?

在使用 “叙事经济学” 这个术语时,我的侧重点有两个:
(1)以故事为载体的观点被人口口相传;
(2)人们努力生成新的可传播故事或是让故事更具传播力。

举例来说,20 世纪下半叶的叙事声称自由市场 “足够有效率”,不会因为政府干预而进一步改善。这些叙事随之引发了公众对政府监管的反对之声。

比如,特朗普在 2016 年出人意料地当选为美国总统,而将特朗普描述成强硬聪明的交易商和白手起家的亿万富翁的叙事是导致这一结果的经济叙事的核心所在。

叙事经济学向我们展示了流行故事如何随着时间的推移而改变,从而对经济结果产生影响,这其中不仅包括衰退和萧条,还包括其他重要的经济现象。

归根结底,叙事是文化、时代思潮和经济行为发生快速变化的主要载体。

从非理性繁荣到叙事经济学

本书共四篇。第一篇介绍了引自医学和历史等多个研究领域的基本概念,并列举了读者耳熟能详的两个叙事实例:(1)2009 年开始风行的比特币叙事;(2)主要流行于 20 世纪 70 年代和 80 年代的拉弗曲线叙事。

第二篇提出了一系列构想,帮助指导我们对经济叙事的思考,并防止我们在思考过程中犯下错误。

第三篇回顾了 9 个长期叙事,如涉及他人信心、节俭或职业不安全感的叙事,事实证明它们能够影响重要的经济决策。

第四篇展望未来,并对叙事在当下这个历史节点上会带领我们走向何方、未来什么样的研究可以提高我们对叙事的认识等提出了一些看法。第四篇之后的附录将叙事分析与流行病医学理论结合在一起。

第一篇 叙事经济学的缘起

本书开启了一种新的经济变化理论,该理论在驱动经济的传统因素中引入了一个重要的新元素:通过口述、新闻媒体和社交媒体传开的传播性大众故事。

经济叙事指的是有可能改变人们经济决策的传播性故事,这些决策包括:是雇用一名工人还是等待形势好转,在商业上是大胆冒进还是谨小慎微,是从事商业创投还是投资于波动的投机性资产。

比特币的故事就是一个成功的经济叙事实例,因为它有很强的传播力,并已在全球大部分地区带来了重大经济变化。

比特币和泡沫

对比特币的支持者来说,将比特币贴上投机泡沫的标签是一种终极侮辱。比特币支持者经常指出的一点是,公众对比特币的支持与公众对其他很多事物的支持并无本质上的差异。

叙事经济学经常会揭示一些令人意外的关联。沿着历史的长河,比特币背后的这些情绪可以回溯到 19 世纪无政府主义的兴起。

比特币和无政府主义

Bitcoin.org 网站刊载了无政府主义者斯特林・卢汉(Sterlin Lujan)2016 年的一段文字:比特币是和平无政府状态与自由的催化剂。它的出现是对腐败政府和金融机构的回击。它的设立不仅仅是为了改善金融科技。但有些人往这个真相里掺了假。事实上,比特币的目的是充当一种货币武器,充当一种有望削弱权力当局的加密货币。

比特币的故事能够格外让人产生共鸣,因为它构成了早先反对无政府主义叙事的反向叙事

充满人情味的比特币叙事

人们喜欢神秘故事,喜欢揭开神秘的面纱,大量丰富多彩的神秘文学也因此问世。比特币的神秘故事被人一再提起,尤其是每当侦探们发现某个人可能是中本聪的时候,就会掀起一阵浪潮。如果没有对神秘谜团的反复宣传,比特币叙事的传播率不会如此之高。

比特币和未来

很多时候,人们购买比特币是因为他们希望参与令人兴奋的新鲜事物,他们希望能够从中学习经验教训。

比特币是世界经济的会员证

那么,我们如何总结比特币大受欢迎的原因呢?归根究底,人们之所以对比特币感兴趣,恰恰是因为其他很多人都对它感兴趣。他们对比特币的新故事感兴趣,是因为他们相信其他人也会对这些故事感兴趣。

历史和叙事

历史学家拉姆齐・麦克马伦(Ramsay MacMullen,2003)在《感受历史:古代与现代》中指出的那样,要想深刻理解历史,就需要推断出那些历史创造者的想法,也就是说,他们的叙事是什么样的。

社会学、人类学、心理学、市场营销、心理分析和宗教研究领域的见解

我们发现,在采访监狱囚犯时,当我们请受访者讲述其他囚犯的故事时,一般会得到较好的回应,而这些故事表达的往往不是道德缺失感,而是道德变化感。

文学研究和叙事

罗纳德・托比亚斯(Ronald B.Tobias,1999)认为,所有小说都不外乎 20 种经典情节:“探寻、探险、追逐、解救、逃跑、复仇、推理故事、对手戏、落魄之人、诱惑、变形记、转变、成长、爱情故事、不伦之恋、牺牲、自我发现之旅、可悲的无节制行为、盛衰沉浮。”

布克(Christopher Booker,2004)则认为故事只有 7 种基本情节:“斩妖除魔、白手起家、探险、远行回归、喜剧、悲剧和重生。”

神经科学、神经语言学和叙事

人类大脑在构造上似乎会对那些导致类比联想的故事做出反应。

第 3 章 传播、星座和交汇

在我们着手研究经济叙事如何像病毒般传播之前,可以先思考一下细菌和病毒是如何蔓延传播的。

传染、康复和衰退

通过避免与病人接触降低传染率的做法算不上什么新举措。隔离措施的历史至少可以回溯至 1377 年,当时,威尼斯在瘟疫期间对海上抵达者实施了 30 天的隔离期,然后又对陆地旅行者实施了 40 天的隔离期(“隔离” 这个词起源于拉丁语的 “四十”)。

传染率下降的另一个原因是易感人群的减少。

在传染率低于康复率和死亡率之和时,疾病并不会立即消失,传染率并不会降至零。

在医学和叙事流行中,我们看到了相同的基本原理:要想让流行蔓延起来,传染率必须超过康复率。

叙事星座和叙事交汇

叙事以星座形式出现的部分原因在于它们的可信度依赖于现存的其他一系列叙事。

人类思维和行动中的叙事自发性

存在主义哲学家让 - 保罗・萨特(Jean-Paul Sartre)在 1938 年写道:人总是在讲述故事,他的生活被自己的故事和他人的故事包围,他通过这些故事看到了发生在自己身上的一切;他尝试着像讲述故事一样过自己的一生。

社会学家在尝试解析社会运动的过程中,开始将叙事的传播视为社会变革的核心因素

叙事的普遍性

人类学家唐纳德・布朗(Donald E.Brown)发现了一种对本书来说至关重要的普遍行为:人们 “会使用叙事解释事物的由来,也会使用叙事讲述故事”。事实上,叙事是一种独特的人类现象,其他任何物种都没有这样的行为。有人认为是故事将人类与动物区分开来,甚至还认为我们这一物种应该被称为 “叙事人”

能够推动叙事传播的礼貌对话规范也具有普遍性。

在音乐学家安东尼・纽科姆(Anthony Newcomb)看来,古典交响乐实际上是一部 “小说”,至少在情感上模糊地讲述了一个故事。

故事和叙事

叙事和故事这两个词经常互换使用。不过,根据韦氏在线词典,叙事是 “呈现或解析一种情境或一系列事件的一种方式,这种方式会反映并促成一种特定的观点或一系列价值观”。因此,叙事是故事的一种特定形式,指出了重要元素及它们对接收者的意义。

关于病毒式传播的实验证据

实验证据表明,单个创意作品的成功与否取决于人们如何评估观察这一作品的其他人的反应。

历史 —— 包括经济史 —— 并不是用想要弄懂历史或想要达成公众共识的叙事呈现出来的、逻辑有序的系列事件。重大事件之所以发生,或是因为叙事中看似无关紧要的变化(这些变化有着较高的传播率和较低的遗忘率),或是因为先发制人效应使得一组叙事在竞争中拔得头筹。

书封和公司徽标

新闻媒体、赞助商和营销人员对叙事的构建也有助于降低遗忘率

选美比赛和尾羽:心智理论如何推动经济叙事

1936 年,凯恩斯用 “选美比赛” 这个比喻将我们现在所说的心智理论引入了经济理论,用它解释股市等投机市场。

病毒式传播的故事基本上是随机的,其随机性类似于进化生物学中的突变。

框架、代表性启发和情绪启发

我和乔治・阿克洛夫查看了对 1989 年以来的投资者和高收入美国人所做的问卷调查数据。我们发现,人们会高估股市崩盘的风险,而这些评估受到了他们阅读的新闻报道,尤其是头版报道的影响。

类似证据表明,看似无关紧要却具有强烈叙事潜力的事件可能会影响经济或政治结果:世界杯比赛可能会影响经济信心,地方海滩的鲨鱼伤人事件可能会影响当地现任官员的得票数,广告的背景音乐可能会对消费者产生强烈的影响。葡萄酒专卖店发现,如果店里播放的背景音乐是古典音乐而不是音乐排行榜的前 40 首歌,买家就会购买更昂贵的葡萄酒。

第二篇 叙事经济学的理论基础

本书的目标是鼓励人们识别那些能够帮助定义重大经济事件(如萧条、衰退或长期停滞)的经济叙事,并将它们纳入思考,从而提高人们预测和处理这些事件的能力

休谟在 1742 年写道:很大程度上,起源于少数人的往往要归因于机缘巧合,或是神秘未知的缘由;出自大多数人的往往可以通过明确已知的原因得到解释。

对于叙事经济学理论基础的形成来说,至关重要的是了解这些创作传播性新叙事的 “少数人” 的影响力。

这 “少数人” 的影响力有时通过创作传播性新叙事实现。

因果关系的走向

社会学家罗伯特・默顿(Robert K.Merton)在 1948 年创造了 “自我实现的预言” 这一短语,并将这一概念应用于经济波动。

故事在推动人类活动方面发挥的重要作用

情感在叙事、经济和其他架构中相当重要,它会在故事中展现出来。

闪光灯记忆

在经济复苏期间,大多数经济学家都没有认识到 “9・11” 事件的闪光灯性质,这次袭击促成了具有传播性的叙事星座,并有可能已经对美国企业和美国经济产生了深远的影响。

虚假新闻无处不在

虚假新闻已经存在了数百年、数千年,有鉴于此,它似乎是人间百态的一部分。虚假业绩、虚假故事和虚假英雄无处不在。有些造假是如此别出心裁,以至于我们无法将它们视为基本经济力量的结果。情况正好相反:以虚假叙事为形式的造假会影响经济结果。

构想 1 流行趋势可快可慢、可大可小

如果我们认识不到叙事流行有快慢之分,就有可能过度依赖畅销程度评判某一著作的重要性。畅销书排行榜反映的往往是短时间内的销售情况。例如,《纽约时报》畅销书榜单列出的是当周销量最高的书籍。

较短的时间框架解释了《圣经》和《古兰经》为什么永远不会出现在畅销书榜单上。如果我们看一下过去数十年的《纽约时报》畅销书榜单,会发现几乎没有一本眼熟的书。其中的大多数都是昙花一现、转瞬即逝。

构想 2 重要的经济叙事可能只包含一小部分热门话题

构想 3 叙事星座比单一叙事更具影响力

构想 4 叙事的经济影响可能会随时间的推移而变化

构想 5 真相不足以阻止虚假叙事

研究人员选取的故事经过了 6 个事实核查网站的核查(snopes.com、politifact.com、factcheck.org、truthorfiction.com、hoax-slayer.com 和 urbanlegends.about.com)。他们发现,在故事的真假问题上,这些网站能够达到 95%~98% 的一致。他们也研究了经由 300 万人传播的 126 000 条谣言,发现虚假故事在推特上的转发率是真实故事的 6 倍。

调查结果证明人们 “更愿意分享新信息”。

构想 6 经济叙事的传播力取决于重复概率

“祝你生日快乐” 歌是传播性叙事的一个极佳案例,因为它已经被翻译成多种语言并传遍世界各地,而且它可能是有史以来最出名的歌曲。它风靡全球的部分原因在于人们每年都要过生日,而不是因为它是人们最喜欢的歌曲。它并不是因为优美或高雅而格外受人欣赏。它的流行纯属意外,但又势不可当。没有哪条政府法令要求人们必须唱这首歌,也没有哪个营销活动承诺,唱这首歌或者听别人唱这首歌的人会终身受人欢迎。数字化统计显示,这首歌的英文版本在 20 世纪 20 年代和 30 年代就像流行病一样风行一时,在第二次世界大战前后沉寂了一段时间(当时人们的脑海中想着更重要的事情),然后又再次流行起来。

构想 7 叙事大行其道依赖附属元素:人情味、身份认同和爱国情怀

“各尽所能,按需分配” 这句社会主义口号自 20 世纪中叶以来就被视为出自卡尔・马克思之口。事实上,这句话是社会主义哲学家路易斯・布兰克(Louis Blanc)在 1851 年提出的,那时马克思几乎还不为人知。《圣经》中也能找到这句话的变体。[插图] 在 1900 年之前,路易斯・布兰克一直比马克思更有名,但如今他已经被大部分人遗忘。因此,这句话在 20 世纪中叶被归到了马克思的名下,而做出这一改动的是一些不知名人士,他们将这句话贴上一个新的名人标签,从而启动了一次新的流行。

传播力是最关键的要素:如果叙事在人类的交流中得不到复述,它们就会逐渐被人遗忘。如果相关名人因为某件事而名誉扫地,那么无论叙事中的观点是否属实、是否合理,这些叙事都会突然失去传播力。

与经济叙事有关的 7 个关键构想:

  1. 流行趋势可快可慢、可大可小。流行趋势的时间表和规模有可能天差地别。
  2. 重要的经济叙事可能只包含一小部分热门话题。传播率不高的叙事仍可能有其经济上的重要性。
  3. 叙事星座比单一叙事更具影响力。叙事星座非常重要。
  4. 叙事的经济影响可能会随时间的推移而变化。在叙事随时间演变的时候,不断变化的细节非常重要。
  5. 真相不足以阻止虚假叙事。真相很重要,但前提是它得显而易见才行。
  6. 经济叙事的传播力取决于重复概率。反复强化非常重要。
  7. 叙事大行其道依赖附属元素:人情味、身份认同和爱国情怀。这些元素至关重要。

第三篇 长期经济叙事

叙事触及了当前流行的一些重要议题:机器将取代所有工人并导致大规模失业,回归金本位制将带来更强的货币稳定性,房地产和股市具有特殊价值,企业或工会都是邪恶的。这些与时俱变的叙事会改变大众对经济的认识、对经济现实的看法,并创造出新的观点来阐述什么是有意义的、重要的、道德的,或者提出新的个人行为脚本,从而影响经济行为。

经济叙事如何变异

流感变异有可能引发疾病出现新的传播,其表现类似于先前疫情的表现,同样,经济叙事也会变异。

宣称劳动节约型机器将取代人类工作岗位的叙事(第 13 章)在 20 世纪 30 年代的大萧条时期催生了一种恐惧感,但同一则叙事在 20 世纪 90 年代的网络繁荣期出现了变异(第 14 章),并催生了一种机会感。这些案例可能让叙事研究人员感到困惑,因为叙事中的某些关键词在搜索中出现的时间跨度要远远长于它们能够解释某一经济现象的时间跨度。

第 10 章 恐慌与信心

自 19 世纪初以来,有关信心的一大类叙事影响了经济波动,即人们对银行、商业、彼此以及经济的信心。

银行恐慌叙事,也就是说,我们是否相信银行有能力兑现承诺,是最早的信心叙事之一。

叙事会传播商业亏损流言并降低消费者信心,因此加强叙事自我审查有可能会加剧恐慌,有时也确实出现了这种效果。

当时人们还远远没有意识到:萧条有可能是因为普通人听信宣传并打算把太多钱存入银行造成的。

暗暗示心理学和自我暗示运动

从 1921 年开始,自我暗示的风行引起了广泛的公众关注。

“自我暗示” 吸引了数百万人的关键理念是:我们大多数人之所以没能取得成功,是因为我们不相信自己能够成功。要想取得成功,我们必须反复告诉自己:我们能够成功。

预测天气,预测经济信心

天气预报让人们开始畅想现代科学能实现的成就。

人们似乎自然而然地认为,如果气象学家能够预测风向,那么经济学家就应该能够预测经济衰退。

如果公众相信有关经济繁荣或经济衰退的预测,那么经济预测就可能带有自我实现的预言的元素。

信心可谓是经济晴雨表

在整个 20 世纪 30 年代,人们越来越坚定地认为,大萧条是由意见领袖的 “口无遮拦” 引起的,这些领袖忽视了这种口无遮拦造成的心理影响。但实际上,知名人士似乎很清楚自己所说的话有可能造成的心理冲击,这导致了另一则叙事的生成:意见领袖现在非常担心自己的话会引发恐惧,结果公众普遍开始认为这是错误的乐观主义。换言之,公众认为意见领袖在竭力表现出乐观的态度,而听众必须校正这种过度自信。显而易见,在这样的环境下,人们的预期会波动得厉害。

耶鲁大学经济学教授欧文・费雪在 1930 年写道:也就是说,主要的危险根本不在于现实情况。危险在于恐惧,在于引发恐慌的恐惧,这种恐惧能从股市蔓延至企业。真正的勇士会承认:“我唯一的恐惧是对恐惧的恐惧”。

第 12 章 金本位制与金银复本位制

中央银行(加拿大银行除外)仍然拥有黄金,只是黄金不再支持其货币。根据世界黄金协会(World Gold Council)的数据,世界各地的中央银行和财政部共拥有 33 000 吨黄金,价值约 1.4 万亿美元。但是,既然黄金并不支持货币,中央银行为什么还要持有黄金呢?

黄金十字架

金银复本位制是一部旨在对货币背后支持体系做出微妙改变的提议,大多数不明就里的人对此所知甚少,就像如今很少有人了解比特币背后的密码学一样。

第 13 章 劳动节约型机器取代多种工作岗位

认为水力、风力、马力、蒸汽驱动的新型机器或能够更有效利用人力的新型机器有可能取代工人并导致大规模失业的担忧由来已久。这些反复出现的长期叙事改头换面之后在 20 世纪重新登场,有可能像过去一样成为破坏信心的严重问题。

消费不足、生产过剩和工资购买力理论

在 1933 年大萧条最严重的时候,世界著名物理学家爱因斯坦也相信了这一叙事,他表示大萧条是技术进步的结果

第 14 章 自动化和人工智能取代几乎所有工作

1950 年的一篇报纸文章断言:有了今年年底形成的乐观共识,预测本身就可以起到促进高消费活动的作用。

工作岗位和史蒂夫・乔布斯

为什么这本有关乔布斯的书会出现病毒式传播?部分原因在于它的出版时机:出版商明智地选择在乔布斯去世数周后将这本书投放市场,这样报道他去世消息的媒体叙事就与这本书引发的话题交织在了一起。

投机和土地泡沫

在 20 世纪之前的大部分时期,流行叙事宣扬的都是土地投机(农田或新兴城市和纸上城市的空置地段),而不是房屋投机或股票投机。

20 世纪 20 年代的佛罗里达州土地繁荣

土地一直都只是房屋价值的一小部分。莫里斯・戴维斯(Morris A.Davis)和乔纳森・希斯科特(Jonathan Heathcote)估算过,从 1976 年到 2006 年,土地价值平均仅占房屋总价值的 36%。

购房欲望和社会比较

** 社会心理学家利昂・费斯廷格(Leon Festinger)将 “社会比较过程” 称为人类的普遍现象。所有人都会在心里与其他具有相似社会地位的人进行比较,对那些社会阶层远远高于或低于自己的人则远没有那么关注。** 他们之所以想要一间大房子,是因为这样的话,他们看上去就会像他们经常看到的那些成功人士中的一员。他们在挑选房屋时倾尽全力,因为他们听说过其他人正在倾尽全力的叙事。

房屋所有权的推广史

房地产叙事的另一要素是历史上出现的一连串广告推广,这些推广针对的是房屋所有权本身,而不仅仅是个人财产销售。1914 年,房地产经纪人希尔・弗格森(Hill Ferguson)在国家房地产协会(现在的美国房地产经纪人协会的前身)的赞助下发起了 “拥有自己的房屋” 运动,从而在美国拉开了这些推广活动的帷幕。

“拥有自己的房屋” 运动决意要改变一些普遍认知,即借贷是不光彩的或有风险的,人们永远不应欠债,他们应该积攒储蓄,全款购买房屋。

储蓄被视为一种应对疾病或其他不幸的保障措施。

即使到了现在,美国和其他发达国家的低收入人群也往往拥有一些储蓄,其中大部分都是房屋净值。

城市土地和叙事

根据标普 / 凯斯 — 希勒(S&P/CoreLogic/Case—Shiller)房价指数,在 1997 年至 2005 年间,全美房屋实际价格(经过 CPI 通胀调整)增长了 75%,而主要住房租金经 CPI 通胀调整后仅上涨了 8%。

从 2012 年到 2018 年,美国实际住房价格又上涨了 35%,而实际租金仅上涨了 13%。

一则叙事的诞生

在 1929 年之前,“崩溃” 一词与股市并没有太大关联,因此,该词的这个新用法代表了一种不同的经济观点,即经济增长在很大程度上取决于整个股市的表现,因此,股票价格指数被人们视为风向标。“大起大落”(boom and crash)一词在 19 世纪很流行,但主要用来形容炮火纷飞、惊涛骇浪乃至理查德・瓦格纳(Richard Wagner)的音乐。1929 年后,“大起大落” 一词像病毒般蔓延开来,这个时候它通常被用来形容股市表现。

与 1929 年相关的道德叙事

时至今日,认为股市崩盘是天降惩戒的叙事观点仍然存在。

名人与鞋童的叙事

很显然,当鞋童都开始提供股票资讯时,就该是退出市场的时候了。

第 17 章 杯葛、奸商和邪恶企业

对企业的愤怒会随着时间变化。当消费品价格大幅上涨时,人们可能就会开始觉得企业是邪恶的。叙事将价格上涨归咎于企业的盛气凌人;在通胀结束之后,如果公众认为价格仍然过高的话,那公众的愤怒就有可能会持续下去。愤怒也有可能在企业削减工资的时候被激化。这种愤怒既有可能导致有组织的杯葛(即抵制)活动,也有可能导致民众自发地将消费推迟至价格降低之后。

杯葛叙事

“杯葛” 最终将成为它构成的经济叙事的核心。像其他一些叙事一样,它以情感反应为中心,此处指的是对商人的愤怒。

恢复 “常态”

一战结束之后,在战后通胀率总计达到 100% 的情况下,通货紧缩叙事在 1920 年开始传播。

买还是不买

公众知道战争已经结束,所以拒绝用战时价格购买商品。东西摆在货架上动也不动,因为人们根本不去购物。

牟取暴利和公平工资叙事

知名作家亨利・黑兹利特(Henry Hazlitt)在 1920 年写道:因此,每个角落都有以正人君子自居的人在谴责这个肮脏世界的暴行和劫掠。屠夫对鞋商的牟取暴利感到震惊;鞋商对戏票倒卖商的厚颜无耻感到震惊;戏票倒卖商又对房东的霸道专横感到震惊;煤炭工人提出的要求让房东无语问天;而屠夫索要的价格又让煤炭工人崩溃。

政府非常重视这样的情绪。1917 年,在一战期间,美国对超过 1911—1913 年水平的利润征收了 60% 的超额利润税。超额利润税直到 1921 年 10 月才被取消,因为民众对企业的愤怒情绪在战争结束后持续了很长一段时间才消退。超额利润税加剧了 1920—1921 年的萧条,因为公司纷纷等到这个税目被取消之后才开始盈利。同时,人们之所以推迟购买,并不仅仅是因为他们对自私自利的奸商感到愤怒,还因为人们认为在价格下跌的时候有机会从推迟购买中获益。

20 世纪 30 年代大萧条期间的杯葛和奸商

在 1932 年大萧条跌入谷底的时候,据说有一位查尔斯・福斯特夫人这样告诉一个女性团体:当今美国女性手中最有效的武器之一就是其巨大的购买力。我们得知,美国收入的 85% 是从她们手上花出去的。如果想更好地推动舆论,推动人们像往常一样支出,有什么比她们亲身示范来得更有效呢?

第 18 章 工资 — 物价螺旋式上升和邪恶工会

工资 — 物价螺旋式上升叙事在 20 世纪中叶盛行于美国和其他很多国家。它描述了一场由强大工会领导的工人运动,这场运动要求提高工资,管理层的应对之道是推高出售给消费者的最终商品的价格,这样他们的利润就不会受损。然后,劳工以物价上涨为由,要求进一步提高工资。这一过程循环反复,导致通胀失去控制。因此,人们将通胀同时归咎于劳方和资方,有些人可能还会将之归咎于任由通胀加剧的货币政策部门。

艾森豪威尔总统在 1957 年的国情咨文中提到了工资 — 物价的螺旋式上升:国家利益必须优先于短期利益,特定的集团可能会牺牲全体人民的利益来保全这些短期利益…… 企业在其定价政策中应当避免不必要的价格上涨,尤其是在当下这个诸多地区由于需求旺盛出现供给短缺的时候。新的投资在不断扩张的经济中带来了更多的工作岗位,而合理的利润对这些投资来说至关重要。但是,为了国家利益,企业负责人必须明智地避免提高那些仅在整个国家有紧急或非常规需求时才可以提高的价格…… 工资谈判还应认识到,全体民众都有权利分享技术进步带来的好处。

不公正和不道德叙事星座中的通胀

与经济学家不同,普通民众相信 “工资滞后假说”,即工资增长永远滞后于物价上涨,因此通胀对生活水平产生了直接而长久的负面影响。

对通胀的愤怒

在 1917—1923 年的德国恶性通胀期间,通胀率达到了天文数字,而且没有任何战争可以怪罪。以马克标记的价格上涨了近万亿倍。但是,很多人都无法确定造成通胀的始作俑者。当时正在德国访问的美国经济学家欧文・费雪发现,德国人并没有责怪过度印钞的德国政府。费雪写道:德国人认为大宗商品在涨价,美国金元在涨价。他们认为我们(美国)以某种方式垄断了全球黄金,然后漫天要价。

第四篇 发展中的叙事经济学

流行病学告诉我们,旧的流行病可能会在变异之后反复出现,因为旧流行病的残余力量会发生变异或对变化的环境做出反应,引发新的传染病。以后我们将会见到新型流感和新的流感流行。因此,本书介绍的很多叙事也会再度流行,在几年后归于沉寂,然后再度盛行一时。具体的时间节点是无法预测的;与设想中的商业 “周期” 不同,叙事并不是定期重现的。

变化的形式和环境

人们对 “经济力量” 的看法是由叙事驱动的,尤其是关于他人信心的叙事(第 10 章对此做了介绍),它的影响力胜过了其他不那么乐观的叙事。

新技术将改变传播率和康复率

社交媒体和搜索引擎有望改变传播的基本性质。过去,人们的想法是以非系统化的随机方式传播的。有了社交媒体平台之后,持有极端观点的人可以找到与自己志趣相投的同伴,进一步强化他们与众不同的观点

叙事经济学的未来研究之路

经济研究一直没有重视人们相互传播的有关自身经济生活的故事,因而错过了以叙事形式传递出来的明显含义。对流行叙事的不重视导致经济研究没能看到那些也许能对重大经济变化做出合理解释的原因。

叙事经济学在经济学理论中的一席之地

一些国家领导人已经通过某些直觉判断承认并利用不断变化的经济叙事

领导人必须摒弃虚假或误导性的叙事,并树立道德权威来打击这样的叙事。他们要做的第一步是了解叙事的动态变化,第二步是在制定政策行动时考虑叙事的流行。

使用叙事预测经济变量的一个问题是,人们对叙事的判断和论述容易政治化,也容易受感情左右

现在就应当开始收集更多有关叙事的信息

经济学家应当采取更切实的措施来收集叙事的时间序列数据,不再只是被动地收集他人的言语,而是通过实验来揭晓个中的含义和目的。

第一步,我们需要改进现有的搜索引擎,让它们可以更好地测量叙事的时变发生率。

  1. 定期对受访者进行焦点访谈,在问及哪些刺激性因素与其经济决策有关的问题时,请他们泛泛而谈并讲述故事。

  2. 定期与不同社会经济团体的成员举行焦点小组讨论,从而促成真正的有关经济叙事的对话。

  3. 对过去几年为其他研究项目开展的焦点小组建立历史数据库。

  4. 布道数据库。

  5. 个人信件和日记的数字化可搜索历史数据库。

对叙事进行追踪和量化处理

区分因果关系和相关关系也是一个永恒的挑战。我们如何区分下面这两种叙事呢:一则叙事只是因为提及经济行为而与经济行为产生了关联,另一则叙事则造成了经济行为的变化?

希望读者能从本书得出这样的结论:我们有可能做到既不牺牲学术笃实和系统分析,又能更近距离地一窥重大经济事件背后的人文因素。

认为经济叙事的传播模式类似于疾病流行的更多理由

人们是如何开始关注某只个股的呢?答案是口口相传。

后记

前文提到,作者承认了…… 的不可预测性,这使得本书有种未完成的缺憾。但,本书提供的案例还是比较翔实的。关于美国大萧条期间民众的生活态度、他们留下的文字记录,让我觉得温情脉脉而富于趣味。
摘抄:《叙事经济学》
“叙事,甚至是一种集体共情。”

“故事在推动人类活动方面发挥着重要的作用。” 在当前人们依赖算法驱动的社交媒体和搜索引擎来接收信息的背景下,叙事,尤其是宏大叙事,对经济、社会和行为决策的影响是日益显著的。

在《叙事经济学》一书中,Robert J. Shiller 提出了叙事经济学的框架来试图解释经济机器运转和行为决策的因果关系,以下内容供参考。

01

叙事经济学的理论基础

叙事是一种人为建构,混合了事实、情感、人情味和其他在人类头脑中留下印象的繁枝细节

在叙事背景下做出经济决策的人通常不会解释他 / 她们的决策

传播性故事大多具有创造力和创新性,它们不仅仅是对经济事件的合理反应

围绕着诸如 “比特币” 事件的经济叙事在以可预测的方式发挥着作用:它们具有传播力,它们提供了脚本供人遵循,它们一再重复自己想要传达的信息

经济叙事以非常重要的方式影响着社会,影响着经济活动的过程

情感在叙事、经济和其他架构中相当重要,它会在故事中展现出来

某些深刻的叙事让人产生的情绪反应如此强烈,以至于人们在数年之后还依然记忆犹新

但相关叙事可能只是被简明扼要地提及了一下并与其他诸多很快被人遗忘的信息混在在一起

从某种意义上说,很多人只是享受相信故事的乐趣,而不关心故事本身的真实性

事实上,以虚假叙事为形式的造假会影响经济结果

02

叙事经济学的 7 个关键构想

流行趋势可快可慢、可大可小

流行趋势的时间表和规模有可能天差地别

重要的经济叙事可能只包含一小部分热门话题

传播率不高的叙事仍可能有其经济上的重要性

叙事星座(宏大的叙事)比单一叙事更有影响力

叙事星座很重要

叙事的经济影响可能会随时间的推移而变化

在叙事随时间演变的时候,不断变化的细节非常重要

真相不足以阻止虚假叙事

真相很重要,但前提是它得显而易见才行

经济叙事的传播力取决于重复概率

反复强化很重要

叙事大行其道以来附属元素:人情味、身份认同和爱国情怀

这些附属元素至关重要

03

未来的叙事

人们对 “经济力量” 的看法是由叙事推动的,尤其是关于他人信心的叙事,它的影响力胜过了其他不那么乐观的叙事

所有的叙事都有自己的内在动力,而这种 “力量” 很可能是短暂的

信息技术正在改变那些影响人心的经济叙事的传播,可以想见,它有可能会更进一步,取代个人的某些最终决策过程

经济学家长期以来一直认为,人类总是会利用所有可用信息和理性预期来最优化效用函数。而当前幸运的是,经济学家开始不再想当然地认为人们总是理性行事

使用叙事预测经济变量的一个问题是,人们对叙事的判断和论述容易政治化,也容易受感情左右

叙事的传播很大程度上是相当随机的,决定了传播力的故事的真正内涵也可能会随时间变化,而且从长远看很难追踪

区分因果关系和相关关系是一个永恒的挑战

  • The End -

  • 参考资料:《叙事经济学》,Robert J. Shiller

赢家的诅咒 [美] 理查德・塞勒 著#

image

作者简介

理查德・塞勒 (Richard H. Thaler),生于 1945 年,1974 年毕业于罗切斯特大学,获经济学博士学位。他目前在芝加哥大学布斯商学院执教,任金融和行为科学教授及行为决策研究中心主任;此外,他还在美国国民经济研究局 (NBER) 主持行为经济学的研究工作。

塞勒教授的研究主要集中于社会心理学、行为经济学等交叉学科。他被公认为行为经济学和金融学领域的先驱。

2015 年,理查德・塞勒当选美国经济学会主席。

2017 年,因对 “行为经济学” 的贡献,理查德・塞勒被授予诺贝尔经济学奖。

其主要著作还包括《错误的行为》,以及与卡斯・桑斯坦合著的畅销书《助推》。

内容简介

《赢家的诅咒》是诺贝尔经济学奖得主理查德・塞勒的经典著作,也是一部关于经济学悖论和反常现象的杰作。

本书深入探讨了经济生活中广泛存在的各种反常现象,用简明易懂、极具挑战性且很有趣的实验与案例,来阐述生活中的一些反常现象,
例如:○ 拍卖竞标的赢家往往不能实现预期的收益,甚至会遭受损失,这就是 “赢家的诅咒” 现象;○ 放弃一项物品损失的效用,会大于获得它带来的效用,这就是 “损失趋避” 现象;○ 一个赌徒在输了一整天后,会孤注一掷,将赌资押在胜算最小 (赔率最大) 的目标上;○ 当一个人突然获得一笔小钱时,他通常会马上花掉它;当他获得了一大笔意外之财时,却往往会存起来;○ 一个足球迷最多会支付 200 美元买一张球赛门票,但当他准备出售这张票时,他却想卖到 400 美元以上。

据此,行为经济学大师理查德・塞勒剖析了这些不理性决策及其背后的深层原因,同时对最后通牒博弈、禀赋效应、偏好反转、损失趋避、现状偏误等诸多领域中的行为经济学现象进行了全面系统的分析和研究,将行为经济学与金融学的相关研究深入地结合在一起,从而启发读者的思考,在个人消费、企业营销与投资理财等方面获得更多的收益。

读书笔记

加里贝克尔扛着新古典主义大旗到处攻城略地时,经济学取得了无以复加的荣誉。但是,新古典主义的成功并不意味着其根基是坚实的。它赖以生存的理性选择模型其实存在着一些致命的错误,只不过理解这些错误需要经历知识的反哺,而有勇气接受其他社会科学反哺的学者并不多。

赫伯特西蒙是这方面的天才之一,他把认知科学和管理学等的研究成果运用到经济决策上,提出 “有限理性” 假说,并获得了诺贝尔经济学奖。但西蒙没有对理性选择模型做更系统的反驳,也没有提出备选的更符合现实的决策模型,并未撼动新古典主义唯我独尊的地位。不过,他的后继者,心理学家卡尼曼和经济学家特维斯基,联手在新古典经济学的后院放了一把火,这把火越烧越旺,真正改变了经济学的格局。

卡尼曼和特维斯基的工作现在看起来很简单,就是用心理学日益成熟的方法和理论来研究经济决策问题。他们通过大量的心理学实验证明,人们在进行经济决策时,并不遵循新古典理性经济人的模式,而是普遍且稳定地采用启发式决策;人们在决策中并不在意绝对损益水平,而是在意相对某个参照点的损益水平;人们不可能正确估计可能结果的概率,而是经常高估小概率事件、低估大概率事件等。通过提出理性选择模型的替代物 —— 行为决策模型,卡尼曼获得了诺贝尔经济学奖;特维斯基因已去世而未能获奖。行为决策模型深深影响了经济学近 20 年的发展,并衍生出经济学的新分支 —— 行为经济学,它渗透到经济学和其他社会科学的各个领域,有点再现早年贝克尔的气势。

不过,在卡尼曼和特维斯基的时代,众多主流经济学家对行为经济学还是坚决抵制的。为了更好地传播行为经济学,应《经济展望杂志》之邀,行为经济学的忠实信徒 —— 芝加哥大学的泰勒教授从 1987 年开始和他人合作,四年间发表了 14 篇论文,分别总结和探讨了不同领域行为经济学取得的进展和主要观点。这本杂志在经济学界享有很高的声誉,又如此密集地就一个理论进行讨论,因此带来了空前的影响。这一系列文章发表后,行为经济学逐步从角落走向金色大厅,并成为经济学的主角之一。

《赢者的诅咒》就是由这 14 篇论文构成。在这本书里,作者运用大量的实验证据和行为经济学理论解释了一些新古典理性选择模型无法解释的 “异常” 现象。比如书中提到的公平和互惠偏好、偏好反转、损失厌恶、双曲贴现、心理账户等,都是新古典理性经济人所不具备、而人们实际上本来就有的心理特征。通过这些心理特征,才能够正确解释诸如行业间的工资差异、拍卖中的 “赢者的诅咒”、股市中的日历效应和羊群效应、封闭基金之谜等等 “异象”。

在泰勒等人看来,寻求合理决策的人总是陷入理智和情感的纠葛,一会儿表现出超级的冷静,一会儿又表现出天真和幼稚。拿购买股票来说,市场上的股票良莠不齐,散户很难对其做出准确区分。当散户和机构同时购买股票的时候,由于机构对股票的了解更多,对于那些有投资潜力的股票,机构抢先购买了,散户买不到;等散户好不容易买到手,发现要么价位不合适,要么是机构不要的股票。行为经济学家把散户的这种境遇称为 “赢者的诅咒”,即看似散户成了赢家,实际上是拿着 “烫手的山芋”,反倒成了输家。这种情况普遍存在,比如艺术品、兰花,甚至土地和房屋等的投资过程中,不了解情况的幼稚投资者或者冲动的投资者总是被 “诅咒”,其根本原因就在于我们的有限理性。

实际上,在行为经济学之前,经济学家对理性选择模型的挑战从未间断过,从早期的阿莱悖论,到后来的弗里德曼-萨维奇悖论、西蒙的有限理性假说等等,都表达了学者们面对新古典模型的困惑和反思。但只有当行为经济学出现后,早期积淀的难题才真正有效地得到了解决。毋庸置疑,行为经济学是继博弈论之后经济学一次最大的手术。

现在看来,这次手术取得了初步的成功,并且主流经济学家也认识到了这一点。在如今的行为经济学阵营中,有泽尔腾、阿克洛夫、史密斯等诺奖得主,也有博弈论大师弗登博格和梯若尔等人。这种阵势,如果还不能说明行为经济学的超人魔力,那又能说明什么呢?

《赢者的诅咒》中的文章离现在已近 20 年了,但其蕴含的思想性、逻辑和证据,仍然能够帮助我们理解经济理论和经济现象。新古典主义是成功的,但随着行为经济学的兴起,经济学家看到了知识反哺的力量,越来越多的人开始寻求其他社会科学学者的帮助;经济学终于不再骄傲,而是变得谦虚和务实。而一门谦逊的学科才是真正强大的。
《赢家的诅咒》读书笔记

本书由很多小的章节构成,每个章节会介绍一种经济学概念,都是由一系列经济学 / 心理学试验去逐步印证。

01 赢家的诅咒

文中一开始提到了一个现象:在对一些石油土地的竞标过程中,统计显示,中标的人往往最后却成为输家。为什么出现这种情况呢?因为很多人对于土地中石油的实际储量估计的过于过于乐观,导致出价高于石油土地的实际价值,进而导致 2 种情况:(1)出现亏损;(2)未亏损,但是盈利低于预期。

股票买卖过程非常类似,市场先生给出了目前的 “竞价”,你可以看到很多价格。但实际上,很多人对于公司的价值,根本没有一个锚定的价格,只能跟着当前市场先生的价格,甚至完全根本不估计公司的价值,更别提安全边际了。这样做的结果,经常就是:(1)投资亏损;(2)未亏损,但是盈利低于预期。

赢家的诅咒,让我想到投资中经常出现的情况:某些人经过好多年炒股,资产翻了好几倍。突然有一天,全赔了,不止丢失了之前的利润,连本金也没有了。这种不是建立在真正认知的基础上,而是靠运气迎来赢来的金钱,又何尝不是一种诅咒呢?

如何应对 “赢家的诅咒” 呢?

假设竞标石油土地,按照 “赢家的诅咒” 的逻辑,赢家的出价往往高于实际价值,如果你深知这个逻辑,那么最好的决定就是不参与竞标(因为参与后,如果赢得标的,那么亏钱或盈利低于预期;如果未赢的标的,还要花费一些额外的应标成本)。但是如果你不参与竞标,那么你就需要换工作了。

作者推荐的做法是,与竞争对手分享你的知识(关于赢家的诅咒这一认知),促使他们也降低出价。就是防止 “内卷”。

不过在股票投资过程中,你可以选择既 “不参与竞标”,又 “不换工作”,你只需要耐心等待,等待市场先生给你的机会。

02 跨期选择

跨期选择主要是指成本和利益分散在各个时期里进行的决策。比如在买家电的时候,是买一个便宜但耗电的,还是贵一些但省电的。其他决策,诸如是否投资、买房、退休要存多少钱等等,都涉及到跨期选择。

在面临短期与长期选择、金额大与小的选择的时候,人们经常选用不同的标准,但其实人们并没有意识到不同选择内含的贴现率是不一致的。

当人们投资时,往往觉得 10% 的回报率太低。但从银行贷款时,反而觉得 5% 就很高了。这反映了人们对于收益和损失的贴现率不一致,而这也往往影响我们的决策。这也是由于 “债务规避” 倾向,人们倾向于提前还贷。

** 其实,贴现不只是货币的时间价值,也可以应用于各种效用、感受。对于未来的一些计划、设想,都涉及到贴现。** 并且这些未来的事情,如何贴现到当下,隐含的贴现率其实不一致。比如下面的 2 个例子:

如果一位皮肤科医生警告病人 “暴晒太阳可能会导致皮肤癌”,病人可能没有什么感觉,也不当回事,因为皮肤癌对一般人来说太遥远。然而,当皮肤科医生警告病人 “暴晒可能造成毛孔粗大并且产生黑头”,那么病人往往会听话,因为这个结果是短期可能产生的。

想戒烟的人,往往只会一盒一盒的买烟,而不是一次性买一条,尽管一条买更便宜。因为他们不止考虑金钱,也对 “一盒” 与 “一条” 烟的效用进行贴现,并且贴现率不一致。

03 关于经济学的一些假设

这本书中,也对很多经济学中的假设做了一些补充,值得去思考:

(1)关于理性人

理性人是经济学中一个很重要的假设,但要记住的是,他仅仅是假设,不是事实。

** 人们在现实中的很多决策,往往是非理性的。
**

**(2)关于效用函数
**​

在经济学中,效用函数是一个很矛盾的方法。因为任何选择,无论有多奇怪,都可以找到某些效用函数(只要参数够多),使其合理化,使得这些选择成为最优解。

读书:《赢家的诅咒》(1)

原著:理查德 * 塞勒

合作过程就是博弈的过程,人们是如何理解合作博弈的?#

第一,单次博弈和重复博弈以及搭便车行为

要探讨人们为什么会合作?必须要检视单次博弈及重复博弈这两种情景。

例如,是不是每个人都是在与他人反复的互动中发现合作的利益后,才会表现出合作的意向呢。

行为经济学家通过实验得出等结果似乎单次博弈也有合作的意图,按照理性的经济人学说来理解,面对多人博弈,单次博弈应该是不参与博弈收益做大,事实上只要有一部人参与公共产品的博弈,另外一部分不参与,就可能得到较优的结果。

例如春节放烟花,小区里有一部分业主买了烟花在广场放,一部分业主是没有买烟花的,他也看了放烟花,这就是一种搭便车行为,免费看了其他业主花钱购买的烟花。

如果小区内没有一个人放烟花,那小区就无烟花可看,总有业主为了自己春节快乐去放烟花的,这就是用事实说明了,单次博弈总是有人愿意买单,只有部分人买单,公共产品就达到次优水平,其他人买不买单似无足举重。

如果同样的参与者重复几次参与同样的博弈,会有什么结果?

实验结果出现了两个主要的结论:第一,在开始的博弈中观察到的合作概率较高,获得公共产品 53% 的贡献率。第二,在几次重复后,发生合作概率大幅降低的情形。在五次测试后,对公共产品的贡献率只剩下最优贡献率的 16%。

为什么贡献率会因重复博弈而下降呢?一个合理的推测为,受试者在实验过程中学习到了一些事情,引导他们采取搭便车这个占优策略。如果这样的占有策略继续下去,那重复博弈就会停止,而事实并非这样,每个人都知道重复博弈对自己有利时,贡献率就会提高。

第二,利他主义和互惠式利他主义

人类为什么有这么高的合作倾向,目前的一项相当流行的解释催生了互惠式利他主义机制。

什么是互惠式利他机制呢?就是我对你有帮助,你也会对我有帮助,人们的基因中都有互惠的倾向,正因为这种基因倾向的内化到行为中,就看到很多社会交往才会井然有序。

我们举个案例会对让你更好地理解互惠式利他主义。你发现没有,在我们排队等公交的时候,如果前面有一个残疾人行动缓慢,上车困难,那后面乘客都会辅助他上车,这就是对他们的帮助,帮助残疾人,就使得后面的乘客上车更为快速方便。这就是互惠利他案例的生活表现。

还有大量的经济贸易都是互惠利他的,如果交易无法达到互惠,那所有交易都无法完成。

利他主义和互惠式利他主义是有区别的。利他主义是完全互惠他人,而不问对方是否有回报。

典型的案例就是父母财产无偿地给予子女,这样情况基本发生在群族亲戚之间。也许这会启动一些道德考量,产生做 “正确的事” 的效应。不过有时候的利他,也许对自己是个灾难。

我们同情乞丐,施舍他们钱币,殊不知,这个乞丐也许是骗子,利用人类利他主义的思维倾向骗取钱财。如果你能真实理解利他主义内涵,就会理解慈善和怜悯的本质不同。

第三,所有合作都是博弈的结果

在产权稳定的情况下,所有的合作都是一种博弈,而且任何博弈都和双方错处环境有着密切的关系,无论单次博弈,还是重复博弈,人们不都会考虑自己博弈结果的最优占比,同时由于思考问题的角度和环境不同,也会做出非理性人选择。

每个人都要在博弈中获得自己想要的优势,那就好好研究自己在博弈中的环境和条件吧。

赢家的诅咒 2
“最后通牒效应” 打破的是人的理性选择,引发的是人对客观事物均衡的认知

第一,什么是 “最后通牒效应”?

“最后通牒效应” 我们也称之为 “最后通牒博弈”,它是行为经济学对传统经济学的理性人假设的一次挑战。

在多人博弈中每个人对客观事物的认知都是不一样的,如果这件事情能够办成,那就必须达成对这件事的共识。

在日常的经济生活中,博弈多方通过竞争、谈判、了解对方策略等多种手段,力争达成竞争后的稳定市场状态。

我们说个案例,让你能更好地理解 “最后通牒博弈” 真正的内涵和外延。

A 得到 100 美元分配权,她必须把这个 100 美元的一部分 C,分配给 B,如果 B 接受 A 的方案,那 B 就能得到 C 部分,A 也能得到 100 美元 - C 的部分。如果 B 不接受 A 的方案,那 A 和 B 什么也得不到。

按照传统的理性人假设,A 应该给 B 越少越好,例如可以给你 B 壹美元,其余的 99 美元都归自己,B 本来什么都没有,按照理性经济人的思维,无论多少她都应该接受。壹美元也是白得的,这应该是理性的选择。

但是事实并非如此,B 会不会因为壹美元对他来说无所谓,对 A 拿走 99 美元而闷闷不乐,感觉 100 美元给自己 1 美元简直是对自己的侮辱,B 就彻底拒绝接受壹美元的施舍,导致 2 人什么也拿不到。

结果完全颠覆人们对传统经济学理性人的假设的认知,最后发现人真的是非理性的动物。行为经济学家通过的多组实验得出的结果是:如果 A 能出不低于 100 美元的 30% 价格,B 接受的概率就达到的 70%,而最理想地实践结果是:最能让 B 接受的数字应该是 50 美元,也就是 50%。

第二,明明知道自己无法中彩,为什么还有人长期笃定地购买彩票。

“最后通牒博弈” 在生活中案例很多,最典型的案例就是彩票问题。明明知道自己无法中彩,为什么还有人乐此不疲地购买彩票呢。

理性人的做法是不买彩票,因为,所有的购买付出,均不能使购买的结果效用最大化,所有的付出都是在低效用范围盘旋,理由是你中彩的概率几乎为零。

但人们不这样想,她认为几元的彩票对自己来说损失可以忽略不计,说不定 “运气” 会给他带来几百万的收益。彩票的发行方正是利用了人们 “低效用区的决策陷阱”,赚地盆满钵满。

第三,“最后通牒博弈” 在一宗遗产继承中的应用。

遗产继承也存在典型的 “最后通牒博弈” 的结果,不过,遗产继承有一个规则,那就是各继承人平均分配遗产(遗嘱继承除外),按说一宗遗产最后都能达成一致协议,做到合理分割,那所有的继承人可说都理性人的做法,而事实并非如此。

每个继承人都会有自己不同的目的和诉求,而不会考虑其他继承人的心理情绪,而导致遗产继承诉诸法院分割,我们再一次抛弃分割继承遗产的强制措施外,正确的方法应该按照遗产的对不同继承人的效用分割,应该是最符合人类经济活动的。

案例:A(50 岁)去世,合法继承人有 B(A 的父母 80 岁)、C(A 的妻子 34 岁)、D(A 的子女 3 岁)。留下的合法财产为:房产一套,估值 200 万,各类存款抚恤金等 300 万。房产目前 B 实际居住,各类存款及抚恤补偿金在第三方处。

请问 B、C、D 如何分割遗产。如果们抛开物的效应,按照法律的规定,那就应该房子卖了,把所有的物件变现,都集中为现金,大家一起平均分配所有的遗产现金,这样就完全符合理性人认知的法律规定。

目前房产由 B 居住生活效用最大。C 正是面临抚养孩子,房贷按揭,车贷按揭等多重压力,而最大效用应该是拿上钱,开始自己的新生活。

你觉得什么样的分配方案是最优的呢?请在评论区说出你的答案?

“最后通牒博弈” 就是让博弈的双方各自利益做优化 ,最满意的条件下达成一致的意见。双方应该考虑法院处理案件的所做的判定结果和机会成本,协议就不难达成,如果有一方做出非理性和情绪的选择,那也就只能通过司法解决。

试想想法律最终处理的结果和你开始初衷协商的结果有哪些区别?

第四,时刻记住,中国人面对共同的利益是:不患寡而患不均。

子曰:“君子不患寡,而患不均”,以前并不知道这个古人总结的人生道理。

这个道理用现代行为经济学的原理分析,就是 “最后通牒博弈” 在人生中的一次应用。这里的 “寡” 不仅仅指财富,站在更高的维度还应该有人的地位,面子,声望等等与人生有可比的地方。这里说的 “均” 不是完全平均,而是中国人特有的平均概念 - 差不多。中国人讲究的 “中庸之道” 也就是这个道理。

如果当年有诺贝尔奖,那一定是给 “孔子” 的,绝对不会有理查德 * 塞勒的什么事?

《赢家的诅咒》(3)在竞拍中最终的胜出者都是输家
在竞拍中最终的胜出者都是输家

第一,什么事赢家的诅咒?#

行为经济学家对在竞拍中的竞拍者做了深入的研究,发现最后那个在竞拍中胜出者并非赢家,而有可能是最大的输家。

竞拍活动按理说应该是个非常有理性的活动,而事实上并非如此,总是会做出大量的非理性举动,而最后会发现看似出价最高的胜出者,是最大输家。

如果你是理性的,难道就不会成为赢家的诅咒吗?并不是。“赢家的诅咒” 是一种客观规律,即使参与竞拍的人都是理性的,也可能出现这个结果。

任何人都无法避开 “赢家的诅咒”,我们无法克服人性的这个弱点,只不过我们在这个 “诅咒” 中陷入的深浅而已。

1 - 只要有竞拍,甚至是竞争,人都会陷入 “赢家的诅咒”,即使你思考了,也基本没用。

2-“赢家的诅咒” 是一个客观规律,只有你自己掌握了它,才会避免被 “诅咒” 的太深。

第二,理查德 * 泰勒给出的实践案例#

一个存钱罐放入 100 美元,让 20 个人参与这个储钱罐竞价拍卖。

20 个人都会依据自己的经验和认知对存钱罐估值。如果你的估值是 80 美元,那在竞拍中 75 美元的时候就退出了。如果你估值为 120 美元,就在 110 美元的时候也会退出。实验的结果是 105 美元为胜出者的平均价,也就是胜出者平均亏 5 美元。这实验反复做了几十次。

道理很简单,参与者既有高估的、也有低估的,而胜出者一定是高估的。最后胜出者就成为这次竞拍的输家。

那些出价低的应该是保守、谨慎的投资者,这说明在竞价中的谨慎是对自己非理性的最好限制。这就是 “赢家的诅咒”

1 - 只要你参与竞拍,就会由估值,就对错误的估值,就是被成为赢家诅咒。

2 - 即便你是个保守,谨慎者,也照样落入赢家的诅咒。做好的办法就是不安于竞拍。

第三,你自己在生活、工作中遇到过赢家的诅咒吗?#

哈哈,这问题问的太好了,所有的理论都必须的在市场中找到鲜明的案例加以佐证。超市中的尾货的竞价打折,网上的商品的竞价拍卖,最后的胜者都会遭遇赢家的诅咒。我是一名律师,那就在处理的案例中找到赢家的诅咒案例吧?

离婚案件中,夫妻双方分割共同财产中,涉及房屋的分割最容易出现 “赢家的诅咒”。

房屋成为人类生活的必需品,法律对夫妻共同房屋分割的方法是协商,如果协商不成,就会评估房屋的价格,获得房屋产权的一方支付另外一方的对价。如果双方均要求住房,那就会对该房屋双方竞价,出价高一方获得房屋,并支付对方房屋折价的价款。你觉得出价高的那个人真的是赢家吗?也许他就是最大的输家。

房屋的估价已经通过第三方评估,这估值影响着离婚双方当是人对是出价的判断,按照心理学的方法,这个估值就是行为心理学上说的 “锚点”。

任何一方都会被锚点锁定,如果这个点本身就是个非理性的价值结果。那后期的出价完全就失去价值的意义,而是被赢家诅咒。

假如房屋的估值是 100 万,女方愿意出 50 万,获得房屋,而男方愿意出 60 万获得房屋,这样的竞价也或许还还会攀升。除了对这房屋有其它感情的瓜葛外,那男方已经亏去的 10 万。

如果对未来房价判断的有误,房价下跌,那就是真的遭遇到了 “赢家的诅咒”,所以,最好的方法是房产不分割了,双方约定留给孩子,谁目前抚养孩子谁居住。你看着这是个理性的方法吗?是不是能避免的赢家的诅咒呢?

1 - 离婚案件中最大的诅咒是你对情感过高的估值,遭诅咒后是个大输家。

2 - 理性分割夫妻财产,不介入双方的竞价分割,避免成为赢家诅咒的牺牲品。

第四,如何克服赢家的诅咒带来的不良效应#

1 充分获取信息量。我们在参与一项拍卖的时候,最主要做的工作就是获取涉案标的的信息量,你获取得越多,你的对她的价值就约清楚,你就越能避免 “赢家的诅咒”。不仅仅是竞拍中,在工作也一样,完成一项工作前,获取该工作信息量越大越详细,成功几率就越高,避免 “诅咒” 几率就越大。

2 谨慎出价,保守出价。我们遇到竞拍的时候,千万不要上头,任何产品都是市场充分供应,没有稀缺。所以,你理性地站在第三方的角度审视竞品,就会对出价谨慎,再谨慎。如果再加上平时修炼的保守性格。谨慎出价 + 保守出价一定能避免 “赢家的诅咒”,除非你对竞拍有其它特殊的心理价值取向。

老案读书:《赢家的诅咒》(4)偏好反转让选择和决策不偏好反转让选择和决策不一致

第一,什么事偏好反转?#

在期望值大体相等但获益金额不等的一种博弈状态中,当要求人们从中作出某一选择时,人们往往偏好概率高而损益值小的博弈,即安全博弈,(人们希望的是大概率的确定)。不喜欢获益概率低,损益值大的博弈,即风险博弈。(人们不愿意承担发概率的风险)。

但是当要求他们对里面的博弈进行定价的时候,反而那个获益概率低,损益值大的博弈,必须要有更高的定价才行。也就是说人们在选择与定价中表现出偏好的不一致现象。

这个定义说起来有点烧脑,为了更好理解什么是偏好反转,我用一个案例给你讲明白。

心理学家保罗。斯洛维克和萨拉。利切坦斯泰因最早发现了这一现象并做一个实验得以验证。

实验的内容是,他们要求被试者对两个价值相当且仅在概率和金额上存在差异的赌局进行选择与定价,即 P 赌局有 99% 机会赢得 4 美元,而 S 赌局有 33% 机会赢得 12 美元。

如果按照理性人的观点,这两类赌局的偏好应该是相当的,因为他们的期望相同(99%*4=33%*12)。但研究结果却违背了常理,他们惊讶地发现,被试者不但没有表现出理论上所说的那种理性行为。

被试者基本一致认为,他们更喜欢选择 P 的赌局,但如果实在要选择 S 赌局的话,那就需要给出一个比 12 美元更高的价格的时候才会考虑。这就是偏好反转。

中国人所说的:不打无把握之仗。重奖之下必有勇夫,就是偏好反转的古汉语解读。

第二,偏好反转在现实生活中的应用#

1 我们如何买股票?

目前有两只股票,A 股票上涨的可能性是 80%,能赚 2000 元,下跌的可能性是 20%,啥也赚不到。B 股票上涨可能性事 40%,可以赚到 4000 元,下跌的更能性事 60% 啥也赚不到。你应该选择则那只呢?

安全博弈模型下,你应该选择 A,但是,如果你冒进一点,风险博弈模型下就选择 B,选择 B 相对选择 A 多出的 2000 元,就是地你风险选择 B 的补偿。如果给这个两只股票定价,那 B 股一定会大于 A 股。投资就是对心理偏好的检验,国家为了避免投资者的非理性,就设定的合格投资人这概念。

2 律师代理经济纠纷案件中风险代理就是一种偏好反转

一宗经济纠纷案件标的 1000 万委托律师代理,关于代理费当事人给出 2 个方案。A 方案正常支付代理费 50 万元,B 方案案件胜诉,拿到案款后,支付 300 万元。如果你作为律师你会选择那个方案呢?安全博弈下的律师大部分都是选择正常代理模式,如果是激进的律师也许面对 300 万代理费的诱惑,也会选择风险代理。

第三,偏好反转让 “小三” 上位难度太大,#

一个普通的 “小三” 成功上位的概率高 还是一个普通人恋爱到结婚的概率高?

答案是肯定的,“小三” 上位比普通人正常恋爱难度高出百倍,这是为什么的呢?在正常的婚姻市场中如果有 2 个选择,A 小三,年轻、漂亮。B,原配:不年轻了,有孩子。按照正常男人生理偏好选择,那一定是 A,如果作为正常过日子,考虑到孩子的未来,职位的未来,男人一定会选择 B。偏好反转尽管是行为经济学研究的成果,不过在生活的研究结果表明了,偏好反转现象在现实生活情景中确实表现出非常经常,非常普遍,我们不能避免偏好反转在现实中发生,但是,我们应该明白我们为什么会在某件事情上有偏好反转。

《赢家的诅咒》(5)做法官、做检察官,还是做律师薪资一样吗?我们的选择真的大于努力吗?

传统的经济学家是用假设的理性人来解释这个世界发生的现象,行为经济学家恰恰是用非理性的观点解释经济现象。

在劳动能力市场跨行业工资价格差异方面就发生不同的解读,启发了我们理解为什么同样的工作岗位会有不同的工资,为我们的职业规划提供了很好思路。

第一,同工同酬是真的吗?#

企业中普通的岗位,比如文秘,行政等在一家企业工作一段时间后就会跳槽到另外一个行业从事同类的工作。当原雇主问她为什么跳槽的时候,她坦然回答说,另外一行业的对于同类岗位给出更高的薪资。

这让原雇主大惑不解,难道同类岗位跨行业薪资有很大差异吗?

传统经济学对于商品和服务有个基本原理就是 “一价定律”。意思是如果市场运作良好,且没有很大的交易成本或运输成本,同样的物品无法以两种不同的价格出售,因为所有的买方都会到价格较低的市场去购买,而所有的卖方都会到较高价的市场出售。很快地,不同的价格必会趋向一致。

但是,市场的结果并非传统经济学的所想象的那样,在不同的行业,同类岗位确实薪资有很大的区别。

在劳动市场上可能存在严重违反一价定律的情形。最典型的案例就是你可以看看那些招聘广告,同样的工作职务,跨行业以后的薪资完全不同。如果一个产业中的某个职务的工资较高,则该产业的所有职务也倾向于工资较高),而且这是长期现象。为什

第二,传统经济学家对市场工资趋于平均的辩解#

传统经济学对这现象做出两项的辩解,以企图说明人之所以选择高工资有其特殊的原因,是一个理性的选择,似乎也有一定的道理

1 高工资只是补偿高工资产业中一些无法衡量、令人不悦的工作条件的差异。例如,矿业的高工资当然可以解释是因为矿厂的工作环境不舒适、不安全。

2 高工资产业可能雇用较优秀的员工。

以上解释似乎有些道理,不过很快行为经济学家做出了另外的验证。

如果高工资是补偿性差异,那这行业的人就不会轻易离职,事实上也是真是这样,他们不轻易离职原因在于他们认为自己的薪酬有适当的溢价,离职会损失他们的机会成本。

还有无论是否是优秀员工,你干的工作内容是一样的。一个产业可能因为技术的原因想要在某些职务上雇用高素质的员工,但是,为什么所有的职务都会工资较高呢?

同样地,高薪产业中的某些职务可能工作条件很艰苦,但是为什么这些产业中的秘书与管理阶层也应该拿高薪呢?

这似乎用传统经济学无法解释,说明一个问题就是行业应该有其非理性的一面。

第三,跨行业工资差异的真实原因#

1 职业经理人不在追求去也利润最大化

这不是胡扯吗?哪有这样的企业。你再仔细想想,职业经理人对于股东而言是努力完成自己的 KPI 指标,利润似乎与他们无关。

经理人有自己的小九九,如果利润是股东的,那高工资应该是自己的,是自己的合法收入。这打破了传统经济学经理人与企业 “代理关系” 的假说。

因为 “代理理论” 无法解释跨行业工资差异假说,只能说明这理论是不成立的。

这就印证了在同类岗位上为什么高利润的国企(或者是上市公司)的工资普遍高于其他企业,有时候还高得离谱。

2 低工资可能造成企业利润的损失

产出靠员工的努力,而努力与工资正相关。你付的工资越高,你得到的员工努力越多。根据各种不同的 “努力 —— 工资” 正相关关系,有一些不同版本的模型被提出来。也许能更好地解释高工资的理由

(1)防止偷懒:支付高于市场工资水平的公司,会做一些监督工作,并解雇那些被抓到偷懒的员工。公司借由支付高于市场工资水平的方式,降低员工偷懒的诱因。

(2)降低人员的流行:给流动增加成本,流动意味着损失工资的溢价。

(3)提供员工更高的工作素质:雇主可以轻易地在芸芸众生中选择素质高的员工。如果工资低于行业平均水平,那估计你连员工都找不到。

(4)保证公平公正:公平工资模型的前提是员工如果认为得到的是公平的工资,他们就会更努力,这个假设使得公司愿意支付高于竞争性水平的工资,高薪会出现在团队工作及员工合作特别重要的那些产业中。

第四,不是你做了什么?而是你在那个行业做,我们选择大于努力#

VOLNET'S HOME 传统经济学假定人是理性的,推演分析出了一套严谨的经济学理论,在现实应用的时候,却发现很多经济决策的过程并非总是遵循这样的规律,它们经常会出现一些偏误,而且很多偏误是有规律的。

传统经济学假定人是理性的,推演分析出了一套严谨的经济学理论,在现实应用的时候,却发现很多经济决策的过程并非总是遵循这样的规律,它们经常会出现一些偏误,而且很多偏误是有规律的。本书总结了一些常见的现象,并通过大量的数据和论文引用,来说明这些问题,这些都属于行为经济学的范畴,是相对于传统经济学而言的。

行为经济学出发点在于一开始就接受了人不是理性的,即便是理性的也可能是能力不足以完全理性的,因此每个个体做出的决策会导致在宏观上出现一些无法简单解释的现象。这样的现象不是特例而是普遍存在的,因此行为经济学也成近几年大热的学科,在诺贝尔奖上频频夺魁。

​本书一次性带你看穿 13 个反常现象,深入浅出行为经济学。

经济生活中的悖论和反常现象

The Winner's Curse

Paradoxes and Anomalies of Economic Life

高翠霜 译

主流经济学强调理性人和自私,用萨缪尔森把数学推导带进了经济学。但现实中的经济学,并非所有人在所有时候都是理性的,很多因素都可以让最终的行为无法用主流经济学解释。

行为经济学来自于观察现实和实验经济学,对主流经济学中的一些失误进行了补充和发展,使经济学更贴近现实、更接地气。

赢者的诅咒是从作者的 13 篇专栏中脱胎而来,主要分析经济中的反常现象,与主流经济学的分析和预测不一致的现象,但在现实经济中普遍存在。

推荐序中还介绍了作者的另外两本书《助推》和《“错误” 的行为》,《助推》讲的是通过不同的,可以引导人们行为的方法,叫做助推。而《“错误” 的行为》,则是回顾了整个行为经济学的发展史,整合了不同学者的观点和发展历程。

理查德・塞勒获得诺贝尔经济学奖,这个奖既是颁发给他的,也是颁发给他所在的领域 —— 行为经济学的。

他的三部重要的著作:

  • 《“错误” 的行为》,反映了理查德・塞勒在学习主流经济学的时候,观察和总结出了诸多 “不理性” 和 “不自私” 行为的理论,它从很大程度上对主流经济学的基础提出了质疑。
  • 《赢家的诅咒》,讲述了赢家往往变成输家背后的逻辑。
  • 《助推》,则提供了一种平衡专制主义和自由主义之间的方法,利用像家长教育孩子的思路,助推某些想要鼓励的行为,从而达到目的。

前言#

[↑]

在有许多人竞标的项目中,中标人常常是输家。可见,避免赢家的诅咒的关键因素就是投标人越多,出价要越保守。虽然这看起来可能违背常理,但这才是理性的。然而,大多数人提高了出价。

主流经济学强调人是 “理性” 且 “自私” 的。然而,很多时候,人们无法像经济学家一样做到完全理性,像西蒙说的 “有限理性” 更加普遍。而人们也不一定是自私的,他们在会懂得协作,捐献善款,保持环境卫生,偷税漏税,保险造假等。

在类似,你可以转让的比赛门票的问题时,当你处于卖家 / 买家不同的立场时,常见的回答是作为卖家的你的出价会比作为买家的你出价高出不少,而按照主流经济学的理论,你的出价应该是基本相等的。

本书对主流经济学的一些批评,是从主流经济学的一些理论上得来的:

  1. 米尔顿・弗里德曼认为,即使假设是错误的,只要能够依据理论做很好的预测,也是无关紧要的。也就是说,人们对结果的假设,不会影响理论对结果的预测,如果理论 A 觉得结果是 A,那么不过行为人是如何假设的,结果仍然是 A。

而作者发现,撇开假设谈理论的预测准确性是站不住脚的。

  1. 人们确实会犯错,但是在解释整体行为时,这些个人错误不是问题,只要这些错误的影响会彼此抵消。

但这个解释也是站不住脚,因为大家观察到的许多背离理性的选择是系统性的 —— 错误偏向同一个方向。

  1. 在人们有很强的动机做最优选择的市场中(例如金融市场),“非理性” 或 “利他主义” 都不会对市场产生影响。

而作者发现,金融市场也充满了反常现象。

这本书,当 13 个反常聚在一起的时候,可能就不是一种偶然,而可能反映了一种模式。

01 合作#

[↑]

文章以银行家和福特的对话为开始,银行家代表了理性与自私,而福特代表了福利机构,在这段对话中,极具理性的银行家否认了募捐这种行为的存在,而福特则代表了另外一类人的行为。

许多经济分析 —— 其实是所有的博弈理论 —— 都是从一项假设开始的,就是假设人们兼具理性与自私。著名的囚徒困境和公共产品(搭便车)案例,都是在这个基础上推导出来的。

但是像电视募捐、餐厅付小费、选票,这些案例都证明了人们可能会用合作来替代自私。

本章及下一章,将检视实验所显示的证据,来了解人们何时以及为何会合作。

单次博弈的公共产品实验#

根据帕累托最优配置,假设有 n 个人,参加公共投资,每个有 x 元钱,他可以选择投,也可以选择不投,最终公共投资的部分会乘以一个系数 k(1 < k < n),然后将这笔钱平均分给 n 个人。

用帕累托最优配置,则要求,所有人都将所有钱参与投资,因为 k 大于 1,所以最终实现每个人的利益最大化,用公式表示每个人的最终收益:

M0 = (x * n) * k / n = k * x

假设 x = 5美元k = 2n = 4,则每个人可以得到M0 = 10美元,所有人的总钱数等于10 * 4 = 40美元

现在假设 1 个人不参与投资,则用公式表示每个人的最终收益:

参与投资的(n-1)个人:M1 = (x * (n-1)) * k / n

不参与投资的 1 个人:M2 = x + M1

假设 x = 5美元k = 2n = 4,则M1 = 7.5美元M2 = 5 + 7.5 = 12.5 美元,总钱数为7.5 * 3 + 12.5 = 35美元(比之前少了 5 美元),但是不参与投资的人则比参与的时候,要多得M2 - M0 = 2.5美元

而这种情况在经济学上称作搭便车

这种搭便车有两种假说:

  • 强搭便车假说:所有人都搭便车,也就是没有人参与投资公共品。
  • 弱搭便车假说:部分人会搭便车,也就是不是所有人都参与投资公共品。

根据马韦尔和埃姆斯多项实验的结果是,通常公共产品都会达到最优水平的 40%~60% 效果,而唯一的例外是受试者全部是经济学学生时。

重复博弈#

上面是单次博弈的结论,如果重复几次呢,就成为重复博弈。有经济学家也进行了实验,在实验一开始,得到了 53% 的贡献率,和之前的实验结论基本一致,但是在后续的重复博弈中,公共贡献率只剩下 16%,也就是大幅下降了。

一个可能的解释是受试者逐渐明白了搭便车的占优策略,所以贡献率逐渐下降,但是这条被证实是错误的。因为实验在引入了有经验的受试者(假设他们已知规律)、明确告知规则、直接相同受试者相同人员组合重复多次重复博弈,得出的结论都是重复博弈中,贡献率逐渐下降

互惠式利他主义#

本节的结论:互惠式利他主义的逻辑确实可以推导出来,但人们也天然更倾向于合作。

互惠式利他主义,是观察到人们有互惠的倾向(仁慈对待仁慈,合作对待合作,敌意对待敌意,背叛对待背叛),推导出当考虑到其他人对自己的合作或背叛将来可能做出的回应时,搭便车可能在实际上是收益较少的策略。合作的做法本身(或是身为一个合作者的名声)比较有可能获得他人互惠式的合作回应,因此符合合作者的最终利益。

“一报还一报” 策略,是基于互惠式利他主义原则最系统性的策略。它证明了互惠型比非互惠型更有利。

互惠式利他主义的内涵之一是,当你的对手在未来没有互惠回馈的可能性时,例如在匿名或是只玩一次的互动状态下,个人在两难的情况下是无法合作的。以下几个实验,都反驳了这一点:

  • 单次博弈中,也观察到 50% 的合作率。
  • 基于互惠式利他主义推导出:假设最后一次合作,基于理性应该选择不合作,那么 N-1 次博弈就应该不合作,依次类推,一开始就不应该合作。—— 但是实验结果证明,合作率从未降到零。
  • 安德列奥尼的实验中,两组实验,一组是固定人员重复 5 次,一组是不固定人员重复 5 次,后一组的合作率高于前者。

因此,人们有合作的倾向,除非经验告诉他们互动对象在占他们的便宜,合作才会停止。

利他主义#

利他主义有纯粹和不纯粹之分,纯粹是指 “以他人之乐为乐” 的行为,而不纯粹是指 “做对的事(好事、有荣誉的事)”,它常被描述为良心的满足,或满足非工具性的道德命令。

在研究搭便车的动机的时候,有因为 “恐惧” 搭便车的,也有因为 “贪婪” 搭便车的。恐惧是指如果不搭便车,会遭受损失。而贪婪是指如果搭便车能够获得额外的好处。在实验中,贪婪比恐惧更容易促使搭便车。

如果在实验中引入 “讨论” 的环节,则将结果引导向 “合作” 的方向。群体认同在避免采用占优策略上,显然是一项关键性因素。研究还表明,只有群体成员全部做出承诺,承诺才和合作有关联,如果只是部分成员承诺,则承诺和合作关联不大。

评论#

我们既不能假设所有人都有自愿做贡献的倾向,也不能只考虑强搭便车行为,因为不是每个人每次都会选择搭便车。

02 最后通牒博弈#

[↑]

简单最后通牒博弈#

按照最后通牒博弈理论推导,也就是 “在 A 有一笔钱并且可以给 B 分配一部分,B 可以选择保留并两个人都分钱,也可以选择拒绝两个人都没钱”。如果 B 是一个理性人,只要给的钱大于 0,他都应该接受,毕竟这比一分钱都没有强。但是实验的结果反复证明,并非如此,现实中的 B 可能会因为追求 “公平” 而选择两败俱伤,同样作为 A,也可能为了 “害怕失去” 而 “选择公平”。

两阶段议价博弈#

两阶段议价博弈,是指 AB 两个人,A 先作为分配者,分配总金额为 c 的一部分资金(出价)给 B,如果 B 拒绝,则进入第二阶段,简单最后通牒博弈,AB 交换角色,总资金由原来的 c 调整为 δc( 0 < δ < 1 ),即 B 作为分配者。

根据博弈论理性推导的结论,A 的利益最大化出价方案是 δc,因为当出价大于 δc,则 B 都会接受,但是越是偏离 δc,A 所剩余的资金越少,如果 A 的出价小于 δc,则 B 都可以选择拒绝并拥有分配权,这样就可以分配无限接近于 δc 的金额,而 A 将得到无限小的金额。δx 这个值也称为精炼均衡。

第一个试验,总资金是 100 便士,系数 δ 是 0.25 也就是第二阶段分配总资金是 25 便士。实验的结果并不接近理性,经过多次实验,并通过反转 AB 顺序、提前提示规则等方式,实验结果更接近于精炼均衡点。这可能说明 “一旦参与者完全了解博弈的架构后,公平性的考虑很容易被策略利益的计算取代”,也就是,一开始很多受试者都不知道原来还可以通过计算锁定利益最大值,而是习惯性地采用更公平的 50% 分配方式,但是当他们清楚了规则后,则更倾向于利用策略让利益最大化。

但是这个实验结果很快在其他实验中遭到挑战,当告知规则的方式、设定分配者的方式、以及调整 δ 的大小(比如 0.1 或 0.9),都会影响到实验的结果。

多阶段博弈#

在多阶段博弈的实验中(五次 / 十次),博弈论和实际的出价并没有相关性,或者说,人们并没有按照博弈论进行出价。

实验还证明了,受试者的效用函数中有金钱以外的参数(类似那种 “两败俱伤” 宁可不拿钱或者少拿钱,也要拒绝)。

实验还证明了,那些平均要价最高的参与者,其平均收益是 “最低的”。

市场上的最后通牒博弈#

人们抵制他们认为不公平分配的意愿,在经济学上有超越议价理论的启示。

  • 过低的工资;
  • 消费者剩余被压缩到最小:几乎等于愿意支付的最高价格;
  • 相同商品在不同价格均衡值时候的成交表现:高档酒店 / 杂货铺卖同样一瓶啤酒,价格均衡值不太一样,但是成交价却不同;

每当卖方与买方有持续关系存在且市场出清价格(全部卖出)被认为是不公平的高时,卖方会有动机将价格降到均衡价格之下,以保住未来的生意。也就是卖方出价太高,就卖不出去了,于是就不断降价,直到刚好卖出去,这时候就达到均衡价值。但是售价如果过低,低于均衡价格,需求就会大于供给,因此出现黑市,黑市的价格会反映出均衡价格。

评论#

  • 标准化理论:告诉我们,一个理性的主体应该会做什么。
  • 描述性理论:告诉我们,经济个体实际上是如何去做的。
  • 指示性理论:在我们面对自己认知上或是其他方面的限制时,建议我们要如何做。

传统的博弈论是 “标准化理论”,假定人们都是自私理性的,而且都能算明白所有的逻辑,并且只关注收益最大化。

但是事实上,实际的结果是,除了收益,人们也关注公平、也可能算不明白博弈规则、也可能受到贪婪的影响,还有很多其他我们可能无法一一列举的因素,包括进行博弈的场景变化,都可能会影响到博弈的结果,而这些都是 “标准化理论” 没有办法解释的。

03 跨行业工资差异#

[↑]

一价定理告诉我们,如果市场运作良好,且没有很大的交易成本或运输成本,同样的物品无法以两种不同的价格出售,因为所有的买方都会到价格较低的市场去购买,而所有的卖方都会到较高的市场出售。很快地,不同的价格必会趋向一致。

但是在劳动力市场,同一个人到不同行业、不同职位、相同职位不同公司等都有较大的工资差异,这是违反一价定理的,但是却普遍存在。

事实#

通过对 “当前人口普查(CPS)” 数据的大数据分析,发现历史上,跨行业的工资相关系数很高,也就是,某些行业工资就是高,某些行业工资就是低,同时对于不同的职位在不同行业中,也明显地受行业的影响,比如同样是秘书,矿业的就比皮革业的秘书要贵。

可能的辩解#

辩解 1:雇主愿意支付更高的工资来补偿相同岗位的员工维持付出的更多,所以工资更高,比如矿业的员工工资高于均值,反驳理由如下:

  • 在原有回归方程中增加了一些数据纬度,像工作时长、危险程度等,结果并没有什么影响。说明矿业的秘书并不是因为危险而享受更高的待遇。
  • 高薪行业的跳槽率更低:说明他们跳槽的机会成本更高

辩解 2:高薪行业所雇用相同职位的人员素质更高,所以工资更高。反驳理由如下:

  • 在原有回归方程中增加代表素质的变量,如教育、工龄和年龄等,产业工资差异的标准差仅下降 1%。当然除了这些可代表素质的可测量指标外,可能还有一些不可测量的软实力没有被统计进来。
  • 为了确认不可测量的软实力对于工资的影响,多项实验尝试用转行业的员工数据来分析,为了降低 “选择性偏差(主动跳槽)”,还尝试用了 “非自愿离职(被动跳槽)” 的数据来修正偏差,这些实验的结果是,行业对工资的影响较为明显。但是另一项相似的实验中,只有 1/3 的数据支持这个观点。因此这些互相矛盾的研究,无法证明 “不可测量素质” 对于行业工资差异的影响。但是另一项关于智商和工资之间的调查研究结果表明二者之间存在负关系,也就是智商高的工资不一定高,倒是反证了不可测量素质(这里指智商)与产业工资之间没有明确的关系。

哪些行业工资高?为什么?#

研究人员找到四项似乎可以与薪酬水平相关的产业特征:

  • 公司规模;
  • 支付能力:即企业的市场力量(这里用 “四企业集中率”)或是获利能力(盈利能力);
  • 利润及市场垄断势力;
  • 资本密度:高资本劳动比率的产业倾向于支付较高的工资;
  • 工会密度:即产业内员工属于工会成员的百分比;

但是以上这些更多是相关性,而不一定是因果关系。

理论上的解释#

  1. 企业选择放弃利润最大化:也许是代理理论作祟,经理人放弃股东利益而选择给员工发放高工资。
  2. 高工资企业发现降低工资会造成利润减少,这种被称为 “效率工资模型” 有四种类型:
    • 偷懒模型:工资高,偷懒少,因为可以监督、开除、剥夺经济租
    • 人员流动模型:同偷懒模型,工资高,流动性差
    • 逆选择模型:工资高,员工素质高,反之亦然
    • 公平工资模型:和员工分享经济租,有利于让员工相信这是公平的,进而员工会更努力
  3. 集体行动的威胁:工会密度高的企业,可能会产生工会威胁。但研究表明,这条并非决定因素。

评论#

在之前提到的各项可能的原因中,都有难以证明的部分,缺乏实证基础或者无法检验。

结论:产业工资模型是很难理解的,除非我们假设企业在设定工资时,关注到了员工对公平的感受,而这是一个只有经济学家才会发现其争议性的假设。

04 赢家的诅咒#

[↑]

在多人投标的场景中,往往会出现赢家的诅咒现象,要么中标物价值低于中标金额,要么中标者所中标物所带来的利润不及预期。

实验证据#

通过多项实验室实验,证明赢家的诅咒总是存在。

当投标方增多的时候,更容易产生赢家的诅咒。

通过反复实验,受试者中极少人会进行学习来避免诅咒,至少证明了通过学习是很困难的。

另外通过将受试者身份从学生换成有投标经验的工程师,也难以避免,一种可能是因为实验场景和真实场景不同,在真实场景中,很多经验可以帮助他们避免诅咒(比如说特定的行业)。

实地资料#

通过复盘历史资料,对离岸石油及天然气租赁以及企业并购的数据进行分析,前者的大量数据证明收购方通常无法赚回其支付的成本,而企业并购中,收购方即便有获利的情况下,也获利极少。

评论#

理性人是经济学中的一个假设,而非事实,因此实际情况中我们不能排除人们犯错和已知某种理论。

即便是投标人已经知道了赢家的诅咒,他们为了赢得投标可能也不得不按之前的方法投标,否则他可能根本无法中标。为了既能中标也能获得足够的利润,更有效的方法可能是将这些新的理论分享给竞标对手,让大家避免陷入价格恶性竞争中。

以卡彭等人的话为本章做总结:“对一块他认为值得投资的土地来投标,长期而言,这个人将会损失惨重”。

05 禀赋效应、损失规避及现状偏见#

[↑]

禀赋效应(塞勒):人们在出售一样东西时的要价常常会远高于他们获得此物时所支付的价格。

现状偏见(萨缪尔森和泽克豪斯):对现状的偏好。

损失规避(卡尼曼和特沃斯基):放弃一项物品的效用损失大于得到它所获得的效用。

禀赋效应#

克内齐和辛顿的实验,显示出拥有者不愿意放弃他们的东西(以他们拥有成本的标价),而不是买方不愿意放弃他们的现金进行交易。

交叉的无差异曲线#

两条无差异曲线是不会相交的,无差异曲线是可逆的。无差异曲线大致的意思就是你可以用 x 来换 y,也可以用 y 来换 x,这二者之间没有差异。但是如果损失规避出现,从 x 换成 y 的过程中,就出现了 “愿意” 这样的变量,同一个 x 换成 y 就会出现两条相交的曲线。

实验证明了,一开始先拿到 x 的受试者更不愿意放弃 x,但是用调查的方式并不能发现他们更喜欢 x,它表现为不是在强化拥有的物品的吸引力,只是强化了放弃它的痛苦。换句话说,就是当你拥有了 x,即便你不一定很喜欢,但是你也不愿意失去它。

现状偏见#

个人有强烈的维持现状的倾向,因为失去现状的弊大于利。多项实验都证明了这一点。

损失规避#

风险性选择研究的一个中心结论就是,对这些选择的最佳解释是假设效用的重要载体并不是财富或福利状况,而是对于中性参照点的变化。另一个重要结果是,这些变化所带来的损失比现状的改善或所带来的收益更大。

而且损失规避通常不会出现在所有的交易中,而只会出现在那些原本想要买来使用的人身上,如果你本来就是经销某种商品,只要价格合适通常不会产生损失规避。

强化的损失规避#

有些买价与卖价之间的不对称性实在是太大了,我们无法用普通的损失规避来解释。

比如一些风险涉及到死亡、环境彻底破坏、以及一些原则性问题上,甚至有很大一部分人会要求支付 “非常大或无限大的补偿金”,甚至直接拒绝进行交易。

对公平与公正的判断#

禀赋效应的一个含义是,人们看待机会成本不同于 “从口袋中掏钱” 的成本。比起感受到的损失,你放弃掉的收益所造成的痛苦还比较少。

额外收费(顾客可能认为是一种损失)被认为比取消折扣(利益的减少)更不公平。这种区别解释了为什么那些向付现金的顾客收取一种价格,而对刷信用卡的顾客收取较高价格的公司总把现金价说成折扣,而不是把信用卡价格作为额外收费。

评论#

必须要放弃 “偏好次序是稳定的” 这个重要观念,将次序改为支持决定于目前的参考水平的偏好次序 “。

在评估结果时决定参照点的因素很容易理解:现状的角色以及权利和预期的角色,必须要建立起来,使得这些因素可以在做特定分析时,用来确定相关参照水平。

06 偏好反转#

[↑]

百度百科:偏好反转 (Preference Reversal) 是由心理学家 Lichtenstein 和 Slovic 于 1971 年发现的风险决策中一种奇怪而普遍的现象,即在期望值大体相等的一对博弈中,人们往往选择概率高而损益值小的博弈 (称为安全博弈),却对概率低而损益值大的博弈 (称为风险博弈) 定高价,也就是说人们在选择与定价中表现出偏好的不一致现象。大量的实验证明偏好反转广泛存在于人们的经济行为中。

特沃斯基、斯洛维克和卡尼曼的研究可以总结如下:

  1. 不可传递性本身只占了偏好反转模式的一小部分。
  2. 偏好反转不太会受到报酬计划的影响,因此不应归责于预期效用理论的失败。
  3. 偏好反转最主要的原因是程序不变性的失败,更准确地说,是对赌局 L(概率较低但是收益更大的赌局)的定价过高。也就是说,与赌局 L 有关的最低出售价格(与赌局 H 无关),相较于赌局与现金数量之间的选择太高了。

相容性假说#

“刺激 - 反应相容性” 的观念,是由研究直觉与运动神经功能的学者提出的。例如,排列成四方形的四个燃气灶上的燃烧器,其控制钮如果排成和燃烧器一样的四方形,将会比排成一排更容易操控。斯洛维克、格里芬和特沃斯基延伸了这个概念,并提出刺激因素在判断或选择上的权重,会因其 “反应尺度” 相容性而提高。它包含两个方面:

  1. 如果刺激与反应无法搭配,就需要额外的心理操作让两者能对应上。这样会增加工作量及错误,且可能会降低刺激方案的影响。
  2. 反应模式倾向于将注意力集中在刺激方案可以相容的特性上。

基于这个理论人们进行了各项测试,并发现了 “内容” 权重对于 “选择” 的关系。

  • 选择:人们会根据重要性排序,来决定选哪个,比如 “人类生命” 显然很重要。
  • 定价:人们会根据等价现金值进行排序,而对于小概率事件的定价过高,会导致偏好反转的发生。

评论#

偏好反转不能单单归因于不可传递性或违反预期效用理论的独立性公理。它似乎产生于选择与定价之间的不一致,而这种不一致则是由度量尺度的相容性诱发的。

本章所提到的实验结果显示上述两种情况都不成立:

  1. 人们不是对所有的状况都有一套预先确定的偏好。其实,偏好是在做选择或判断的过程中建立起来的。
  2. 做选择或判断时的情境及程序,会影响偏好反应。

这意味着,行为可能会因情况而不同。偏好是依赖不同情境逐步建构起来的。

偏好反转说明了,人们不可能完全按照理性人的行为模式去运行,因此传统经济学的很多推导可能在现实中并不成立,人们的行为、价值偏好,在不同的情况下都可能不太一样。

07 跨期选择#

[↑]

对那些涉及不同时期的现金流(收入及支出)的选择,经济学理论做了精确且可以检验的预测,及(对于边际收入及支出)人们应该以(税后的)市场利率(r)贴现现金流。

但是有很多社会现象却是违反这条理论的,比如:

  • 套利现象,如收益率 12%,可以借 10% 利率来套那 2%,那么只要有人肯借,理论上就不会再出现 < 10% 的利率出现了,可事实上,什么利率都有。
  • 政府通过调整税率(降低税点),实行退税,实际上这个行为等于无息向民众借款。—— 贴现率是负数
  • 教师更多选择按 12 个月领取工资而不是 9 个月(总数一样),正常情况下多出的 3 个月贴现率为负数。(消费活动倾向于随着时间的推移而增加)
  • 学生会因为政府强制吊销驾照而选择不辍学,但是却对辍学拿不到毕业证熟视无睹。拿到毕业证显然应该是贴现率更高的事情,但是学生却选择了贴现率更低的事情作为决策依据。
  • 晒太阳容易增大皮肤癌对于患者来说不太关心,但是如果告知他们晒太阳会使毛孔变粗,他们却会很紧张,前者显然贴现率更高,但是人们更倾向于在意后者。
  • 使用低效率的电器,比如节能等级较低的电器,从实际的理论推演上显得更不经济,但是实际上选择不节能的电器的用户更多一些。这也是违反理论依据的行为。

在实验室及实地决策环境中观察到的贴现率,都取决于以下因素:

  • 被贴现金额的大小(强度)与正负值(收益或损失)
  • 时间延迟
  • 必须立刻做选择还是可以延迟
  • 所设计的选择方法
  • 未来的收益或成本会带来享受或是恐惧

个人贴现率的变化#

通过实验控制三个最关心的变量:等待的时间长度,结果的强度,结果是收益或是损失。得出下面三种贴现率变动模式(实验贴现率是固定的情况下):

  • 动态的不一致性:随着时间的长短不同,贴现率所感受到的效用是不一样的。出现这种现象的原因可能是,人们感受上贴现率随着时间出现了递减,导致两条效用函数相交。
  • 强度效应:隐含的贴现率均随着购买金额增加而大幅下降。例如人们会愿意为了 100 块钱半年后给 150 块钱而等待半年,但是却不会原因为 10 块钱半年后变成 15 块钱而等待半年,即便二者理论上的贴现率都是一样的。可能的原因是:
    • 人们不止对变化率有感觉,还对绝对值有感觉。
    • 人们可能把不同的金额大小放进了不同心理账户,比如一个是消费账户一个是理财账户,而因此而放弃的机会成本等于是 “做了一次消费” 或者 “损失了一次利息”,如果受试者对后者更敏感,就会出现上述现象。
  • 符号效应:收益的贴现率大于损失的贴现率。也就是如果受试者尝试投资,如果要半年时间拿到收益,他们会希望能拿到较多的收益,因此要求贴现率较高。但是如果是缴纳罚款这样的损失场景,即便等待一段时间(假设是半年)需要缴纳滞纳金,哪怕只有一点点,人们也倾向于尽快缴纳,因此要求贴现率较低(滞纳金较少)。

参照点#

决策者并不像期望效用理论所设想的那样,把最终结果整合进他们的财富或既有的消费水平中来考虑(贴现率思维)。反倒是,相对于自然参照点,个体似乎将事件当成一种变化来做出反应(从某个参照点出发预估未来)。

基于实验得出两个原因用来解释 “人们偏好逐渐增加的消费模式”:

  1. 损失规避:损失规避会导致对特定消费模式的偏好。当过去的消费水平成为未来消费的参照点时,在这种情况下,个人可能偏好逐渐增加的消费模式。以下例子说明了这一点:
    • 人们倾向于把好吃的放在后面,先吃不太好吃的。(法国餐和希腊餐的问卷)
    • 工资随着年龄增加而上涨,但是生产率并没有同步提高。原因在于人们更偏好这种模式。就像理论上在总工资不变的情况下,递减的工资实际上优于递增的工资,但是人们总是偏好于递增的工资。
  2. 成本较高的自我控制:也就是人们希望借用这种未来比现在贴现率递增的收益,将收益放在不可预期的未来,以实现自我控制,就像是一次性把钱都给你可能你就花完了。
    • 他们不能指望自己从固定(或逐渐降低)的收入模式中积累足够的储蓄,去支付想要的渐增式消费模式。

享受与恐惧#

标准的贴现效用模型假设贴现率是固定值且通常是正的。而实验证明,人们偏好延迟实现收益或是提前实现损失。我们用 “享受”(savoring)这个词来代表从预期未来喜悦的结果所产生的正效用,而 “恐惧”(dread)则代表未来不悦所产生的负期望。

这可能来自于:

  • 享受:不是立刻马上,而是稍等片刻,是为了享受那份期待。
  • 恐惧:让恐惧来的更早点吧,省的遭受长期的焦虑煎熬。

评论#

在宏观层面,跨期选择的心理学使得原本就很复杂的社会贴现率的选择问题,更加复杂。这种复杂性来自于人们对于时间上的贴现率的估计是变化的。

决策心理学的研究,可以成为传统经济学的补充,用来修正传统的效用函数,让它可以符合一些事实上的规律,是有建设性的。

08 储蓄、可替代性及心理账户#

[↑]

在经济学里,标准的储蓄模型称为 “生命周期理论”,它回答 “假设一个人不打算留下任何遗产,且认为每一段时期的消费,价值都相同。这样的一个人在某个特定的一年中,应该要消费多少?”。

答案:在任何一年,计算金融财富的现值,包括目前的收入、净资产、未来收入的预期价值,算出可以购买的平均年金,然后年消费量就是以这笔年金获得的收入。

但是与之相反的实证证据大致分为两类:

  1. 消费对收入似乎过分敏感。整个生命周期,年轻人和老年人看起来都消费得太少,中年人则消费得太多。
  2. 同样地,消费的年增率与收入的关联太高,与模型不符合。其次,不同形式的财富看起来不像模型所主张的有那么高的替代性。尤其是,家庭单位的养老金或是房屋净值的 “边际消费倾向” 与其他资产相较是非常低的。

实证与理论模型预测不一致的问题,有几个可能的解释:

  1. 人们没有足够的理性来计算现值及养老金收入。
  2. 过分理性或是利他主义,把继承人的财富也纳入计算。
  3. 流动性的限制使得人们无法达成生命周期计划。

“可替代性” 假设可用来解释我们观察到的许多储蓄的反常现象。

可替代性的观念是说金钱没有标记。

在生命周期理论的概念中,可替代性假设使得财富的所有组成成分都可以整合为一个数字。也就是说你通过赌博或者股票赚来的相同数量的钱,消费倾向是一样的。

产生偏误的第一种原因可能是:人们通常有一套 “心理账户系统”。一个简单的样子是:

  1. 目前收入账户 C:边际消费倾向接近于 1
  2. 资产账户 A:边际消费倾向为 0~1 之间
  3. 未来收入账户 F:边际消费倾向为 0

产生偏误的第二种原因可能是:(跨期选择中)短期贴现率超过利率,导致自我控制力失控,而生命周期理论假设人们执行计划的时候意志力超强。一种方式就是采取无法反转的行动,比如加入养老金计划、或购买终身保险。另一种方式就是强制自己的行为,如强制自己储蓄。

总而言之,上述家庭单位可以被想成是遵循以下审慎法则:

  1. 量入为出:不从 F 或 A 账户借钱来增加目前的消费。
  2. 保留收入的某部分以备不时之需。
  3. 以不需太多自制力的方式来储蓄退休金。

目前收入账户:消费取决于收入#

消费水平对于目前的收入太敏感了,以致不符合持久收入假说。

无论研究的是所谓的低频决策(因而形成了终生消费曲线),或是高频决策(每年消费水平的平滑线)。

终生消费曲线#

生命周期理论:

  • 一个小丘形状的年龄 —— 储蓄曲线。收入低于持久收入的年轻人,会借钱来消费;中年人会为退休做储蓄;老年人则是负储蓄的,靠过去的储蓄来消费。
  • 持久收入水平不变时,消费曲线的形状应该与收入曲线的形状无关。

然而以上两项都有反例。实验证明,消费曲线和收入曲线关系密切。

一个国家的消费增长率主要决定于利率水平。

短期储蓄#

生命周期理论及持久收入假说都意指,逐年的收入变化会被平滑化,以致消费会占持久收入的一个固定比例,而非目前收入的固定比例。

而实际上实验证明了下面情况是存在的:

  • 年消费对目前收入似乎是极度敏感的
  • (某项数据揭示)只有当收入到账后才会对消费产生影响,而不是当收入预期发生的时候就影响消费。

收入、奖金及意外之财的来源#

如果奖金及意外之财占收入的比例较小,边际消费倾向通常比较高。反之,如果占比较大,而且是整钱形式给的话,则边际消费倾向通常比较低,也就是更可能用于储蓄。这一点用传统经济学视角推导不出来,它来自于心理账户模型,前者会被放入收入账户,用于消费,后者会被放入资产账户,用于储蓄。

财富是可替代的吗?#

对于大多数的家庭而言,财富包括三种组成:未来收入、养老金及社会保障财富、房屋净值。

养老金财富#

养老金和其他储蓄类的财富并不是替代关系,并不是养老金越多,其他储蓄就越少,实际上,养老金越多,其他储蓄也会越多。

同样的情况也发生在个人退休账户上,个人退休账户可以获得政府一部分的退休减免,如果它和其他储蓄资产之间有替代关系,那么总储蓄应该是不变的。但是实际上总储蓄是增加的。一种可能是购买退休账户是为了避税,同时因为退休账户如果提前动用要额外交税,所以它变成了一个 “禁区”,因此人们还会增加其他方面的储蓄,进而导致总储蓄值的增加。

房产#

在标准生命周期模型中,房屋净值是可替代的。按照这套理论,房屋净值越高,其他储蓄可能就越少。但是实际情况却相反,数据显示拥有房屋的家庭的储蓄更高。

另一个评价可替代性问题的方式,是对房屋财富的边际消费倾向做估计。研究显示出系数接近于 0,也就是房屋净值的高低与有是否消费关系不大。(你家房子贵不贵和你是否决定去消费关系不大)

一种可能的解释是如果住房价格上涨,大家为了能够让孩子能够买得起房,而选择性储蓄。但是这样的行事风格和有没有房其实关系不大,如果住房价格上涨,为了代际传承,大家都会选择多储蓄。

另一个反常现象是老年人的储蓄消耗的不太快。这个一部分原因来自于他们的收入决定了消费倾向,理论上他们可以通过降低他们的房屋净值(比如卖掉贵的房产换成便宜的房产)进行消费,但事实上他们并没有这么做。最后的结论是,典型的老年人家庭并不想要降低他们的房屋净值。

流动性限制或是债务规避?#

房屋抵押贷款的利用率并不高,人们不倾向于将房屋抵押出去获得贷款用于消费,与此类似的还有终身人寿保险,它们通常可以被用作抵押贷款,而且利率比国库券的短期利率还要低,看起来这里有套利空间,但实际上利用率低于 10%。

人们可能受银行等资本市场的流动性限制,但也有可能是因为人们并不想因此陷入债务。

评论#

即便理论经济学可以完整描绘储蓄的科学做法,但是消费者仍是普通人,它们没有因此而变得更理性,它们仍然有诸多用理性经济学无法解释的行为。

09 博彩市场#

[↑]

股票市场和投注市场不同,投注市场的优点在于每一项资产(赌注)都有一个界定良好的终点,其价值在这个终点是确定的。股票市场不具备这个特点,因此我们很难在股票市场上测试理性概念。由于股票在市场上是无限期的,它今天的价值取决于未来现金流量的现值以及人们明天愿意购买的价格。

赛马博彩市场#

根据不同的下注策略,包括 “热门 - 冷门偏差”、“每日连注”、“连本带利继续下注”、“正序连赢” 的策略,都可以证明是违反市场有效性的。

  • 热门 - 冷门偏差:热门马比赔率显示得赢面更大,冷门马则相反。也就是热门马是更好的选择。

大众的投注行为并不符合数学公式所计算出的结果。

投注策略#

在玩法 “第一名”“前二名”“前三名” 的投注中,如果赛马 i 在第一名的赌注总和大于赛马 i 在 “前二名” 中的赌注总和,比如前者是 40%,后者是 15%,那么在 “前二名” 中,选择赛马 i 就有更大的概率会获胜。这违反了市场效率的弱条件。

另一个策略是,低赔率的马屁跑第二名的概率很高。

一般的投注经验认为,聪明的人都较晚下注。在最后几分钟下注的时候,赔率会下降。

横跨不同赛马场的赌盘#

横跨不同赛马场的赔率,直觉上是相同的,但是实际上却差异巨大。因此可以利用这个差异在不同的赛马场进行套利。

乐透型彩票#

对于乐透型彩票,类似 49 选 6 这样的,要么你有大量的资金,你可以购买全部的彩票,但是成本巨大。要么你买冷门的数字,但是概率极低,周期很长,靠累计奖金获利,也许在破产之前都无法中奖。要么在购买到一定的时候追加赌注让后续的中奖可以弥补前面的损失,但这也要求要有无限的资金支持。

评论#

赛马博彩市场非常专业,但是还是出现了两个异常现象:

  1. 热门 —— 冷门偏差现象,影响它的行为因素可能有:
    • 高估冷门马
    • 给予微小概率过高权重
    • 持有冷门马的彩票本身,更刺激,和马无关
    • 冷门马赢钱的预期感受会更爽
    • 冷门马之所以冷门,可能是因为那些不理性者乱选的结果(比如通过名字去判断)
  2. 前两名和前三名市场的无效率性,影响它的行为因素可能有:
    • 复杂的玩法本身(相比于只猜第一名)也会影响大家会不理性地作出选择,进而导致仅选第一名的正确率会更高一点。

至于乐透型彩票,人们可能只是在购买自己的梦想,他们总觉得自己会中奖,或者他们总是认为某一个数字必定会中奖。这一点在他们不愿意放弃自选号,或者放弃已经被随机选中的号码(已拥有)。

10 股票市场的日历效应#

[↑]

证券市场被认为最有效率的市场,而且有成熟的模型,如 CAPM 资本资产定价模型。

但是现在有一些反常现象出现:

  1. 市盈率很低的公司、小型公司、不配发股利的公司、在过去亏掉大半价值的公司,全都赚到超过 CAPM 所预测的收益。
  2. 季节模式

1 月效应#

1 月效应主要来自于小型公司,而且虽然有一种解释和上一年度的收税规则有相关性,但也从多个不同的国家(如日本、英国、澳大利亚)证明了 1 月效应并不依赖于此。

周末效应#

在对历史数据的研究中,发现当星期六是周末前的最后一个交易日时,收益较平时更高,而当星期五是周末前的最后一个交易日时,则星期五的收益相对较高。

结论:在交易中断前一天,价格(每单位收益)明显高过其他交易日。

假期效应#

在针对假期的研究中,发现了类似周末效应的规律,假期前的收益明显高于平常的平均收益。

月度转换效应#

在一项研究中,研究者将每个月劈成两半,前半个月的收益明显高于后半个月的收益,而月度转换的四天(从前一个月的最后一天开始),收益也大于每月平均收益。换言之,如果除去月度转换的那四天,道琼斯工业平均指数是下跌的。

盘中效应#

盘中每 15 分钟的收益率,周末效应分散在星期一交易的前 45 分钟内,这段时间价格是下跌的。星期一之外的其他日子,在开盘后的 45 分钟内,股票价格剧烈上扬。同时,每天将要收盘的时候,交易收益都很高,尤其是当天的最后一笔交易。而且,最后一笔交易若是在最后 5 分钟内进行的,当日的收盘价格变化最大。

评论#

反常的股票收益发生在年终岁尾、月度交换的那几天、两周交接的时候、两个交易日交接的时候以及假期之前的几天。这些现象挑战了 “有效市场假说”。

针对日历效应,可能的解释有:

  1. 价格变动可能与影响市场资金进出的习惯有关。比如派发利息、个人习惯等。
  2. 机构投资者会为了月度汇报、年终总结等做一些 “装饰门面” 的事情,比如处理掉那些会让人感觉难堪的股票。
  3. 坏消息可能会延迟到星期五收盘后才宣布。

可能的其他原因也包括:心理因素(偏好)、情绪变化(假期前心情更好)等。

11 华尔街股市上的均值回归#

[↑]

金融市场在有效市场假说下,总是被认为是不可预测的,价格是随机游走的。但是又有一些最新的研究表明,它们在某种程度上是可以预测的。

股市平均水平的均值回归#

利用美国证券市场的较长时间的数据来进行分析,可以看到结果显示出相当显著的均值回归现象。这意味着股价是可以预测的。以过去每年的收益数据来对未来 3~5 年的收益进行回归,会产生很大的预测能力。

除了美国市场,加拿大和英国市场,也出现了类似的现象,在较长时间呈现出强烈的均值回归现象(涨一段时间后就跌回均值,反之亦然,也称之为序列负相关性),而在较短的时间内有某些序列正向相关性(一直持续上涨 / 下跌)。但是芬兰、南非及西班牙例外。

截面数据的均值回归#

格雷厄姆是证券分析的先驱,他主张要买那些价格比其基本面价值低的股票。

  • 以低市盈率购买股票的策略,会产生超常收益或超过风险补偿的收益。低市盈率可能是股票暂时被低估的结果,未来会回归均值。
  • 股息生息率(高股息生息率可能表示一个公司的股价太低了)非常高的股票,会在正常风险调整后,赚取超额收益。
  • 市净率(股票价格与每股账面价值的比值)非常低的股票,会在正常风险调整后,赚取超额收益。

假说认为反向操作策略会成功是因为投资人系统性的过度反应。在心理学的文献中有显著的证据表明,个人在做预测和判断时,倾向于给予最新的资料过高的权重。如果这种行为表现在金融市场上,那么那些过去几年经历过极好或极坏收益的股票(绩优股/亏损股),我们预期会观察到它们的收益有均值回归现象。从数据里分析的结果如下:

  1. 均有均值回归
  2. 亏损股反转比绩优股反转要明显
  3. 亏损股的超额收益大部分发生在 1 月份

短期均值回归现象#

对输家价格反转的现象有规模解释和风险解释,但是如果那些在极短时间,比如 1 天内发生 10% 下跌或上涨,那么客观风险不会突然变化这么大,而规模也不会突然变化这么大,那么如果出现了均值回归,则说明有其他因素在起作用。

基于此在世界 500 强企业中,观察历史股价中,那些出现大跌/大涨的日子,在里面也发现了均值回归的现象。

评论#

风险与可感受风险,有研究证明,人们可能对可感受的风险和实际风险有偏差,就像是人们可能觉得车祸的风险很高,但很容易忽略死亡的一个更主要的原因糖尿病,后者可能让很多人低估了风险。正是因为这样的偏差,导致人们对绩优股和亏损股表现出了更大的风险判断,进而产生了反向作用。

事件研究尝试衡量公司环境的改变,以及对财务的影响,其焦点为在公司消息首度公布前后,公司股票市值的变化。当一个公司可能发生信息披露的时候,假设是并购行为,它的实际效果需要等到很长一段时间之后才可以被证实,因此会产生均值回归。但这件事本身也很难被论证,因为实际的情况是,在很长的一段时间内,股价总是随机游走的。

本小结告诉我们,传统的模型是基于人是理性的基本假设的,但是人们可能对未来的现金流量有非理性的预期,也有错误的风险感受,这样将导致传统的模型不太准确,但是现阶段又没有足够的数据将这些现象融入模型,也没有办法小心求证。

12 封闭式共同基金#

[↑]

有效市场假说认为价格可以反映价值,如果价格背离价值就会有套利空间,很快价格就会回到基本面。

四种反常现象#

  1. 市场上出现新的基金都有一些规律可循。新基金的价格通常是先涨后跌。
  2. 封闭式基金的交易价格通常相对于净资产价值有相当程度的折价。
  3. 折价(以及溢价)的变动很大,会因时间或基金的不同而变动。
  4. 当封闭式基金要结束时,不管是以合并、清算或是转变成开放式基金的方式,其价格都会趋于财报中的净资产价值。

这四个疑惑提出了金融市场运作的基本问题。价格是如何偏离价值面的呢?为什么套利的力量不能将价格拉回到基本面价值的水平呢?

标准解释#

标准的理性预期及有效市场的范畴内解释这些疑惑:

代理成本#

有两种关于代理成本导致折价的理由,实际上并没有解释力:

  1. 代理成本(基金管理年费)的存在,导致基金会折价销售。没有证据显示二者有关。
  2. 基金经理的业绩表现考虑。但是如果折价反而证明了未来预期不好,进而业绩只会更差。

限制性股票#

有一种观点认为,封闭式基金因为没有赎回压力,所以可能会持有限制性股票,而限制性股票价格被高估,导致封闭式基金折价销售。

但实际上数据显示没有持有限制性股票的封闭式基金也同样出现折价的问题,而且在时间序列上也没有关联,而且当基金转变为开放式基金的时候,价格会上升到净资产价值,如果假设 “股票被高估” 已经广为人知的话,那么转到开放式基金,一样也应该折价。

税收#

因为资本利得需要缴税,导致其价值低于净资产价值,所以要折价出售。经过计算,即便这种可能性存在,可能的影响大约是 6%,只能解释折价的一小部分。

封闭式基金溢价#

首先封闭式基金溢价的事实对之前的代理成本、税收及其他说明为何基金应该折价销售的解释,提出了不容忽视的挑战。

早期的观点认为基金溢价的原因是因为基金的价格应该等于资产价值加上管理者的经营技巧,但这条却无法解释常见的折价现象。但这种解释可能被用于一些特殊的 “国家基金” 的溢价现象(20 世纪 80 年代中期出现了一些国家基金,例如韩国、西班牙、德国、巴西)。但是这些基金有些并不是投资在限制性的资产上,而是投资在本来也没有限制的资产上,那为什么不直接进行股市投资,而要过度依赖这些国家基金的管理能力呢?

观察中发现,封闭式基金的溢价似乎会发生在投资人对股市的热情高涨时期,如 20 世纪 20 年代晚期,或者在投资人对特定证券(如国家基金)的热情高涨时期,如 20 世纪 80 年代晚期。

金钱并非万能的#

既然基金存在折价或者溢价的情况,那么就有看似客观存在的套利空间。聪明人似乎可以通过:跨国到限制性市场上购买股票、做空折价股票、收购基金等方式来套利。然而实际的操作过程中,却面临着套利受政策影响资金无法迅速回笼、各项阻止收购的法律条款或者反敌意收购协议,导致很难直接将套利空间抹平。

一项研究表明,依靠折价基金天然的均值回归特性,无需额外的操作,只需要长线投资,就可以赚取超额回报。

投资人的情绪 —— 一种可能的解释#

折价可能是由投资人的情绪决定的。假设封闭式基金由两类人购买,一类是理性投资人,一类是噪声交易人,因为理性投资人的风险厌恶,导致为了防止噪声交易人受到悲观情绪影响,影响封闭式基金的价格,所以理性投资人只能以折价的价格买入。相反如果是溢价的基金,则噪声交易人的过分乐观会带来溢价。

评论#

从这项分析中我们所得到的教训是,对证券的需求可以影响价格,即使这种需求基于非理性的信念。这项分析所适用的情况中(包括许多最有趣的金融市场),最重要的是要记住 “价格等于内在价值” 的论断是可以检验的命题,而不是一条定理。

13 外汇#

[↑]

两派观点:

  1. 米尔顿・弗里德曼:因为投机者的买低卖高,他们的活动确保汇率反映出基本面或货币价值的长期决定因素。
  2. 拉格纳・纳斯克:外汇的投机活动会使外汇市场动荡不安,且过度的流动性会施加很大的成本在生产者及消费者身上,从而导致生产者和消费者做出较没有效率的分配决策。

远期贴水偏差的检验#

远期贴水是指当前的远期汇率与现货汇率之间的差额,因为存在套利空间,远期贴水必然等于利率差额。

但实际情况是远期贴水可能会出现偏差,一般有两种解释:

  1. 外汇风险溢价:一些学者主张 β<1 是随时间变化的外汇风险溢价:当美元利率上升时,对美元资产的投资,其风险变得更高。
  2. 预期误差:其他人假设汇率风险是绝对可以分散的,或者假设投资人是风险中性的。他们因而将所有的偏差都解读为预期错误的证据。

外汇风险溢价#

有三种方法被提出来评价风险溢价理论的优点,但没有一项能对这个假说有更多的支持。

  1. 设定并检验了风险的 “统计模型”。它通过检验货币的超额报酬之间或之中的特定形态。—— 只能区分风险和预期误差。
  2. 资本资产定价模型要求资产的风险溢价与资产价值占投资组合的比例有关。—— 能解释外汇有可预测的超额收益。
  3. 直接衡量预期贬值率,由此避免从已实现的贬值做推论。—— 但是市场预期无法被观察到,而且基于历史数据的观测,风险值太小可忽略。

预期误差#

预期误差有以下几种经典的研究结果:

  • 学习的慢:美国货币供给过程中未被观察到的变动,投资人学习得很慢,这可以部分解释隐含在远期汇率中预期误差的原因。
  • 比索问题:墨西哥规定比索与美元的兑换率采取固定汇率,而比索在远期市场一直以折价出售。因此预测显示比索会大幅度贬值,但虽然方向可能预测正确,但在极端的经济情况中(如恶性通货膨胀的出现),比索问题将会使得标准的统计推论变得无效,从而无法准确预测崩盘的现象。

但是以上两种可能的原因,在时间序列及横断面统计样本规模持续扩大时,这类观点就会显得越发牵强。

一种可能的解释#

到目前为止,我们所得到的结论一直是负面的:理性有效市场的范式无法为观察到的结果提供令人满意的解释。

一种可能的解释是,具备其他可检验的限制条件,但是不要求所有投资人都是完全理性的。比如面对利率变化,反应缓慢,可能需要思考一段时间再做决策,而其他人则是理性的,他们可能是风险厌恶者、受流动性限制、利用别人的缓慢行动获利。

评论#

人们对于资产收益和风险的关系,常常是无法证伪的,那些风险越大收益越高、或者用随时间变化的风险溢价来解释均值回归等说法,都是类似的。因为无法证伪,所以也就导致了人们错误的认知。

而且预期误差通常能够提供比风险溢价更好的解释,但是很难说明具体是因为学习、比索问题、还是市场无效性所产生的,换言之,原因不得而知。

因此外汇市场明显是无效的,既然如此,那些政策工具、政府干预行为又是如何做出的呢?而这些行为本身也带来了巨大的成本,从而抵消了社会福利。

备注:可以在 “美国经济学会(American Economics Association)” 网站,找到这些论文的原文,点击这里

助推 —— 小行动如何推动大变革:实践版#

image

读书笔记 | 助推 | HiYong《助推》是诺贝尔经济学奖得主理查德・塞勒的著作,副标题为 “如何做出有关健康、财富与幸福的最佳决策”,由于我们可能无法做出完全理性的选择,通过使用助推,可以引导人们做出更好的选择。

image
理查德・塞勒(Richard H. Thaler),目前在芝加哥大学布斯商学院执教,任金融和行为科学教授及行为决策研究中心主任。他被公认为行为经济学和金融学领域的先驱。2015 年,理查德・塞勒当选美国经济学学会主席。2017 年,因对 “行为经济学” 的贡献,理查德・塞勒被授予诺贝尔经济学奖。其主要著作还包括《错误的行为》,以及与卡斯・桑斯坦合著的畅销书《助推》

image
卡斯・桑斯坦(Cass R. Sunstein),曾任职于美国司法部、美国国会司法委员会和马萨诸塞州法院。他所涉猎的领域包括政策管理、宪法、环境法、经济法、行为经济学等。他担任白宫政府信息与规制事务办公室主任一职,负责对美国现行监察政策进行绩效评价及对拟制定的规制提案进行成本和收益的系统评估。他著有《助推》《简化》《为什么助推》《阴谋论和其他危险的想法》等多部作品。

《助推》是诺贝尔经济学奖得主理查德・塞勒的著作,副标题为 “如何做出有关健康、财富与幸福的最佳决策”,由于我们可能无法做出完全理性的选择,通过使用助推,可以引导人们做出更好的选择。任何能够显著改变社会人行为的因素都可以被称为 “助推”。

助推包括 6 个原则:

  • 动机(iNcentives)
  • 理解权衡(Understand mappings)
  • 默认选项(Default)
  • 反馈(Give feedback)
  • 预计错误(Expect error)
  • 结构性复合选择(Structure complex choices)

各取一个字母恰好是 “助推”(nudges)。

通过助推的方式引导人们选择是不是剥夺了人们的选择自由呢?泰勒提出了 “自由主义的温和专制主义”,自由主义是目的,即保证人们的选择自由,“温和专制主义” 就是选择设计者不包含强制的色彩的为人们的提供选择,引导人们决策。

为什么需要 “温和的专制主义”,也就是 “助推” 呢?泰勒认为人并不是 “经济人”,而是 “社会人”,并非完全理性的,人类的预见大都因为带有偏差而不可靠。

人类包括两种思维方式,一种是直觉和自动的,称为 “直觉思维系统”;另外一种是思考和理性的,称为 “理性思维系统”,它更有计划性和自觉性。

由于我们所处的世界信息繁杂,疲于应付各类事务,不可能仔细思考和分析每一件事情,所以大多情况下我们做判断或者决策时,往往依靠的是经验法则,多数情况下既快速又有效,但它可能会导致系统偏差,以色列籍心理学家阿莫斯・特沃斯基和丹尼尔・卡尼曼提出了三项经验法则 — 锚定法则、可得性法则和代表性法则。

锚定法则意思是你会在锚定一个已知数字的基础上沿着你认为正确的方向进行调整,而我们做出的调整往往不够,导致出现偏差。

可得性法则:我们会根据相关例子的情况对发生某些风险的可能性做出判断。如果人们能够轻而易举地回忆起有关的例子,他们便会对这种风险更为在意。人们会认为一种令人记忆犹新的风险(比如 “9・11” 恐怖袭击事件引起的后遗症)会比一种人们并不熟悉的风险(比如日光浴或温度日益升高的夏天)更严重。同理,最近发生的事件会比较早发生的事件对我们的行为造成更大的影响。

代表性法则是说当有人问你 A 属于 B 的可能性有多大时,你(或者说你的直觉思维系统)会首先问自己 A 与 B 有多少相似性(即 A 能在多大程度上 “代表” B)。它可能会导致人们对日常生活中的许多事情产生严重的误解,比如幸存者偏差。

除了依靠经验法则来决策外,还有一种心态就是过度自信,不愿意承认自己的无知,或者对自己认识不清,关于这方面的论证推荐《知识的错觉》这本书。

人类身上还有损失厌恶现状偏差的认知心理,人们憎恶失去属于自己的东西,失去某件东西使你难过的程度比你得到这件东西使你快乐的程度要大一倍,这一现象称为 “损失厌恶”,它使人具有一种强烈的保持现状的欲望,产生惰性。它阻止我们改变现有的状况,即便这些改变对我们非常有益。“现状偏差” 是说人们总体上更倾向于保持现有的状况,采取一种 “顺从” 的态度。

根据人类身上的 “损失厌恶” 和 “现状偏差”,可以某项选择被设计为 “默认”,在很多情况下,默认选项的助推极为强大,因为消费者会感觉(无论对错)默认选项是被默认选项设计者所认可的选择,不管这些设计者是企业老板、政府工作人员还是电视节目策划者。

我们生活中是充满诱惑的,比如各种广告刺激你的欲望。我们大多数人都知道它的存在,比如计划减肥,但是在行动时往往不能按照计划执行,难以抵制来自各方面的诱惑,因为有时候跟随自己的内心会非常惬意,充满竞争的市场总会使我们不由自主地做出不太好的选择。比如理财广告教你合理投资,但不能阻止借贷平台借给人们钱。我们非常容易受到他人言行的左右(关于群体心理的论述推荐《乌合之众》),社会影响左右了人们的认知。

社会影响主要分为两种:

  • 第一种是信息。如果有许多人都持同一种观点,做同一件事情,那么你会认为他们的观点和做法也是最适合自己的。

  • 第二种是同侪压力。如果你非常在意别人对你的看法(也许你会错误地感到别人总在注意你),那么你很可能会选择随大流,从而避免别人对你的非议。

我们可以利用这种从众心理来进行助推,通过告诉人们其他人在做什么来进行社会引导,比如 “本小区 80% 的人都打了疫苗”。

另外,措辞的助推力也很大,不同的阐述方式会影响人们的决策,他们的理性思维系统往往懒得将看到的信息变换一种说法,看看是否会得出一个不同的结论。

由此可见,人类的决策水平也并不怎么样。即便经过再三思考,也不一定能够做出对自己最有利的选择,特别是在那些缺乏经验和相关知识的领域,很难做出好的选择。比如你选择不同的冰淇淋口味是很容易的,但是可能选择一个好的投资方案就比较困难了。

因此,可以设计更好的选择体系使人们更容易选择。那么,一名选择设计者(能够间接影响到其他人的选择行为)如何优化选择体系呢?

诺曼认为,设计者应当牢记,产品的使用者是每天被大量选择和提示淹没的社会人。所设计的选择体系能够体现出你对用户行为的深刻理解,应当保证人们的直觉思维系统不受到迷惑。下面介绍几种助推方式:

一、设计最佳的默认选项

由于人们的惰性、现状偏差等心态,人们在面对选择时,内心都会有一个默认选项,那便是不需要选择者付出任何努力的选项。当面临复杂和困难的选择时,人们可能会在很大程度上宁愿选择一个符合感性理解的默认选项。

二、为可预见的错误提供人性化设计

人人都会犯错误,“人有权利犯错误”。一个设计精妙的系统允许它的使用者出错,并对此给予最大限度的宽容。

三、提供透明有效的信息反馈

设计精妙的反馈系统能够提示人们的行为是否得当,比如设计 “出错预警”。

四、简化复杂的选择体系

使各种选择的相关信息更容易被理解,比如将数字信息转化成更容易实施的内容。

五、选择动机

选择设计者必须要设计出一种动机体系,针对不同的人设定不同的动机选项,给予人们一个生产好产品和卖出好价格的动机。

设计动机选项的一种方法是对某种特定选择体系提出下列 4 个问题:谁使用?谁选择?谁掏钱?谁受益?

设法助推并使人们按照之前从未选择过的方向行事是一件好事。选项设计有时候就是帮助人们学到一些东西,从而使他们在未来做出更好的选择。

我们生活中遇到的大多数的选择其实都是由私人选择设计者(企业)或者公共选择设计者(政府)设计的,不管他们是为了自己的利益或者造福大众,我们受到影响是无可争议的。助推无处不在,极大地影响我们的决定。由于我们的精力有限,离不开他们提供的选择。助推者的道德和能力非常关键,他们提供的选择直接关系到客户的利益,因此选择设计的透明度是非常重要的,公开性原则是一种限制和实施助推的很好的原则,客户可以更清楚的了解提供服务的数量、质量以及需要支付的费用。比如最近美团因垄断被罚款事件,这是由于助推者的自利性,损害了人们的利益。

个人摘录如下:

1、成书背景,内容

这本书的核心,就是讲述了一个实验,它是行为洞察力小组,或者说位于唐宁街 10 号、后来被称为助推小组的部门所做的实验。2010 年,行为洞察力小组在英国新首相戴维・卡梅伦的领导下建立了起来。最初,它不过是英国媒体和国际媒体借以消遣的谈资,并且深受白厅官员的质疑。

团队的目标基本上是不可能完成的:一是转变至少两个政府部门的行政方式;二是让英国政府对人类行为有更新颖、更现实的理解;三是至少实现 10 倍于成本的回报。如果团队失败了,那么它会在成立两年后解散,以给选民在下一次选举前留出充足的时间来忘记这个尴尬的插曲。

在头两年,行为洞察力小组进行了许多随机对照试验,主要涉及医疗、税收、节能、犯罪数量控制、就业以及经济增长等领域。结果,出乎大家意料的是,团队成功了。

行为洞察力小组的实验表明,那些看上去细微的改变能带来巨大的影响。团队发现,只要在纳税提醒信上加一句 “大多数公民都按时纳税”,就能激励更多的公民按时纳税。这种基于社会规范和其他准则的改变,每年能给政府增加数亿英镑的财政收入,而且帮助改变了税务部门的征税方式。
本书分为四个部分。
第一部分讲述助推简史。第 1 章主要探讨了助推方法早期的学术基础,以及今天是如何继续影响助推的。这一部分不仅关注政府、社会团体以及政府领导人,还论述了早期那些明显激进的行事方式会如何给现实带来困扰,比起运用法律、罚款和武装威慑,有时运用微妙的方法更能影响人的行为。第 2 章解释了在美国助推方法如何开始在奥巴马总统的白宫推行,以及行为洞察力小组在 2010 年由英国首相戴维・卡梅伦慢慢建立起来的过程。一路走来,我们有幸遇到了一些帮助助推走向成功的人。
第二部分讲述了行为研究如何被逐渐运用到政府活动的方方面面,比如说服民众按时缴税和鼓励民众对顶楼进行隔热处理。这一部分的四个章节中,每一章都至少介绍了一种助推的核心方法,即简化(easy)、吸引力(attractive)、社会性(social)、及时性(timely),首字母缩写为 EAST。我们将看到行为研究和实验方法如何以最低成本带来显著的改变,并知晓世界各地政府和企业都在使用这些助推方法的缘由。
第三部分讨论了行为科学在更高层面的应用情况。从改变措辞升级到行为研究,从根本上重塑我们思考世界的方式。
第四部分介绍了行为科学迅速蔓延至世界各地的风险与局限性。它揭示了助推方法的实践局限与政治局限,以及作为公民的我们都应了解助推手段操作方式的原因。

2、助推概念解说

助推本质上是一种鼓励或者引导行为的方式,但是没有指令和规定,在理想状态下,也不需要丰厚的金钱刺激或者奖惩措施。它与责任、严厉的要求,或者武力形成了鲜明的对比。对于 “助推” 这一术语的创始人卡斯・桑斯坦和理查德・塞勒而言,助推的一个关键因素在于,它和法律或者正式的要求不同,它无须排除其他选择。但是,正如我们所看到的,助推对于政策制定者而言,却是一个更加宽泛、更加实际,行为上也更有针对性的做法。

助推的理解:

某友评价:
其一,助推是通过构建选择环境,通过小小的选择环境改变,来促进人的行为的改变。其假设前提是选择环境的设计者比被助推的人更了解他们的行为逻辑。
其二,美国食品药品监督管理局(FDA)通过临床试验使药品走向科学,英国国家卫生与临床优化研究所(NICE)通过系统综述和决策模型使药品付费走向科学,作者认为循证决策也可以使公共政策由艺术走向科学。其三,助推的关键缺陷是不同人的参照点不同,也就是同一个默认设置,不一定对所有人好使。这种情况下,“一刀切” 就会存在助推的不公平,但是能够针对不同人实现个性化的助推,这要看将来大数据、区块链技术的发展,以及人们对隐私数据安全性的进一步认识。

3、SNAP&EAST 框架 & RECAP

保罗和伊沃的最初框架包含 4 个主要作用,可以简写为 “SNAP”:特点(salience)、规范(norms)、影响(affect)和启动(priming)。

如果你想推广一种行为,那么这种行为必须具备以下四个特质:
(1)简化(easy)。
(2)吸引力(attractive)。
(3)社会性(social)。
(4)及时性(timely)。
“EAST 框架” 并不包含行为学的所有细节,但它确实提供了一个很好的起点。

在《助推》一书中,理查德・塞勒和卡斯・桑斯坦在缩略词 “RECAP” 中也表达了类似的观点,RECAP 即:记录(record)、评估(evaluate)和比较可选价格(compare alternative prices)。基本观点就是要求企业提供机器可读的产品价格以及独特的产品属性,消费者就可以更简单地做出有效的比较。在理查德和桑斯坦的推动下,美国人以 “智能信息披露”(smart disclosure)的方式运用这种方法,在苏菲・瑞斯曼担任美国财政部智能信息披露主管后,这种方法获得了支持。

4、书籍及其他知识

📕罗翰也承担了我的部分工作,包括给《国家的隐形财富》(The Hidden Wealth of Nations)一书写结语。这本书于 2009 年年末出版,书中列出的十大政策思想都值得未来任职的首相或总统以及他们的团队看看。这些政策思想部分基于布莱尔时期到布朗时期的政策评估总结,还有部分来自其他一系列相关评论和学术著作。2 书中的一些想法及这本书的标题,都在研究政府如何更好地激发市民互助和自助的能力。同时,这本书还建议政府大量收集公民消费者的信息,做到民主创新、关注民生,重视循证。

📕 丹尼尔・卡尼曼在其著作《思考,快与慢》中提到了快思考和慢思考的概念,心理学家基恩・斯坦诺维奇和理查德・韦斯特称之为 “系统 1” 和 “系统 2”。系统 1 的运行是无意识且快速的,大脑处于自主控制状态;系统 2 则将注意力转移到需要费脑力的大脑活动上来,其运行通常与行为、选择、专注等主观体验相关联。

📕提勃尔・西托夫斯基在他的经典著作《无快乐的经济》 (The Joyless Economy)中提出的:某些人无意间做出的经济决策会产生巨大的影响,或者经济外溢,这可能会导致总体上更低的幸福感。

✦行为科学家们发现的最有影响力且有害的认知偏差之一,就是 “后视偏差”(hindsight bias),这是巴鲁克・费斯科霍夫在希伯来大学读研究生的时候,与丹尼尔・卡尼曼和阿莫斯・特沃斯基共同研究出来的结果。简单说来,“后视偏差” 就是一种在事后认为自己一直都知道的现象。相比一位女性,美国人会更倾向于选择一位非裔美国人当总统吗?

✦依据行为科学,“吸引” 涉及两个相关元素。第一,它包括突破和吸引注意。第二,建议或提议本身必须有吸引力,或者至少有说服力。

✦当要求人们给一个纪念杯或一支钢笔估价时,他们通常会在实物出现前低估它的价格,这被称为 “禀赋效应”(endowment effect)。

✦所谓的表面效度(surface validity)—— 比起严肃的预测模型,它更像是星相学。即便它们基于真实数据,比如社会经济概况和态度集群(attitudinal clusters)调查数据,但这并不意味着在面临真实产品选择或是否按时缴税时,它们会对人们的未来行为做出相应的预测。正是这种低预测效度 —— 态度集群通常很难对行为做出预测 —— 导致 20 世纪 70 年代的许多心理学家对性格研究失去了兴趣。相比之下,人们发现行为能预测行为。换句话说,一个人上一周上班迟到,那么下一周还会迟到,不管他们读什么报纸、支持哪一个政党,或者喜欢什么口味的茶。

✦李克特量表(Likert scale)属于评分加总式量表的一种,把属于同一概念的项目用加总方式来计分,单独或个别项目是没有意义的。

✦“动物精神”(animal spirits)11 问题 —— 整个国家经济人士的多愁善感和恐惧加剧了对风险的恐惧和否定。

✦边沁是这样说的:“任何法律的功利,都应由其促进相关者的愉快、善与幸福的程度来衡量。”

✦伊斯特林悖论(Easterlin paradox)这一术语。伊斯特林的结论是:物质财富的增长催生出了更多欲望,抵消了原本对幸福感的积极影响。(理查德・莱亚德等人提出了一个相反或补充性的解释,认为自第二次世界大战起,人们从巨大的财富增长中获得的幸福感已经被其他变化引起的不适感抵消了,例如社会关系的扭曲等。)

✦认知行为疗法(CBTs)。这种疗法的优点在于,虽然它在短期内与药物治疗的效果差不多,但从长期来看,它的效果明显更好,因为它解决的是抑郁症背后潜在的思考模式问题。这使得在过去的 10 年中,抑郁症的复发率显著降低,既节省了治疗费用,也减少了忧虑。下一个很有应用前景的步骤就是要提高计算机辅助认知行为疗法的质量并扩大其应用范围。初步迹象显示,此类方法能有效提高治疗效率,是使用同等数量的训练有素的治疗专家的 5 倍。

《助推》读书笔记一 第一部分

什么是助推?

助推是一种通过设计选择环境来影响人们行为的方式,旨在帮助人们做出对自己或社会更有利的选择,同时保留他们的选择自由。助推不是强制或禁止某种行为,而是通过微妙地改变选择环境,使得人们更容易地做出更好的决策。

助推的核心理念在于,人们往往不是完全理性的决策者,他们的选择可能会受到各种因素的影响,包括信息获取的不完全、认知能力的限制、情感偏好等。因此,通过设计合理的选择环境,可以帮助人们克服这些限制,做出更加明智的决策。

哪些心理偏差和谬误会影响人从知道到做到?

锚定启发法,可得性启发法,代表性启发法,损失与得到,满足现状偏好,

如何利用人类损失厌恶心理来达成减肥的效果?

运用自我控制策略,来达到减肥的效果。就像芒格说的如果我知道我死在哪里,我就绝不会走向那里。这就是运用自我控制策略的最高境界。对于减肥来说,最终要的是控制饮食,如果知道自己马上要吃多了,自己就控制住停止,相信大多数人都不会长胖。CGM 控糖仪也是一个很好的例子,能够帮助人很好的控制血糖,也能够很好的减肥。

如何利用心理账户来有效存钱和花钱?

设置心理账户来控制自己存钱。存在设置一个心理账户,为了达到一定的目标,每个月要存进去多少钱。花钱也要有一定确定的目标,不能盲目的花钱,要有长期主义的思想,平时要设置一个心理账户,来满足自己花钱,比如说学习,买课程,买书,平常要建立一个心理账户,不间断的存进去钱,遇到自己喜欢的课程就直接买了。

如何利用从众心理来助推人类正向行为?举例说明

从众心理,是群体中不可避免的心理效应。广告就是利用人们的从众心理,来宣传自己的产品。

明星的公益广告宣传就是利用人们的从众心理助推人类的正向行为。

《助推》读书笔记二第二周 第二部分

我们什么时候需要助推?

当决策难度很大时,我们需要助推。遇到困难,无法抉择,无法得到及时的反馈,没有办法用自己的语言去解释面对的情况,我们需要助推。在陌生的环境下,我们不熟悉的情况,没有见过的情况,我们需要助推。

一个好的选择架构特征是什么?

有默认选项,做出反馈是帮助普通人提高表现的绝佳方式。有激励因素,要有趣味性。

为了完成好的选择环境的设置,我们需要知道什么?

精神溜号,注意力不集中,时长忘事。计划的事情总是忘记。提前设置提醒工具,有助于解决这个问题,或者清单来自查提醒也可以解决问题。

先享受后吃苦。自己意志力薄弱,容易被外界诱惑,不能很好的自律。

事情的困难程度

事情的频率

事情是否得到有效的反馈

为什么说鼓励人们做一件事时,一定要让它足够简单?举例说明

鼓励人们做一件事情时,一定要足够简单。人们面对选择总是有选择困难症,鼓励他们做就一定要把事情变得简单。疫情做核酸就是一个很好的例子。做核酸有两种方式,一种是咽拭子,一种是鼻拭子,如果选择做鼻拭子去做核酸,相信很多人都不会去做,选择简单地咽拭子所有人都会去做,这就是把事情简单化,更容易鼓励人们去做。

什么是精明披露?

精明披露:如何收集信息并提供给消费者。收集足够的信息,把有助于自己成交的信息披露给消费者就是精明披露。

什么是胡推?举例说明

胡推指的是选择架构的某一方面,它形成的阻力会增加人们获得良好结果的难度,妨碍人们过上更好的生活。电脑上的软件就是装机的时候,很简单只需要点击就可以,但是一些你不知道的捆绑软件就会自动装上去,并且在卸载的时候并不是很简单的,下载需要好几个步骤去确认,那个真正有用的卸载按钮,在最小的不起眼的地方,让你升级或者重新装载的按钮却非常大,非常明显。

助推》一书的目的在于帮助人们做出更好的消费决策以及指导政府如何运用政策来引导人们做出这种决策。行为经济学不是纸上谈兵,而是要真刀真枪运用于实际的,不是黑板上的经济学,而是实用性很强的生活中的经济学。英文 “nudge”(助推)一词的原意是 “用胳膊肘等身体部位轻推或轻戳人的肋部,以提醒或者引起别人的注意”。

塞勒把人的思维方式分为两种:一种是不假思索的直觉,即 “直觉思维系统” 或 “自动系统”;另一种是比较认真的思考,即 “理性思维系统” 或 “省思系统”。主流经济学假设人们用的是理性思维系统,但现实中人们运用更多的则是直觉思维系统,这种思维方式会引出错误的选择。这就需要设计一种方式,让直觉思维少犯错误。如为儿童摆放食物时,把有利于健康的食物放在容易看见、容易够到的地方,这种食物摆放方法就是助推。他提出了 “自由主义的温和专制主义” 的概念,这就是在不牺牲人们自由选择权的前提下运用助推的方式来引导大家。助推是一种全新且有效的引导式管理模式。

本书第 1~5 章分析了如何用助推来克服偏见与谬误。
第 6~9 章 “探索如何更好地省钱、投资和借贷”,即家庭理财方法,直觉思维导致许多人 “今朝有酒今朝醉”,不关心养老问题。塞勒建议:第一,为储蓄计划设计自动登记的方式;第二,“明天储蓄更多”。
第 10~12 章讨论如何改善人们的健康状况,包括面对政府针对人们的医疗健康问题提供的复杂选择体系,人们应该如何做出选择以及如何提高器官移植中的捐赠比例等。第 13~15 章分析在许多没有多少自由的领域,如教育、医疗、婚姻中如何通过制度改进创造更多的自由。
第 16~18 章总结了一些小的助推,提出会有越来越多的人认同助推,但要警惕恶意的助推行为和助推者,并建议把助推作为自由放任和国家干预以外的第三条道路。
否愿意吃某种食品、节食或者进行体育锻炼,他们的回答往往会影响他们的做法。也就是说,“单纯衡量效应” 是一种助推,无论是在私人组织还是在公共部门都可以使用。

通过询问人们行动的目的可以形成助推,如果进一步询问他们的行动时间和行动方式,则会加大助推。这一发现被心理学家库尔特・勒温称为 “引导因素”,他用这一术语来描述那些能够协助或者阻止某些行为形成的小的影响因素。我们可以将 “引导” 看作一条初春时河流解冻后的水流,这一水流的流向可能会受到哪怕看上去很微小的地形的变化。勒温认为,类似的因素也会对人们的行为产生惊人的抑制力。我们经常会看到,与其强迫人们以某种方式做事,倒不如通过消除一些小的障碍促使人们形成好的行为习惯。
5、如何优化选择体系

如果你能够间接影响到其他人的选择行为,那么你就称得上是一名选择设计者。同时,因为受你影响的选择将由社会人做出,所以你会希望你所设计的选择体系能够体现出你对用户行为的深刻理解。你尤其应当保证人们的直觉思维系统不受到迷惑。我们认为喜欢自由的人所钟爱的 “必要的选择” 在某些情况下是最好的方法。但是,对于这一方法,我们有两点需要考虑。第一,社会人经常会认为 “必要的选择” 是一件令人讨厌的事情,他们宁愿有一个默认选项。在软件安装的例子中,知道默认设置是什么是非常有利的,但大部分软件用户都不会为选择哪种安装方式而去阅读晦涩难懂的说明书。当面临复杂和困难的选择时,人们可能会在很大程度上宁愿选择一个符合感性理解的默认选项。从某种程度上说,他们几乎是被迫做出选择的。第二,相对于较为复杂的选择,“必要的选择” 更加适合简单的是非判断。在饭店点菜时,默认的做法是选择厨师一贯的做法,仅提出一些加减某些作料的要求。在极端情况下,“必要的选择” 意味着用餐者必须对其所点的每一道菜指定配方。因此,当面对高度复杂的选项时,“必要的选择” 可能并不是一个好办法,甚至根本不可行。

选择设计需要为可预见的错误提供人性化设计。人人都会犯错误。一个设计精妙的系统允许它的使用者出错,并对此给予最大限度的宽容。选择设计还需要提供透明有效的信息反馈,帮助人们改进其行为的最好方法是提供反馈。设计精妙的反馈系统能够提示人们的行为是否得当。此外,预警系统必须要避免预警无法引起注意的情况。如果我们的电脑不厌其烦地询问我们是否确认打开附件,我们很可能最终会不假思索地选择 “是”,类似这样的预警便达不到预想的目的。

一个好的选择体系能够使人们改善自己的权衡能力,从而做出对自己有利的选择。其中一种做法是使各种选择的相关信息更容易被理解。社会科学研究发现,随着选择范围的扩大,人们越来越倾向于使用简化策略,这与选择体系有关。随着可选项目越来越多、越来越复杂,选择设计者便有了更多思考和行动的余地,从而更有可能影响人们的选择。对于一个只供应 3 种口味的冰激凌店来说,其商品目录表不会对顾客造成很大的影响,因为人们都知道自己喜欢什么。随着可选范围的增加,好的选择体系会提供一种结构,而这种结构会影响到最终的结果。

6、现状偏好

关于人们变更初始计划比例较低的现象有两种解释。第一种解释是原计划得到了支持者的青睐,这种解释在我们研究经济人时可能是正确的,那便是一切都运行正常 —— 种类多样的计划能够应对各种健康状况,老年人所选出的计划是适合自己情况的最佳选择。第二种解释更适合社会人,即惰性和安于现状使得人们不愿意改变计划。面对这两种解释,我们如何才能判断出哪一种更好呢?一种方法是将那些自主选择计划的参与者与那些随机选择计划的参与者进行一番比较。对于后者来讲,我们很难认为他们第一次的选择是最好的。我们还发现,两者改变计划的比例都很低,这说明第二种解释是正确的。大多数的参与者似乎都已经发现,为了改变计划而做出如此多的努力是不值得的。

在复杂的情况下,要创建一项好的政策,仅将选项多样化是不够的。选项越多,情况就越复杂,所以选择体系便越发显得重要。为了做出用户友好的设计,选择设计者需要知道如何去帮助社会人。软件和建筑工程师坚信一个理念:越简单越好。如果一座建筑的功能性要通过复杂性才能实现,那么最好的办法莫过于设置许多标志,从而为人们在建筑内的活动指引方向。
本书主要提出了两个观点。第一,看上去不起眼的社会情形也会对人们的行为产生巨大的影响。助推无处不在,尽管我们看不见。不管是好的选择体系还是糟糕的选择体系,它们都是无处不在和不可避免的,并且会极大地影响我们的决定。第二,自由主义的温和专制主义自身并不矛盾,选择设计者可以在保持选择自由的同时助推人们到改善自身生活水平的方向上去。本书涉及了诸多领域,包括储蓄、社会保障、记账市场、环境政策、医疗保健、婚姻等领域。实际上,助推潜在的应用范围要远远超过上述领域,对选择体系和助推力的理解能够使人们创造性地提高人们在其他领域的生活水平。

--THE END--

Loading...
Ownership of this post data is guaranteed by blockchain and smart contracts to the creator alone.